17. КОММЕРЧЕСКАЯ ЭФФЕКТИВНОСТЬ ПРОЕКТА
Коммерческая эффективность (финансовое обоснование) проекта определяется соотношением финансовых затрат и результатов, обеспечивающих требуемую норму доходности будущего предприятия после реализации проекта. Коммерческая эффективность может рассчитываться как для проекта в целом, так и для отдельных участников с учетом их вклада.
При этом в качестве эффекта на f-м шаге (3t) выступает поток реальных денег. При осуществлении проекта выделяется три вида деятельности: инвестиционная, операционная и финансовая. В рамках каждого вида деятельности происходит приток П (t) и отток О (t) денежных средств. Обозначим разность между ними через Ф;(Г), тогда
Фi(t) = Пi(t) – Оi(t),
где i = 1, 2, 3.
Потоком реальных денег Ф(г) называется разность между притоком и оттоком денежных средств от инвестиционной и оперативной деятельности в каждом периоде осуществления проекта (на каждом шаге расчета):
Фi(t) = [П1(t) – О1(t)] + [П2(t) – О2(t)] = Ф1(t) + Ф+(t),
где Ф1(t) – разность между результатами и затратами на t-м шаге.
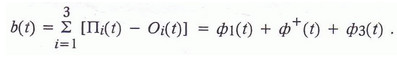
Сальдо реальных денег b(t) называется разность между притоком и оттоком денежных средств от всех трех видов деятельности (на каждом шаге расчета):

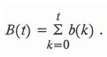
Для определения потока реальных денег используется сальдо накопленных реальных денег. Сальдо накопленных реальных денег:

Текущее сальдо реальных денег определяется через 6(f) по формуле:
b(t) = B(t) – B(t–1).
Поток реальных денег:
Ф(t) = b(t) – B3(t).
Сальдо B(t) составляет свободные денежные средства на t-м шаге.
Все расходы вычисляются из доходов и влияют на сумму чистой прибыли. Но не при всех расходах требуется реальный перевод денег.
Учет инфляции при подсчете Ф(t) и b(t) производится вычислением входящих в них элементов в прогнозных ценах.
Минимальный набор исходных данных, подлежащих варьированию, должен включать в себя:
• цены реализации продукции;
• издержки производства;
• общие инвестиционные затраты;
• нормы запасов и задолженностей;
• процент за кредиты.
Более 800 000 книг и аудиокниг! 📚
Получи 2 месяца Литрес Подписки в подарок и наслаждайся неограниченным чтением
ПОЛУЧИТЬ ПОДАРОК