Комплекс пирамид – как георадар, регистратор колебаний глубины залегания геологических слоев [34]
Версия Костинского Михаила Юрьевича. Комплекс пирамид представляет собой георадар. Предполагалось использовать его как долговременно функционирующий регистратор колебаний глубины залегания геологических слоёв. Причём, в случае георадара состоящего из трёх антенн, речь может идти о регистрации изменения относительного положения трёх плоскостей – поверхности земли, первой и второй границ отражения. Результаты такого зондирования, основанные не на двух, а на трёх контрольных точках, позволили бы описать нелинейный характер этих изменений как в пространстве, так и во времени. Таким образом, количество пирамид – лишь следствие постановки задачи.
Намного сложнее вопрос о взаимном положения пирамид. Почему выбрана именно такая схема? Чем объясняется равномерное удаление пирамид в направлении «юг-север», и не равномерное в направлении «восток-запад»? Допустим, заранее заданная строителями кратность расстояний между излучателем и приёмниками в проекции «юг-север» связана с физической необходимостью фазирования двух импульсов. А вот объяснение факта разнесения пирамид по долготе требует более внимательного взгляда на картину сопутствующих физических процессов. До сих пор за гранью нашего внимания оставался факт потрясающе точной ориентации пирамид по сторонам света. А что такое стороны света? Очевидно, стороны света – это направления, задаваемые вращением Земли вокруг собственной оси. То есть, само вращение Земли должно играть значимую роль в функционировании всей схемы. В случае с комплексом Гиза, вращение Земли, судя по всему, учитывалось как внешний фактор, влияние которого компенсировалось меридиональным смещением пирамид-приёмников. Причём, в неподвижной системе координат, связанной с центом масс Земли, время, затрачиваемое зондирующим импульсом на прохождение пути от источника до приёмника, должно равняться времени, в течение которого происходит условно линейное смещение земной поверхности на величину равную расстоянию между пирамидами. Скорость такого смещения будет равна линейной скорости точки на широте пирамид:
,(1)

где: – угловая скорость вращения Земли вокруг своей оси;

– радиус-вектор точки земной поверхности на широте;


тогда, время прохождения импульса:
,(2)

где: – расстояние между пирамидой излучателем и пирамидой приёмником в проекции «восток-запад».

Видимо, таким образом создатели комплекса решили обеспечить условие, при котором мгновенная широтная составляющая скорости зондирующего импульса оставалась бы в первоначальной плоскости, связанной с моментом генерации волны относительно неподвижной системы координат. То есть, на лицо присутствие фиксированного пространственного направления (Y), обусловленного проявлением свойств некоего физического фактора.
Полученный вывод имеет важное значение для построения целостной картины. Опираясь на предложенную схему можно рассчитать глубину проникновения зондирующего импульса. В результате произведённых расчётов были получены значения глубин залегания границ отражения для первого (Хуфу-Хафра) H1=3500м, и второго (Хуфу-Менкаура) H2=7000м зондирующего луча.
Казалось бы, какие процессы в земной коре можно регистрировать на таких глубинах, если ближайшая граница реальной геологической активности – переходная зона литосфера-астеносфера, или «граница Мохоровича» находится значительно ниже, на глубине около 40 километров!
Тут самое время вспомнить о промежуточных выводах:
– Комплекс пирамид предназначен для регистрации механических деформаций, возникающих в земной коре.
– Комплекс пирамид – это устройство, разработанное с учётом влияния неких, не участвующих в суточном вращении Земли физических процессов.
– Географические координаты для строительства комплекса выбраны не случайно, а именно являются существенным условием выполнения основной технической задачи.
Получается, что некую внешнюю по отношению к вращающейся Земле силу, действующую вдоль фиксированной линии проходящей через центр масс Земли и пересекающей земную поверхность на широте Гизы, можно считать причиной возникновения тех самых деформаций земной коры, которые и фиксируются комплексом-георадаром. Вследствие суточного вращения Земли, рассматриваемые механические деформации должны распространяться в толще литосферы в виде бегущей волны, максимум которой постоянно находится на линии действия силы. Именно так выглядит процесс образования приливной волны в литосфере вследствие гравитационного взаимодействия Земли с массивным небесным телом. Скорее всего, начальное проявление приливного эффекта выражалось в виде распространяющейся широким фронтом сверхнизкочастотной акустической волны, которая и являлась первичным источником акустической энергии, аккумулируемой пирамидой Хуфу.
Воздействие какого же небесного тела регистрировалось этим акустическим интерферометром? Несомненно, основными претендентами на указанную роль являются Луна и Солнце. Влияние других космических объектов учитывать не целесообразно, поскольку в виду удалённости и малости эффект от их взаимодействия с Землёй, с точки зрения рассматриваемых эффектов, будет совершенно ничтожен. Луна здесь выглядит явным фаворитом. И не только потому, что её гравитационное влияние на Землю более ощутимо. Есть и другие аргументы в пользу «небесной соседки».
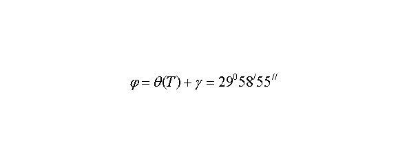
По условию задачи, линия максимума гравитационного взаимодействия должна пересекать земную поверхность на широте пирамид, одновременно располагаясь в плоскости орбиты взаимодействующих тел (в данном случае Луны) (Рис.9).
Данное условие может быть реализовано в случае выполнения равенства:
,(3)

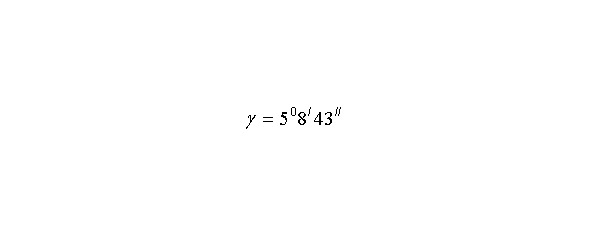
где: – географическая широта комплекса Гиза (примем координаты пирамиды Хуфу);

– угол наклона орбиты Луны к плоскости эклиптики;

– угол наклона земного экватора к плоскости эклиптики.

