ЧАСТЬ IV ЖИЗНЬ ВО ВСЕЛЕННОЙ Глава 28 Что такое жизнь?
Здесь и сейчас, спустя 14 млрд лет после загадочного рождения Вселенной, во внешней области рядовой галактики, в планетной системе, сформировавшейся 5 млрд лет назад вокруг типичной звезды, мы наблюдаем совершенно особое явление: поверхность одной из планет покрыта биосферой, то есть сложной сетью органических соединений, существующих в водной среде. Эти химические реакции в основном осуществляются за счет энергии, поступающей от звезды, и поддерживают все разнообразие живых существ — от одноклеточных микробов до крупных растений и животных. Они объединены в сложные экологические сообщества с многоступенчатой последовательностью преобразования энергии (пищевая цепь), которая эффективно переносит соединения углерода между окисленным и восстановленным состояниями. В частности, зеленые растения и водоросли путем фотосинтеза, использующего солнечный свет, превращают окисленный углерод (СO2) в восстановленные соединения углерода (сахара), которые используются в том числе и другими организмами в качестве источника химической энергии. Фотосинтез связывает большое количество углерода в органические соединения (биомассу), а дыхание животных и гниение органических веществ возвращает СO2 обратно в воздух. Эти реакции сильно повлияли на содержание двуокиси углерода в атмосфере и таким образом — на климат. В процессе фотосинтеза для восстановления используются протоны из молекул воды (Н2O), при этом атмосфера планеты обеспечивается кислородом.
Жизнь и Вселенная.
Живые существа состоят из вполне обычных химических элементов — кислорода, углерода, водорода, азота, кальция, фосфора и др. (Врезка 12.1). Несмотря на это, жизнь сильно отличается от окружающего ее неодушевленного мира. Она основана на очень сложных химических соединениях, и в ней все время происходят сложные биохимические реакции, которые невозможны в неживой окружающей среде. Таким образом, жизнь стимулирует резкое увеличение порядка в своих структурах по сравнению с простой совокупностью составляющих ее атомов. Иными словами, она уменьшает энтропию в своих системах (Врезка 28.1). Может показаться, что жизнь нарушает второй закон термодинамики. Но это не так. Порядок создается за счет энергии окружающей среды и контролируется обширной внутренней информацией, содержащейся в сложных молекулярных структурах. Между живой системой и ее окружением нет равновесия.
Врезка 28.1. Энтропия.
По собственному опыту мы знаем, что многие вещи постепенно теряют свой налаженный порядок или структуру, а некоторые вообще превращаются в пыль. Второй закон термодинамики утверждает, что если физический процесс протекает без взаимодействия с внешним миром, то в такой замкнутой системе величина, называемая энтропией, всегда увеличивается. Это совсем не похоже на поведение полной энергии, которая в замкнутой системе сохраняется (согласно Первому закону термодинамики).
Энтропия характеризует уровень порядка: чем выше энтропия, тем больше беспорядка, хаоса. Можно также сказать, что энтропия в некоторой степени характеризует число отдельных единиц в системе: то, что вначале было одним целым, стремится к концу разделиться на части и достичь наиболее вероятного состояния. Кроме того, эта тенденция определяет направление стрелы времени в реальной жизни, тогда как в простой механике понятие о направлении времени не существует.
Для того чтобы ощутить рост энтропии, обычно рассматривают сосуд, заполненный газом. Предположим, что начальное состояние было совершенно невероятным: в какой-то момент времени все молекулы оказались на одной поло-вире сосуда, а вторая его половина была совершенно пустая. Очевидно, что после этого момента молекулы будет стремиться заполнить сосуд целиком, распределившись в нем однородно. Такая ситуация наиболее вероятна и соответствует максимальной энтропии.
