ПРИЕМНАЯ КОМИССИЯ

ФЗФТШ ОБЪЯВЛЯЕТ НАБОР УЧАЩИХСЯ

на 2009–2010 учебный год

Федеральная заочная физико-техническая школа (ФЗФТШ) при Московском физико-техническом институте (государственном университете) (МФТИ) проводит набор учащихся общеобразовательных учреждений (школ, лицеев, гимназий и т. п.), расположенных на территории Российской Федерации.

Набор в 8, 9, 10 и 11 классы на 2009–2010 учебный год проводится на заочное, очное и очно-заочное отделения.

ЗАОЧНОЕ ОТДЕЛЕНИЕ (индивидуальное заочное обучение)

Тел/факс: (495) 408-51-45, E.mail: zftsh@pop3.mipt.ru

Срок отправления решения вступительного задания — не позднее 1 марта 2009 года. Вступительные работы школой обратно не высылаются. Решение приемной комиссии будет сообщено не позднее 1 августа 2009 года.

Вне конкурса в ФЗФТШ принимаются победители областных, краевых, республиканских, окружных и всероссийских олимпиад по физике и математике 2008–2009 уч.г. Им необходимо до 15 мая 2009 г. выслать в ФЗФТШ выполненную вступительную работу по физике и математике вместе с копиями дипломов, подтверждающих участие в перечисленных выше олимпиадах.

Тетрадь с выполненными заданиями (по физике и математике) высылайте по адресу: 141700, г. Долгопрудный Московской области, Институтский пер., 9, ФЗФТШ при МФТИ.

Вступительное задание но физике и математике ученик выполняет на русском языке, самостоятельно в одной школьной тетради, сохраняя тот же порядок задач, что и в задании. Тетрадь нужно выслать в конверте простой бандеролью (только не сворачивайте в трубку). На внутреннюю сторону обложки тетради наклейте справку из школы, в которой учитесь, с указанием класса.

На лицевую сторону обложки наклейте лист бумаги четко заполненный по образцу:

(таблица заполняется методистом ФЗФТШ)

1. Республика, край, область Кемеровская область

2. Фамилия, имя, отчество Чистова Галина Сергеевна

3. Класс, в котором учитесь восьмой

4. Номер школы 35

5. Вид школы (обычная, лицей, гимназия, с углубленным изучением предмета) лицей

6. Подробный домашний адрес (с указанием индекса), телефон, e-mail 654041, г. Новокузнецк, ул. Волжская, д. 74, кв. 3, e-mail:dio@rdsc.ru

7. Место работы и должность родителей:

отец доцент

мать врач

8. Адрес школы и телефон, факс, e-mail 654041, г. Новокузнецк, ул. Циолковского, д. 65

9. Фамилия, имя, отчество преподавателей:

по физике Григорьева Алена Михаиловна

по математике Горшенина Нина Анатольевна

Пожалуйста, обратите внимание на правильность заполнения анкеты! Пишите аккуратно, лучше печатными буквами.

Для получения ответа на вступительное задание и для отправки вам первых заданий обязательно вложите в тетрадь два одинаковых бандерольных конверта размером 160x230 мм. На конвертах четко напишите свой домашний адрес.

ОЧНО-ЗАОЧНОЕ ОТДЕЛЕНИЕ (обучение в факультативных группах)

Тел./факс (495) 409-93-51, E.mail: zftsh@pop3.mipt.ru

Факультативные группы могут быть организованы в любом общеобразовательном учреждении двумя преподавателями — физики и математики, в отдельных случаях разрешается обучение по одному предмету. Руководители факультатива принимают в них учащихся, успешно выполнивших вступительное задание ФЗФТШ.

