Приложение

ВЫВОД ЗАКОНА ХАББЛА

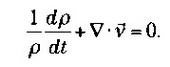
В классической механике жидкостей есть две базовые формулы, хорошо известные студентам: уравнение постоянства и уравнение Бернулли.

Уравнение постоянства, которое представляет собой не что иное, как выражение сохранения массы, выглядит так:

Но перепадов плотности, согласно космологическому принципу, быть не может. Плотность зависит только от времени, поэтому третье слагаемое можно убрать:

Первое слагаемое зависит только от времени, значит второе тоже может зависеть только от времени при помощи неизвестной функции, которую можно назвать 3H(t). Но

Затем мы можем написать:

Так как H(t) — только функция времени, в формулу можно также включить дивергенцию. Решение представляет собой уравнение типа

где векторная функция ? — некая неизвестная функция. Это выражение действительно является решением дифференциального уравнения, так как дивергенция ротора любого вектора равна нулю. Она не может зависеть от позиционного вектора — только от его модуля, иначе был бы нарушен принцип изотропии. Но ротор такой функции равен нулю, поэтому мы получаем

Это эквивалент формулы Хаббла с уточнением: скорость должна быть чистым расширением. Функция H(t) остается неизвестной, для ее определения нужно использовать другие уравнения, а лучше — релятивистские уравнения сохранения импульса и энергии, которые выходят за рамки нашего приложения. H(t) может принимать положительные, отрицательные, нулевые значения, знак может меняться с течением времени. Наблюдения показывают, что сегодня H0 положительна. Наблюдается расширение.

Рассмотрим альтернативное рассуждение, которое кажется более простым и основано на уравнении Бернулли. Этот ученый объяснил нам много любопытного в поведении жидкостей. Его знаменитая формула в своей самой известной форме выглядит так:

p+1/2pv2 = постоянная,

где р — давление. Эта формула выполняется, когда в разных точках жидкости гравитация одинакова. Если имеются изменения гравитации, надо добавить в формулу потенциальную гравитационную энергию. Нам не обязательно учитывать давление, так как космологический принцип говорит, что давление во всех точках одинаково; его значение может перейти

ко второму члену и добавиться к постоянной. Потенциальная энергия на единицу объема записывается как ~(GMl)/r, где масса М = р4лг*/3, затем

-4/3?Gp?r? + 1/2pv?

Заметьте, что М(r) — масса, содержащаяся в сфере с радиусом r.

Чтобы найти величину постоянной, рассмотрим «здесь» с r = 0. Мы не видим скорости расширения. Очевидно, что r = 0, постоянная второго члена равна нулю. Таким образом, получаем

v = (8/3?Gp)?r = H0r

Мы не только получили закон Хаббла, но и рассчитали величину H0:

H0 = ?(8/3?Gp).

Об этом ли значении говорят релятивистские модели? Не совсем — это величина, соответствующая критической, или плоской, Вселенной с нулевой кривизной. Так как мы исходили из классических уравнений, сложно претендовать на большую точность. Формулировки, представленные в этом приложении, конечно же, очень поверхностны, но они иллюстрируют то, что закон Хаббла — прямое следствие космологического принципа и его мог бы открыть даже студент-физик. Естественно, апостериори все открытия выглядят очевиднее.

Мы не отрицаем заслуг Хаббла, ведь наши рассуждения ретроспективны. Когда процессы известны, их легче оценивать, так что это приложение можно назвать предсказанием постфактум. В любом случае, доказательство закона требовало наблюдений. В те времена непросто было утверждать, что Вселенная расширяется. Как мы знаем, даже Эйнштейн не решался этого делать.

Более 800 000 книг и аудиокниг! 📚

Получи 2 месяца Литрес Подписки в подарок и наслаждайся неограниченным чтением

ПОЛУЧИТЬ ПОДАРОК