Заметим, что это естественное стремление к «хаосу» зависит от предположения, что система (сосуд плюс газ) замкнутая. Нетрудно представить себе внешнее воздействие, способное перевести систему из ее «наиболее вероятного» состояния в явно «невероятное». Жизнь — это такое явление, которое, на первый взгляд, нарушает закон возрастания энтропии. Но нужно помнить, что жизнь не может развиваться в изолированном сосуде, а целиком зависит от потока энергии из окружающей среды в живую систему и обратно. Если рассматривать биосферу и окружающую ее космическую среду (включая звезду, излучающую энергию), то энтропия всей этой области, естественно, возрастает.
Жизнь — это не только упорядоченная система, получающая энергию и химические питательные вещества из окружающей среды. Жизнь способна поддерживать себя и воспроизводиться, причем в процессе воспроизводства она обретает новые черты и приспосабливается к новым условиям. Эта способность к адаптации привела к разнообразию видов, к развитию новых качеств, таких как многоклеточность. Появление разнообразных стратегий выживания вызвало возрастание сложности организмов и экосистем. Развитие инстинктов и способности к обучению позвоночных видов усилило их адаптивность и выживаемость в новых экологических нишах. Рост умственных способностей привел к появлению социального поведения, любознательности и коммуникации внутри видов и даже между разными видами.
В нашу эпоху высочайший уровень умственных способностей достигнут родом человеческим. Эти черты проявляются у людей в том, что они расселились по всем пригодным для обитания областям Земли, которую они детально исследовали. Уже составлена перепись большинства других видов и заложены основы клеточной и молекулярной биологии. Этими исследованиями движет любознательность: мы хотим знать, что нас окружает и как это работает. Другой движущей силой служит стремление использовать естественные ресурсы, поэтому за последние несколько веков человечество заметно повлияло на биосферу Земли.
Мы многое узнали о мире и о жизни в том виде, в каком она сейчас существует. Но связь между жизнью и Вселенной все еще не ясна. В каких условиях и как зародилась жизнь? Возникновение жизни — это редкое событие или повсеместное? Имеют ли основные химические элементы живого вещества (С, Н, О, N, Р) врожденную способность к образованию сложных структур, ведущих к зарождению жизни? Должна ли жизнь непременно быть «нашего типа» или она может оказаться совершенно другой? Если пригодные для жизни места есть где-либо еще, то существуют ли там жизнь? Если внеземная жизнь существует, то какая она? Насколько разнообразной и сложной может быть жизнь? Способны ли разные формы жизни общаться друг с другом?
До сих пор мы не обнаружили жизнь где-либо за пределом Земли. Исходя из этого, можно предположить, что жизнь — не очень распространенное явление во Вселенной; но это может быть только отражением нашей неосведомленности, вызванной тем, что мы не способны заметить признаки жизни на больших расстояниях даже в пределах нашей Солнечной системы, и тем более — где-либо еще. С другой стороны, жизнь на Земле возникла довольно быстро, почти сразу же, как только условия для нее стали пригодными. Говорит ли это о том, что жизнь — рядовое явление во Вселенной? Но ведь мы даже не знаем, насколько особыми были начальные условия здесь, на Земле. Поэтому, даже если условия для поддержания жизни широко распространены, мы не знаем, смогла ли зародиться в одном из этих мест жизнь. Найти ответы на эти вопросы должна новая междисциплинарная область науки — астробиология.
Наши представления о жизни меняются.
Животные рождаются, размножаются и умирают. Растения растут и цветут в вегетационный период. Даже крошечные создания — невидимые одноклеточные микробы, способны размножаться в подходящих условиях и заполнить все доступное им жизненное пространство. У неодушевленных предметов нет этих способностей. Раньше считали, что неживой предмет может ожить, если получит «жизненную силу» — vis vitae, а в момент смерти эта сила должна покидать его. Теория «витализма» была широко распространена несколько столетий. Потребовалось сделать множество открытий, прежде чем от нее отказались и стали рассматривать жизнь как особый физико-химический процесс. Разносторонний естествоиспытатель Роберт Гук (см. главы 8 и 10, рис. 28.1) увидел в свой микроскоп клетки растений в 1665 году и впервые для их описания использовал слово «клетка». С того момента до начала полноценных исследований клетки прошло много времени. Шотландский ботаник Роберт Броун (1773–1858) заметил в 1831 году темный объект внутри клетки. Это было ядро.