Группа (не менее 8 человек) принимается в школу, если директор общеобразовательного учреждения сообщит в ФЗФТШ фамилии, имена, отчества ее руководителей и поименный алфавитный список обучающихся (Ф. И. О. полностью с указанием класса текущего учебного года и итоговых оценок за вступительное задание по физике и математике, домашний адрес учащихся, с указанием индекса, телефона и e-mail), телефон, факс и e-mail школы. Все эти материалы и конверт для ответа о приеме в ФЗФТШ с обратным адресом одного из руководителей следует выслать до 25 июня 2009 г. по адресу: 141700, Московская область, г. Долгопрудный, Институтский пер., д 9, ФЗФТШ при МФТИ (с пометкой «Факультатив»). Тетради с работами учащихся не высылаются.

Работа руководителей факультативов может оплачиваться общеобразовательным учреждением как руководство профильными факультативными занятиями по предоставлении ФЗФТШ при МФТИ соответствующих сведений.

Руководители, работающие с учащимися, будут получать в течение учебного года: учебно-методические материалы (программы по физике и математике, задания по темам программ, решения заданий с краткими рекомендациями по оценке работ учащихся); приглашаться на курсы повышения квалификации учителей физики и математики, проводимые на базе МФТИ. Работы учащихся проверяют и оценивают руководители факультативных групп, а в ФЗФТШ ими высылаются ведомости с итоговыми оценками по каждому заданию и итоговая ведомость за год.

ОЧНОЕ ОТДЕЛЕНИЕ (обучение в вечерних консультационных пунктах)

Тел. (495) 409-95-83, E.mail: zftsh@pop3.mipt.ru

Для учащихся Москвы и Московской области по программе ФЗФТШ работают вечерние консультационные пункты, набор в них проводится по результатам вступительных экзаменов по физике и математике и собеседования, которые проходят во второй половине сентября.

Программы ФЗФТШ при МФТИ являются профильными дополнительными образовательными программами и едины для всех отделений.

Кроме того, ученикам всех отделений будет предложено участвовать в физико-математической олимпиаде «ФИЗТЕХ — 2009», которая будет проводиться на базе МФТИ и в ряде городов России в конце марта и в середине мая, в других очных и заочных олимпиадах МФТИ и его факультетов, а также в конкурсах, турнирах и конференциях. Для учащихся 9 — 11 классов на базе МФТИ работает субботний лекторий по физике и математике по программе ФЗФТШ. Лекции читают преподаватели института, как правило, авторы заданий. Подробнее об этих мероприятиях можно прочитать на сайте ФЗФТШ http://www.school.mipt.ru.

По окончании учебного года учащиеся, успешно выполнившие программу ФЗФТШ, переводятся в следующий класс, а выпускники (11 кл.) получают свидетельство об окончании школы с итоговыми оценками по физике и математике, которое учитывается на собеседовании при поступлении в МФТИ.

Ученикам, зачисленным в ФЗФТШ в рамках утвержденного плана приема, будет предложено оплатить безвозмездный целевой взнос для обеспечения учебного процесса в соответствии с уставными целями школы.

Для учащихся Украины работает Киевский филиал ФЗФТШ при МФТИ (обучение платное). Желающим в него поступить следует высылать работы по адресу: 03680, Украина, г. Киев, б-р Вернадского, д. 36, ГСП, Киевский филиал ФЗФТШ при МФТИ. Тел: 8-(10-38-044) 424-30-25, 8 (10-38-044) 422-95-64.

Для учащихся из зарубежных стран возможно только платное обучение на заочном и очно-заочном отделениях. Условия обучения для прошедших конкурсный отбор будут сообщены дополнительно.

Номера задач, обязательных для выполнения (заочное и очно-заочное отделения), приводятся в таблице:

Номера классов указаны на текущий 2008–2009 учебный год.

ВСТУПИТЕЛЬНЫЕ ЗАДАНИЯ

МАТЕМАТИКА

После порядкового номера задачи в скобках указано количество очков за задачу

1(2). Мотоциклист ехал из пункта А в пункт В со скоростью 40 км/ч, а возвращался назад по той же дороге со скоростью 60 км/ч. Найдите среднюю скорость движения мотоциклиста за всю поездку.

