1.1. Обзор нормативной документации
LTE (Long-Term Evolution) – цифровой стандарт сотовой мобильной связи, сменивший UMTS (Universal Mobile Telecommunications System). LTE обладает обратной совместимостью со стандартами мобильной связи второго и третьего поколений. Главной особенностью, присущей исключительно LTE, является использование эволюционной системной архитектуры сети (SAE, System Architecture Evolution), схематичное изображение которой приведено на рисунке 1.1.

Рисунок 1.1. Архитектура сети LTE
На рисунке 1.1 приведены следующие обозначения:
APPLICATIONS – уровень приложений и услуг, предоставляемых на базе протокола IP (Internet Protocol);
APPS – различные сервисные приложения;
CORE – ядро сети LTE, которое также называется усовершенствованным пакетным ядром (EPC, Evolved Packet Core);
eNB – Evolved Node B, базовая станция сети LTE;
Gx – интерфейс взаимодействия между P-GW и PCRF, предназначенный для передачи правил тарификации от PCRF к шлюзу PDN;
HSS – Home Subscriber Server, сервер хранения абонентских данных;
IMS – IP Multimedia Subsystem, система предоставления мультимедийных услуг;
LTE-Uu – радиоинтерфейс, посредством которого абонент получает доступ к сети радиодоступа;
MME – Mobility Management Entity, узел управления мобильностью абонентов сети LTE;
PCRF – Policy and Charging Rules Function, узел управления тарификацией и выставления счетов абонентам за оказанные услуги;
PDN – Public Data Network, внешние IP – сети;
P-GW – Public Data Network SAE Gateway, шлюз доступа к сетям других операторов;
S-GW – Serving SAE Gateway, обслуживающий шлюз сети LTE, который предназначен для обработки и маршрутизации пакетных данных, поступающих в подсистему базовых станций или из нее;
RAN – Radio Access Network, сеть радиодоступа;
Rx – интерфейс, посредством которого на узел PCRF передается информация о порядке тарификации за пользование мультимедийными приложениями и сервисами;
S1-MME – интерфейс взаимодействия между базовыми станциями сети LTE и узлом MME;
S1-U – интерфейс взаимодействия между сетью радиодоступа и ядром сети LTE; по нему передаются пользовательские данные;
S5 – интерфейс взаимодействия между различными шлюзами S-GW, либо между шлюзами S-GW и P-GW, предназначенный для передачи пользовательских данных;
S6a – интерфейс взаимодействия между MME и HSS, используемый для передачи данных абонентского профиля, а также осуществления процедур аутентификации в сети LTE;
S8 – интерфейс, аналогичный S5, который используется вместо последнего, если P-GW и S-GW находятся в разных сетях (например, при обслуживании абонента в роуминге);
S10 – интерфейс взаимодействия между различными узлами ММЕ, позволяющий обслуживать абонента при его перемещениях или при нахождении в роуминге;
S11 – интерфейс взаимодействия между узлом MME и шлюзом S-GW;
SGi – интерфейс взаимодействия между P-GW и внешними IP – сетями;
Sp – интерфейс взаимодействия сервера HSS и узла PCRF;
UE – уровень пользователя;
X2 – интерфейс взаимодействия между различными базовыми станциями; базовые станции в сети LTE соединены по принципу «каждый с каждым».
На рисунке 1.1 пунктирными линиями обозначены пути передачи сигнализации, а сплошными – пути передачи пользовательского трафика.
На настоящее время выпущен целый ряд нормативных документов, описывающих все аспекты LTE. Основной вклад в их разработку был внесен консорциумом 3GPP (The 3rd Generation Partnership Project, основан в декабре 1998 г.), непосредственно определившим стандарт в серии спецификаций восьмой редакции (release 8), полная версия которых была утверждена в марте 2009 года. Дальнейшее развитие стандарта в девятой редакции является незначительным, представляя собой доработку и улучшение предыдущей редакции: введена полная интеграция концепции фемтосот (Home eNB, Home Evolved Node B), в аспекте SON (Self-Organizing Networks) добавлены новые функции оптимизации, в аспекте MBMS (Multimedia Broadcast Multicast Services) добавлены спецификации для высокоуровневых слоев радиоинтерфейса (Uu, UMTS air interface), добавлен режим передачи с двухуровневым формированием диаграммы направленности (Dual-Layer Beam Forming), расширены услуги, основанные на данных о местоположении абонентской станции (UE, User Equipment), в стандарт добавлены новые полосы частот в диапазонах 800 МГц и 1500 МГц. Полная версия спецификаций девятой редакции была утверждена в марте 2010 г.
Начиная с десятой редакции стандарт LTE претерпел ряд значительных модификаций, и было принято решение с этой редакции называть стандарт LTE-Advanced. Основные отличия LTE-Advanced: добавлена функция объединения несущих (CA, Carrier Aggregation) с целью значительного расширения полосы пропускания, улучшена технология множественного доступа в восходящем канале за счет принятия кластерного SC-FDMA, добавлена возможность координированной передачи/приема CoMP для улучшения качества связи на границе соты, антенные системы базовых станций (БС) MIMO (Multiple Input Multiple Output) стали поддерживать до восьми уровней передачи в нисходящем канале, антенные системы абонентских станций MIMO стали поддерживать до четырех уровней передачи в восходящем канале, стала поддерживаться функция ретрансляции, введена расширенная поддержка гетерогенных сетей HetNet (Heterogeneous Networks). Основной целью введения данных модификаций являлось соответствие требованиям МСЭ (Международный Союз Электросвязи) по скорости передачи данных, допустимой полосе пропускания и спектральной эффективности, определенным для нового поколения мобильной связи 4G. Поставленная цель была достигнута: улучшенный стандарт LTE Advanced, в отличие предыдущих редакций LTE, был утвержден МСЭ в качестве стандарта связи четвертого поколения в январе 2012 г. На настоящее время утверждены полные версии спецификаций LTE-Advanced одиннадцатой (в марте 2013 г.) и двенадцатой редакций (в марте 2015 г.). В одиннадцатой редакции усовершенствованы технологии объединения несущих, MBMS, SON, CoMP и FeICIC (Further Enhanced Inter-Cell Interference Coordination), усовершенствован канал физического уровня PDCCH (E-PDCCH), улучшена поддержка фемтосот, усовершенствован процесс контроля качества обслуживания QoS (Quality of Service), добавлены спецификации, нацеленные на оптимизацию работы батареи абонентской станции и дополнительную защиту сети радиодоступа RAN (Radio Access Network) от перегрузок, улучшено межсетевое взаимодействие с сетями Wi-Fi. В двенадцатой редакции продолжены работы по усовершенствованию стандарта LTE-Advanced, а также появилась возможность объединения несущих парных (FDD, Frequency Division Duplex) и непарных (TDD, Time Division Duplex) участков спектра.
В таблице 1.1 представлены параметры радиоинтерфейса LTE-Advanced.