Рис. 28.1. Микроскоп Роберта Гука; рисунок из его книги «Микрография». Он автор термина «клетка».
Отцами теории клетки считаются немцы Маттиас Шлейден (1804–1881) и Теодор Шванн (1810–1882). Шлейден изучал право и стал адвокатом. Позже он заинтересовался биологией и в 1838 году выдвинул идею, что рост и развитие живых существ обусловлены рождением клеток. Он предугадал, что клетки растут вокруг ядер. В том же году Шванн предположил, что растения и животные обла-дают одной и той же основной единицей — клеткой. Таким образом, он разрушил барьер между миром растений и миром животных. Более поздние исследования показали, что основными частями клетки являются цитоплазма (род жидкости), ядро и огромное количество маленьких органелл.
Немец Оскар Гертвиг в 1876 году описал процесс оплодотворения как слияние сперматозоида с яйцеклеткой. В 1882 году (в этом десятилетии астрономы начали фотографировать туманности) Вальтер Флемминг продемонстрировал первые фотографии деления клетки и ее ядра. После этого клетку стали считать «атомом» жизни — не только структурной, но и операционной единицей. Особо выделенной оказалась роль ядра.
Основные структуры и функции живого.
Жизнь на Земле очень разнообразна: она охватывает диапазон от гигантских секвой и китов до одноклеточных бактерий и от активно самовоспроизводящихся клеток до неподвижных или даже спящих стадий. Но при всем этом разнообразии формы земной жизни имеют в своей основе очень схожие химические структуры и реакции, управляющие их функциями. Клеточные функции даже простейших созданий чрезвычайно сложны и включают в себя множество химических реакций. Мы опишем только те особенности жизни, которые присущи всем ее формам, то есть основные признаки земной жизни. Единообразие этих особенностей указывает, что у них было общее происхождение — последний всеобщий предок (Last Universal Common Ancestor, LUCA) всех форм жизни.
Основная единица жизни — клетка (рис. 28.2). У нее могут быть разные формы, но в большинстве случаев она микроскопическая. Клетку можно рассматривать как мельчайшую фабрику, где постоянно происходит множество сложнейших действий. Клетка окружена полупроницаемой мембраной с «воротами» и «насосами», через которые снаружи в нее поступают питательные вещества и прочие молекулы. Эта мембрана работает и в обратную сторону, выпуская наружу молекулы отходов.
Внутренности клетки заполнены водным раствором — цитоплазмой и множеством различных макромолекул (крупные молекулы, которые фактически заполняют все пространство). В простейших клетках объем, огороженный мембраной, представляет собой единую ячейку.

Рис. 28.2. Два типа клеток. (а) Эукариотическая клетка (содержащая ядро); (б) прокариотическая клетка (без ядра).
У более развитых видов клетка имеет отдельный координационный центр — ядро. Те одноклеточные организмы, у которых нет ядра, называются прокариотами, а те, у которых есть ядро, — эукариотами. Прокариоты делятся на бактерии и археи. Археи (они часто процветают в экстремальных условиях, например при высокой температуре) до 1970-х годов не рассматривались отдельно от бактерий.
К эукариотам относятся многие одноклеточные животные и растения, а также многоклеточные существа (как мы с вами), состоящие из систем клеток. Вместе эукариоты, бактерии и археи образуют три известных домена жизни.
Химия жизни.
Белки — основная рабочая сила и структурный материал клетки. Они имеют различную форму и размер, и каждый из них выполняет в клетке свою задачу.
Некоторые белки формируют основные клеточные структуры, такие как нитевидный цитоскелет — каркас клетки, а также компоненты клеточных стенок и разнообразные «ворота» и «насосы» в клеточной мембране.