2(3). Введите на клетчатой бумаге систему координат, отметьте точки А(-2; 4), В(-1; -1), С(-4; 10), D(-2; 5), Е(4; 7), F(10; 6), соедините их последовательно отрезками (АВ, ВС, CD, DE, EF, FA) и найдите площадь фигуры, которую они ограничивают. Площадь одной клетки считайте равной 1 см2.

3(4). В погребе замка лежало несколько пачек печенья. Ночью пришли крысы и съели 33 пачки, причем все ели поровну. У некоторых из них от обжорства заболели животы, поэтому на следующую ночь в погреб пришли не все крысы, а только 13 из них. Они доели оставшееся печенье, но каждая крыса смогла съесть втрое меньше печенья, чем накануне.

Сколько пачек печенья было на складе первоначально?

4(3). Незнайка и Пончик одновременно начали сбор земляники: Незнайка собирал ягоды в трех литровый бидон, а Пончик — в четырехлитровый, причем Незнайка собирал ягоды в 1,8 раза медленнее. В какой-то момент они поменялись бидонами и закончили сбор ягод одновременно (набрав полные бидоны).

Сколько литров земляники собрал Пончик за все время? А сколько он собрал ягод до обмена бидонами?

5(4). В семье четыре человека. Если Алисе удвоят стипендию, то общий доход всей семьи возрастет на 2,5 %, если вместо этого маме повысят зарплату в полтора раза — возрастет на 18,75 %, если же зарплату на 45 % повысят папе — возрастет на 18,45 %.

На сколько процентов возрастет доход всей семьи, если дедушке повысят пенсию на 20 %?

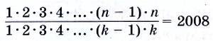
6(4). Для некоторых натуральных чисел n и k выполняется соотношение

(в числителе дроби записано произведение всех натуральных чисел от 1 до и, а в знаменателе — от 1 до k).

Найдите пик. Ответ обоснуйте.

7. Равнобедренный треугольник ABC с основанием АС поворачивают вокруг точки А на угол 30°, при этом точка В переходит в точку В1, точка С — в точку С1, а отрезок В1С1 проходит через точку С (рис. 1).

а)(4). Найдите расстояние от точки К до стороны АС (где К — это точка пересечения отрезков АВ1 и ВС), если известно, что АВ = 6.

б)(2). Найдите длину отрезка ВС1.

в)(2). Найдите площадь четырехугольника АВВ1С1.

8(4). Города А и В расположены на берегу реки, причем город В лежит ниже по течению. В 7 часов утра из А в В отправился плот, плывущий относительно берегов со скоростью течения реки. В 9 часов утра из В в А отправилась лодка, которая встретилась с плотом в 11 часов утра. Доплыв до города А, лодка мгновенно повернула обратно и приплыла в город Б одновременно с плотом.

В какое время они прибыли в город В?

9(3). Решите неравенство:

10(4). У одного человека был прямоугольный сад со сторонами 55 м и 40 м, и ему захотелось проложить в нем дорожку шириной 1 м, как показано на рисунке 2.

Чему равна площадь дорожки?

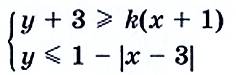
11(4). Фигура М на координатной плоскости состоит из точек, координаты которых удовлетворяют условиям:

Определите, при каком значении параметра k площадь фигуры М равна 20.

12(3). Найдите

13(4). Изобразите на координатной плоскости множество точек, координаты которых удовлетворяют условию:

14(5). При каких значениях параметра а уравнение х4 + (а — 3)х2 + (а + 10)2 = 0 имеет четыре корня, расположенные в порядке возрастания, причем эти четыре корня составляют арифметическую прогрессию?