Иными словами, один раз в сутки комплекс пирамид будет попадать на линию максимума действия гравитационных сил, находящуюся в плоскости орбиты Луны. То есть, с точки зрения наблюдателя, находящегося вблизи пирамид, в определённый момент времени Луна будет находиться точно в зените, перемещаясь по небосклону строго в направлении «восток-запад». Правда, такая идеальная картина будет сохраняться весьма недолго в виду перемещения Луны по собственной орбите, а также прецессионного движения самой лунной орбиты. Уже на начало следующего сидерического месяца точность совпадения будет меньше. А абсолютно точного совпадения можно ожидать только через ~ 18,6 лет, когда полностью завершится прецессионный цикл лунной орбиты.
Интересующее нас условие выполнялось в другой исторический момент. И этот момент легко вычислить, если вспомнить про существование такого астрономического явления как прецессия земной оси. В рассматриваемом случае явление прецессии земной оси представляет интерес не самим фактом циклического изменения координат вектора угловой скорости, а наличием вековой составляющей этого движения, проявляющейся в медленном изменении угла наклона земной оси к плоскости эклиптики, приводящей к спиральному виду прецессионной траектории по отношению к неподвижным звёздам.
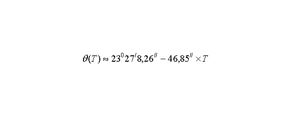
Уравнение вековой составляющей прецессионного движения имеет следующий вид:
,(4)

где: – столетние периоды, начиная с 1900 г.

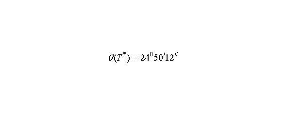
Воспользовавшись (3) и (4) можно рассчитать требуемую угловую величину а также соответствующий исторический момент, когда условие (3) действительно имело место. Для упрощения расчёта наклон плоскости орбиты Луны к плоскости эклиптики примем неизменным и равным. В результате получим:




г. до н.э.

Полученный результат достаточно показателен, и означает, что пирамидам Гизы более 10,5 тысяч лет! Полученное значение хорошо согласуется с данными, опубликованными некоторыми независимыми исследователями, проводившими расчёты на основании собственных методов оценки. Хотелось бы подчеркнуть, что приведённая оценка возраста пирамид получена на основании «лунной» гипотезы.
Итак, допустим, что комплекс Гиза – акустический интерферометр, предназначенный для регистрации периодических литосферных возмущений, источником которых является Луна. Однако, совершенно бессмысленно на протяжении многих циклов регистрировать проявления одного и того же, хорошо прогнозируемого физического процесса. Единожды определённые характеристики приливной волны, с точки зрения повторной регистрации не представляют никакого практического интереса. Но ситуация меняется принципиально, если ввести предположение о присутствии некой сторонней силы как источника возмущений, модулирующих исходную волну. Если представить, что Луна не просто жёстко «висит» на своей орбите, но и совершает колебания вдоль линии гравитационного взаимодействия с Землёй, то всё встаёт на свои места и приобретает законченный смысл. В этом случае становится понятным главное назначение комплекса, которое как раз и заключается в регистрации этой модулирующей компоненты. Остаётся сделать последний логический шаг, а именно назвать причину внешних возмущений. Если исключить из рассмотрения влияние хорошо прогнозируемых небесной механикой явлений циклического характера, останется только один претендент, и имя ему – гравитационная волна. Пожалуй, только гравитационная волна, рождённая где-то в далёком космосе, могла бы «качнуть» систему «Земля-Луна» подобным образом. Получается, что древние строители пирамид не только знали о существовании гравитационных волн, но и умели регистрировать их влияние.
Подведём итоги. Пёстрая картина под названием «назначение пирамид», составленная автором в результате синтеза, анализа и переосмысления известных и малоизвестных фактов, приобрела некий целостный вид. Не легко далось распутывание клубка вложенных технических решений: акустический георадар приливная деформация литосферы гравитационная волна.


Пирамида как гигантский календарь из камня [60]
По мнению О. Длужневской, кандидата физико-математических наук, находящаяся в Мексике пирамида Кукулькана могла использоваться в качестве календаря. С четырех сторон этой конструкции находятся лестничные проемы с 91-й ступенькой (год по календарю майя – 364 дня) и 18 пролетами (количество месяцев). В дни равноденствия можно наблюдать необычный зрительный эффект. Солнечные лучи в момент попадания на ступеньки образуют нечто, напоминающее гигантскую змею. Тело ее простирается до самого верха пирамиды, а голова находится внизу лестницы. Как будто она медленно скользит к людям. Такой эффект достигается благодаря точному расположению по отношению к сторонам света.
Более 800 000 книг и аудиокниг! 📚
Получи 2 месяца Литрес Подписки в подарок и наслаждайся неограниченным чтением
ПОЛУЧИТЬ ПОДАРОКДанный текст является ознакомительным фрагментом.