Другой важнейшей функцией различных белков является их работа в качестве химических сигналов и регуляция работы других белков. Например, экспрессия каждой единицы наследованной информации (гена) осуществляется через посредничество и под управлением многих других белков, так же как и активация или инактивация продуктов генов.
Среди важнейших задач белков — их работа в качестве ферментативных катализаторов. Эти катализаторы участвуют во всех биохимических реакциях, связывая вступающие в реакцию молекулы (субстраты) и удерживая их вместе в оптимальном положении, так чтобы они могли реагировать легко и эффективно. Присутствие ферментативных катализаторов может повысить скорость реакции на много порядков и заставить реакции протекать эффективно в умеренных условиях и при низкой концентрации вступающих в реакцию веществ, субстратов. Ферменты заботятся также о том, чтобы происходили правильные реакции и тормозились неправильные. Эти катализаторы действительно главные «помощники», необходимые для того, чтобы в клетке протекали биохимические реакции, большая часть которых просто остановилась бы при отсутствии ферментов (рис. 28.3). Пытаясь представить себе самые ранние формы жизни, мы сталкиваемся с проблемой: как они могли осуществлять любую из необходимых для своего размножения и выживания функций, если еще не были способны производить необходимые для этого ферменты?
Живой клетке требуется множество разных белков для осуществления всевозможных структурных, регуляторных и каталитических функций. Человеческая клетка производит более 40 000 разных белков, причем многие из них могут существовать в различных формах (например, активной и неактивной). Но откуда берутся или как производятся белки?


Рис. 28.3. Ферментативный катализ, (а) Фермент-катализатор захватывает реагирующие молекулы (субстраты) и держит их вместе в оптимальном положении, поэтому они могут легко прореагировать и создать продукт. (б) Влияние ферментативного катализа на скорость биохимических реакций в зависимости от времени.
Открытие генетики и ее химические основы.
Австрийский монах Грегор Мендель (1822–1884) проделал основополагающую работу для определения законов и механизмов наследственности. В течение многих лет на монастырском огороде он выращивал горох и детально описал все 10 000 выращенных им растений. При этом он смог проследить в течение нескольких поколений характер наследования некоторых признаков, таких как цвет семян, и нашел закономерности наследования. Он опубликовал свои результаты в 1886 году, но оценить их смогли только после того, как в начале 1900-х годов некоторые закономерности были открыты заново. Мендель выдвинул идею о единице наследственности — сейчас ее называют геном, — которая определяет каждое наследуемое свойство.
Раньше считалось, что гены содержатся в белках, управляющих большинством клеточных функций. О существовании ДНК было известно, но, поскольку в ней только 4 основания, ее структура считалась слишком простой, чтобы кодировать большое количество генетической информации. К ДНК относились как к языку, в алфавите которого всего четыре буквы. Но затем некоторые ученые (Освальд Эйвери, Колин Маклауд и Маклин Маккарти в 1944 году, а также Алфред Херши и Марта Чейз в 1952-м) показали, что генетические свойства все же передаются при помощи ДНК, а не белков. Постепенно стало выясняться, каким огромным потенциалом кодирования обладает ДНК, а ее структуру в виде двойной спирали впервые разгадали Розалинда Франклин, Морис Уилкинс, Джеймс Уотсон и Фрэнсис Крик. Структура была выявлена с помощью рентгеновской дифракционной фотографии ДНК, полученной и расшифрованной Розалиндой Франклин. Сама Розалинда умерла от рака в 1958 году, в возрасте 37 лет, до того, как ее работа получила признание, и раньше, чем ее коллегам дали за эту работу Нобелевскую премию 1962 года.
