38. МОДИФИЦИРОВАННАЯ ВНУТРЕННЯЯ НОРМА РЕНТАБЕЛЬНОСТИ
Модифицированная внутренняя норма рентабельности (MIRR – Modified internal rate of return) опирается на понятие будущей стоимости проекта.
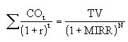
Будущая стоимость проекта (TV – Terminal value) – стоимость поступлений, полученных от реализации проекта, отнесенная к концу проекта с использованием нормы рентабельности реинвестиций. Норма рентабельности реинвестиций R в данном случае означает доход, который может быть получен при реинвестировании поступлений от проекта:

где R – месячная норма рентабельности реинвестиций; N – длительность проекта, месяцы; OFt – чистый денежный поток месяца t. Модифицированная внутренняя норма рентабельности определяется как ставка дисконтирования, при которой выполняется следующее условие:

где Got – выплаты месяца t; r – требуемая норма рентабельности инвестиций (месячная); N – длительность проекта в месяцах. Другими словами, для расчета MIRR платежи, связанные с реализацией проекта, приводятся к началу проекта с использованием ставки дисконтирования r, основанной на стоимости привлеченного капитала (ставка финансирования или требуемая норма рентабельности инвестиций). При этом поступления от проекта приводятся к его окончанию с использованием ставки дисконтирования R, основанной на возможных доходах от реинвестиции этих средств (норма рентабельности реинвестиций). После этого модифицированная внутренняя норма рентабельности определяется как ставка дисконтирования, уравнивающая две эти величины (приведенные выплаты и поступления).
Более 800 000 книг и аудиокниг! 📚
Получи 2 месяца Литрес Подписки в подарок и наслаждайся неограниченным чтением
ПОЛУЧИТЬ ПОДАРОК