ФИЗИКА

1. Стеклянная банка вмещает 3 л воды. Вес банки, целиком заполненной водой, составляет 40 Н. Определите объем стекла, из которого изготовлена банка. Плотность стекла ?с = 2500 кг/м3, плотность воды ?в = 1000 кг/м3, g= 10 Н/кг.

2. История сохранила некоторые подробности одного из последних путешествий таракана Митрофана по полу кухни. На графике (рис. 1) показано, как изменялось со временем расстояние от таракана до точки старта.

Известно, что все время таракан двигался с постоянной по величине скоростью, не проходя при этом одну точку дважды. Первые три и последние три секунды своего путешествия он двигался по прямой линии. Используя данные графика, определите модуль скорости таракана и пройденный им путь. Нарисуйте траекторию движения таракана в масштабе 1:10.

3. Эхолот, установленный на всплывающем с постоянной скоростью v = 3 м/с батискафе, посылает короткий звуковой импульс. На какой глубине находился в этот момент эхолот, если глубина моря в месте погружения составляет Н = 3 км, а отраженный от дна импульс был зарегистрирован эхолотом в момент его выхода на поверхность? Скорость звука в воде составляет vзв =1500 м/с.

4. Два груза массами m1 = 200 г и m2 = 300 г соединены легкой пружиной и насажены на гладкую вертикальную спицу. Нижний конец спицы упирается в горизонтальную поверхность стола, груз массой m1, находится внизу (рис. 2а).

При этом пружина сжата и ее длина равна L1= 12 см. Если конструкцию подвесить на нити, прикрепив ее к грузу массой m2 (рис. 2б), то длина пружины станет равной L2 = 22 см. Какой будет длина пружины, если конструкцию подвесить на нити, прикрепленной аналогично, но только к грузу массой m1?

5. Проведенные с помощью манометра измерения давления жидкости на разных глубинах в открытом резервуаре дали следующие результаты: у дна резервуара давление составило P1 = 34,8 кПа, а на расстоянии h = 1 м ото дна оно составило Р2 = 27,8 кПа. Определите по этим данным плотность жидкости и высоту столба жидкости в резервуаре. При вычислениях считайте g = 9,8 Н/кг. Манометр измеряет разность между полным давлением на данной глубине и атмосферным давлением.

6. Металлический брусок в форме куба подвешен на тонкой невесомой нерастяжимой длинной нити так, что одна из его плоскостей горизонтальна. С помощью динамометра, прикрепленного к другому концу нити, измеряют вес кубика в воздухе и в широком сосуде с жидкостью. Зависимость показаний динамометра от расстояния от нижней грани кубика до дна сосуда изображена на графике (рис. 3).

Определите по этим показаниям высоту столба жидкости в сосуде, длину ребра кубика, а также плотности жидкости и материала кубика. Изменением уровня жидкости в сосуде при поднятии кубика пренебречь.

Динамометр в жидкость не погружается. Силой Архимеда в воздухе пренебречь. При вычислениях считать g = 10 Н/кг.

7. На краю горизонтальной поверхности стола лежит, частично выступая за край, тонкий однородный деревянный стержень. Чтобы приподнять выступающий конец стержня, требуется минимальная сила F1. Чтобы приподнять конец стержня, находящийся на столе, требуется надавить на выступающий конец стержня с минимальной силой F2. Какая часть стержня выступает за край стола, если известно, что F2 = 4F1?

8. В стеклянный стакан массой mс = 100 г налили горячей воды массой mв = 200 г при температуре tв = 60 °C. После того как температуры воды и стакана сравнялись, оказалось, что температура стакана повысилась на ?t = 40 °C. Определите начальную температуру стакана и его конечную температуру. Удельная теплоемкость воды св = 4200 Дж/(кг?°С), удельная теплоемкость стекла сс = 840 Дж/(кг?°С). Потерями теплоты пренебречь.