Генетический код, состоящий из триплетов нуклеотидов, был разгадан в лаборатории Крика в Кембриджском университете и в американских лабораториях М. Ниренберга, X. Г. Кораны и Р. Холли в 1961–1965 годах. Интересно, что принципы кодирующего механизма были правильно предсказаны еще в 1954 году физиком Георгием Гамовым, важнейшие исследования которого в области космологии описаны в главе 24. Было известно, что генетическая информация закодирована последовательностью четырех разных нуклеотидов, и эти нуклеотидные последовательности определяют порядок расположения 20 разных аминокислот в белках. Основываясь на этой информации, Гамов пришел к выводу, что генетический код должен основываться на нуклеотидных триплетах.
Теперь мы знаем, что белки не воспроизводят себя, а синтезируются по инструкциям, хранящимся в виде генетической информации, записанной нуклеотидной последовательностью в геномной ДНК. Для интерпретации этого послания необходима другая нуклеиновая кислота — РНК.
Мы часто слышим термин ДНК, но что это такое? Пожалуйста, посмотрите внимательно на рис. 28.4.

Рис. 28.4. Компоненты нуклеотидов РНК и ДНК.
ДНК и РНК — очень похожие и тесно связанные между собой молекулы. В их названии «НК» означает «нуклеиновая кислота», и это говорит о том, в каком месте клетки обнаруживаются обе эти молекулы — в ядре (nucleus — ядро). В термине «РНК» первая буква Р произносится как «рибо» и относится к сахару рибозе, или циклическому кольцу молекулы сахара, содержащему пять атомов углерода (две нижние правые молекулы на рис. 28.4). В «ДНК» буква Д означает дезоксирибозу, или кольцевую молекулу сахара, содержащую пять атомов углерода и очень похожую на рибозу, только без группы ОН, присоединенной к углероду на позиции 2 (2'-углерод) в кольце рибозы. Оба типа нуклеиновых кислот состоят из нуклеотидов. В нуклеотидах кольцо сахара работает как центральная молекула, которая связывает основание со своим 1'-углеродом. Как видно на рис. 28.4 (два верхних ряда и первая молекула в третьем ряду) основания состоят из циклических соединений азота и углерода. В каждой из нуклеиновых кислот используется четыре различных типа оснований. В ДНК основаниями служат аденин (А), гуанин (G), цитозин (С) и тимин (T). В РНК три основания те же самые, лишь вместо тимина используется урацил (U).
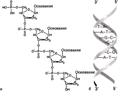
Комбинация из сахара и основания составляет единицу, называемую нуклеозидом. Чтобы образовать нуклеотид, группа фосфата (слева в нижнем ряду на рис. 28.4) соединяется с 5'-углеродом сахара. Как показано слева на рис. 28.5, фосфатные группы связывают соседние нуклеозиды (фосфо-ди-эфирная связь), чтобы создать длинные нуклеотидные цепочки. Фосфат, связанный с 5'-углеродом сахара, всегда присоединен к 3'-углероду предыдущего нуклеотида. Это означает, что цепочка всегда растет в одном направлении: новый нуклеотид может присоединиться только к 3'-положению последнего нуклеотида в цепочке, как показано на рис. 28.5 слева.
На рис. 28.5 справа вы видите нить ДНК без мелких деталей, представленных слева. ДИК состоит из двух антипараллельных копий длинных нуклеотидных цепочек, скрепленных друг с другом подходящими парами комплементарных нуклеотидов. Из-за особенностей трехмерной структуры этих пар оснований они стремятся встать друг над другом таким образом, что завивают параллельные цепочки в правильную спираль. Именно поэтому двойная спираль ДНК выглядит как винтовая лестница, а точнее — закрученная веревочная лестница, у которой две линейные магистрали, состоящие из длинных цепочек сахаров и фосфатов, удерживаются вместе парами комплементарных нуклеотидных оснований. Каждая из цепочек содержит «зеркальную» относительно второй цепочки генетическую информацию, поэтому одна из цепочек (активная) считывается, и ее информация используется для синтеза белка, а вторая цепочка нужна лишь для репликации первой.
Итак, молекула ДНК имеет две магистральные цепи, обвивающие друг друга и образующие знаменитую «двойную спираль».