Таблица 1.1. Параметры радиоинтерфейса LTE-Advanced
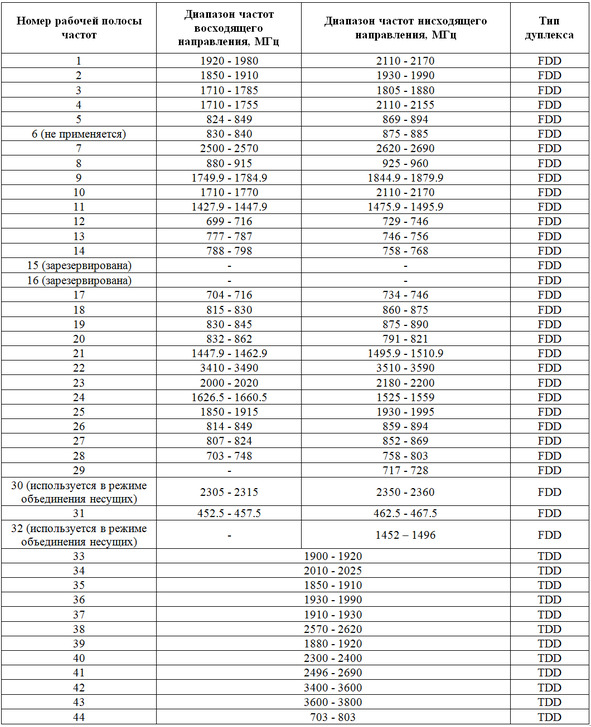
В таблице 1.2 представлены рабочие полосы частот и соответствующие им частотные диапазоны стандарта LTE двенадцатой редакции (подпункт 5.5 спецификации ETSI TS 136.141). По данным, приведенным в этой таблице, можно сделать вывод о высокой степени гибкости стандарта в этом аспекте.

Таблица 1.2. Поддерживаемые диапазоны частот LTE двенадцатой редакции
Технические спецификации вышеуказанных редакций описывают стандарт LTE/LTE-Advanced и публикуются независимо шестью партнерами (Organizational Partners) консорциума 3GPP: ARIB (The Association of Radio Industries and Businesses, Japan), ATIS (The Alliance for Telecommunications Industry Solutions, USA), CCSA (China Communications Standards Association), ETSI (The European Telecommunications Standards Institute), TSDSI (Telecommunications Standards Development Society, India), TTA (Telecommunications Technology Association, Korea) и TTC (Telecommunication Technology Committee, Japan). Опубликованные таким образом документы являются теми же спецификациями 3GPP, но выпущенными в различных форматах. На официальном сайте 3GPP доступной для скачивания является версия спецификаций в формате ETSI. В России стандарт LTE описан в приказах Минкомсвязи №128, №129 и №130 от 06.06.2011 г. на основе вышеуказанных спецификаций 3GPP.
Более 800 000 книг и аудиокниг! 📚
Получи 2 месяца Литрес Подписки в подарок и наслаждайся неограниченным чтением
ПОЛУЧИТЬ ПОДАРОКДанный текст является ознакомительным фрагментом.