9. В калориметр, где находится вода массой mв = 2,5 кг при температуре tв = 5 °C, помещают кусок льда массой mл = 100 г. Когда установилось тепловое равновесие, оказалось, что масса льда увеличилась на m = 64 г. Определите начальную температуру льда. Удельная теплоемкость воды св = 4200Дж/(кг?°С), удельная теплоемкость льда сл= 2100 Дж/(кг?°С), удельная теплота кристаллизации воды ?в =3,35* 10г> Дж/кг. Потерями теплоты пренебречь.

10. Используя два резистора с сопротивлениями R1 и R2 собирают две схемы: в одной их соединяют последовательно, а в другой — параллельно. На рисунке 4 изображены графики зависимости силы тока в цепи от приложенного напряжения. Определите, какой из графиков соответствует каждой из схем. Найдите также значения сопротивлений R1 и R2 резисторов.

11. Два автомобиля двигаются по прямолинейному участку шоссе в одном направлении. В начальный момент времени расстояние между автомобилями l = 300 м. Скорость автомобиля, едущего первым, составляет v0 = 36 км/ч, а у второго автомобиля скорость в два раза больше. Оба автомобиля одновременно начинают разгон с постоянными ускорениями. Ускорение первого автомобиля равно а =1 м/с2, а второго — в 2 раза меньше.

Каково минимальное расстояние между автомобилями при движении?

12. Массивная платформа движется с постоянной скоростью v->0 по горизонтальному полу. С заднего края платформы производится удар по мячу. Модуль начальной скорости мяча относительно платформы равен u = 2v0, причем вектор u-> составляет угол ? = 60° с горизонтом (рис. 5).

На какую максимальную высоту над полом поднимется мяч? На каком расстоянии от края платформы будет находиться мяч в момент приземления? Высотой платформы и сопротивлением воздуха пренебречь. Все скорости лежат в одной вертикальной плоскости.

13. Через легкий блок с неподвижной осью перекинута легкая нерастяжимая нить так, что ее концы свисают вертикально. К ним прикреплены грузы массами m = 400 г каждый. На один из грузов положили перегрузок массой m = 200 г. Найдите силу давления перегрузка на груз в процессе движения. Найдите силу давления на ось блока. Трением в оси блока пренебречь.

14. Стальной шарик массой m = 0,1 кг падает без начальной скорости на горизонтальную поверхность стола с высоты h1 = 0,5 м и отскакивает после удара на высоту h2 = 0,4 м. Найдите среднюю силу давления шарика на стол при ударе, если длительность удара равна ? = 0,02 с. Сопротивлением воздуха пренебречь. Действие силы тяжести на шарик во время удара не учитывать.

15. Два сосуда, содержащие кислород при температуре 300К, соединены тонкой горизонтальной трубкой постоянного сечения. В трубке находится перекрывающая ее капелька ртути. В начальный момент объемы, занимаемые кислородом по обе стороны от капельки, равны 40 см3 каждый. Когда один из сосудов медленно нагрели на 3К, а другой охладили на 3К, капелька ртути сместилась вдоль трубки на 1 см. Какова площадь поперечного сечения трубки?

16. Сосуд объемом V = 5 л содержит сухой воздух при давлении Р1 = 1 атм. В сосуд впрыснули воду массой m = 1,5 г. Во время всего опыта в сосуде поддерживается постоянная температура 100 °C. Будет ли пар, образовавшийся в результате испарения воды, насыщенным?

Определите влажность воздуха и давление влажного воздуха в сосуде после установления равновесия.

17. Маленький заряженный шарик прикреплен к легкой непроводящей нити и находится в равновесии в горизонтальном однородном электрическом поле. Шарик имеет массу m и положительный заряд q. Известно, что сила натяжения нити в 2 раза больше действующей на шарик силы тяжести. Определите модуль напряженности электрического поля и угол между нитью и вертикалью.

Более 800 000 книг и аудиокниг! 📚

Получи 2 месяца Литрес Подписки в подарок и наслаждайся неограниченным чтением

ПОЛУЧИТЬ ПОДАРОК