Локализация. Рецессивность и доминантность
Теперь мы должны рассмотреть некоторые другие важнейшие факты и представления, касающиеся мутаций, - опять в несколько догматической форме, не показывая, как эти факты и представления возникли один за другим из экспериментальных данных.
Мы должны были бы ожидать, что определенная мутация вызывается изменением в определенной области одной из хромосом. И так это и есть. Важно констатировать: мы твердо знаем, что это изменение происходит только в одной хромосоме и не возникает одновременно в соответствующем "локусе" гомологичной хромосомы. Схематически это показано на рис. 8, где крестом отмечен мутировавший локус.

Рис.8. Гетерозиготный мутант. Крестом отмечен мутировавший ген
Факт, что затронута только одна хромосома, обнаруживается, когда мутировавшая особь (часто называемая "мутант") скрещивается с немутировавшей. Ибо при этом ровно половина потомства обнаруживает мутантный признак, а половина - нормальный. Это и есть именно то, чего следует ожидать в результате расхождения у мутанта двух хромосом в мейозе и что показано весьма схематично на рис. 9.

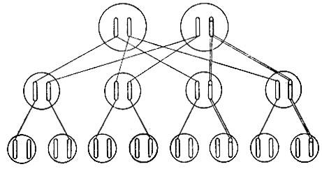
Рис. 9. Наследование мутации. Прямые линии указывают передачу нормальной хромосомы, а двойные - передачу мутировавшей хромосомы. Хромосомы третьего поколения, происхождение которых не указано, приходят невключенными в схему супругов особей второго поколения. Предполагается, что эти супруги не родственны и свободны от мутаций
На этом рисунке дана родословная, где каждый индивидуум (трех последовательных поколений) представлен просто парой хромосом. Пожалуйста, учтите, что если бы обе хромосомы мутанта были изменены, то все дети имели бы одну и ту же (смешанную) наследственность, отличную от наследственности каждого родителя.
Но экспериментировать в этой области не так просто, как могло показаться из вышесказанного. Дело усложняется вторым важным обстоятельством, а именно тем, что мутации весьма часто бывают скрытыми. Что это значит?
У мутантной особи две "копии шифровального кода" больше уже не одинаковы; они представляют два различных "толкования" или две "версии", во всяком случае в том месте, где произошла мутация. Может быть, полезно указать сразу, что хотя это и соблазнительно, но было бы совершенно неверно рассматривать первоначальную версию как "ортодоксальную", а мутантную версию как "еретическую". Мы должны рассматривать их в принципе как равноправные, ибо и нормальные признаки в свое время также возникли путем мутаций.
Действительно, признаки мутантного индивидуума, как общее правило, соответствуют или той или другой версии, причем эта версия может быть как нормальной, так и мутантной. Версия, которой следует особь, называется доминантной, противоположная-рецессивной; другими словами, мутация называется доминантной или рецессивной в зависимости от того, проявляет ли она свой эффект сразу или нет.

Рис.10. Гомозиготный мутант, полученный в одной четверти потомства при оплодотворении гетерозиготных мутантов (см. рис.8) или при скрещивании их между собой
Рецессивные мутации даже более часты, чем доминантные, и бывают весьма важными, хотя они не сразу обнаруживаются. Чтобы л изменить свойства организма, они должны присутствовать в обеих хромосомах (рис. 10). Такие индивидуумы могут быть получены, когда два одинаковых рецессивных мутанта скрещиваются между собой или когда мутант скрещивается сам с собой. Последнее возможно у гермафродитных растений и происходит даже самопроизвольно. Простое рассуждение показывает, что в этих случаях около четверти потомства будет мутантной внешности.
Более 800 000 книг и аудиокниг! 📚
Получи 2 месяца Литрес Подписки в подарок и наслаждайся неограниченным чтением
ПОЛУЧИТЬ ПОДАРОК