45. ОСНОВНЫЕ ПОКАЗАТЕЛИ ЭКОНОМИЧЕСКОЙ ЭФФЕКТИВНОСТИ
Основными показателями экономической эффективности являются следующие.
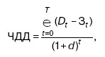
1. Определение чистого дисконтированного дохода. ЧДД характеризует эффективность инновационного проекта при известном значении нормы дисконта:

где Dt – доходы по проекту в t-м году; 3t – затраты по проекту в t-м году; d – ставка дисконта; Т – срок реализации прокта. Инновационный проект считается эффективным при ЧДД > 0.
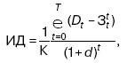
2. Определение индекса доходности.

где Зtt – затраты по проекту в i-м году без учета капиталовложений; К – дисконтированные капиталовложения;

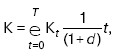
Кt – капиталовложения в t-м году. Инновационный проект считается эффективным при ИД > 1. 3. Определение внутренней нормы доходности.
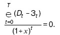
Внутренняя норма доходности представляет собой ставку дисконта, при которой чистый дисконтированный доход равен нулю. ВНД является решением уравнения:

Инновационный проект считается эффективным, если ВНД ? dn (dn – ожидаемая норма дохода на инвестируемый капитал).
Если при сравнении двух альтернативных вариантов по показателям ЧДД и ВНД получены следующие результаты:
ЧДД1 > ЧДД2,
ВНД1 < ВНД2,
то приоритетным является показатель ЧДД.
4. Определение срока окупаемости. Срок окупаемости – период времени, за который дисконтированные затраты будут компенсированы дисконтированными доходами.
Ток является решением уравнения

Инновационный проект считается эффективным, если Tок ? Tн, где Tн – нормативный срок окупаемости капиталовложений (составляет от 1 года до 5 лет в зависимости от капиталоемкости проекта).
Более 800 000 книг и аудиокниг! 📚
Получи 2 месяца Литрес Подписки в подарок и наслаждайся неограниченным чтением
ПОЛУЧИТЬ ПОДАРОК