Основания показаны в виде букв на ступенях этой «лестницы», соединяющих магистрали обеих нитей в единую спираль. Для воспроизводства генетической информации нуклеотидная последовательность ДНК копируется (реплицируется) на параллельную нить, образующую затем с исходной нитью двойную спираль. Интересно, что вторая цепь двойной спирали идет не в том же направлении, что исходная цепь ДНК, и, хотя она состоит из таких же нуклеотидов, их порядок имеет противоположное направление, и располагаются они по принципу дополнительности: А соединяется с T, а G соединяется с С.

Рис. 28.5. Объединение нуклеотидов в нить ДНК (а) и то, как эти нити соединяются в двойную спираль посредством взаимодействия комплементарных оснований (б).
В двойной спирали попарно связанные основания имеют подходящие друг к другу формы своих окончаний, за счет чего обеспечивается однозначная связь А с T и G с С. Поэтому, когда дубликат нити копируется вновь, оригинальная информационная последовательность восстанавливается. Структура двойной спирали очень стабильна и прочна, и поскольку процесс копирования очень точный, генетическая информация надежно сохраняется в ДНК. При копировании ДНК (рис. 28.6) двойная спираль на какое-то время разделяется, и рядом с каждой из родительских цепей строится комплементарная копия; так образуются две дочерние двойные спирали. Одновременно с репликацией ДНК, происходящей в ядре клетки, все содержимое клетки делится пополам, и дочерние ДНК направляются каждая к своей дочерней клетке. Таким образом, каждая дочерняя клетка наследует идентичный ДНК геном. Тем не менее эти клетки могут выполнять разные роли и функционировать по-разному в зависимости от конкретной экспрессии генов, ответственных за развитие клетки. Такая клеточная дифференциация очень распространена в многоклеточных организмах, где одна и та же генетическая информация руководит формированием специфических типов клеток в разных органах (типа кожи или внутренних органов).

Рис. 28.6. Репликация ДНК.
Генетический код и его экспрессия.
Генетический код хранится в нуклеотидной последовательности ДНК в форме следующих один за другим триплетов нуклеотидов, причем каждый из триплетов соответствует определенной аминокислоте. Порядок триплетов, или ген, показывает, в какой последовательности должны объединиться аминокислоты, чтобы сформировать определенный белок. Используя триплеты, составленные из четырех разных нуклеотидов, можно создать всего 43 = 64 разных триплетов — аминокислотных кодонов. Различные триплеты и соответствующие им аминокислоты представлены в табл. 28.1. Три триплета (TAG, ТАА и TGA) зарезервированы для идентификации конца каждого гена; эти триплеты не определяют код никакой аминокислоты. ATG, или стартовый триплет, указывает на начало (хотя он также определяет и код метионина в середине гена). Последовательность триплетов, расположенных между метками начала и остановки, называется открытой рамкой считывания (ORF). При синтезе белков у большинства видов используется 20 различных аминокислот (хотя некоторые бактерии употребляют еще 2 дополнительные аминокислоты). Формулы и химические свойства этих 20 аминокислот приведены на рис. 28.7.
Таблица 28.1. Генетический код: соответствие нуклеотидных триплетов и аминокислот.

Кодировка 20 аминокислот с помощью имеющегося 61 триплета позволяет использовать для каждой из них более одного кода; в самом деле, для большинства аминокислот применяется два или три кода (см. табл. 28.1). Вырожденностъ кода означает, что генетическая информация не очень чувствительна к малым изменениям. Мутации или ошибки считывания могут изменить нуклеотиды в триплетах, но закодированный белок останется тем же.

Рис. 28.7. Структура 20 аминокислот, используемых в синтезе биологических белков. Указан электрический заряд каждой аминокислоты: (+) для положительно заряженных, (-) для отрицательно заряженных, (p) полярные незаряженные, (hp) гидрофобные, (sf) особые формы.
В открытой рамке считывания триплетный код прочитывается, и в соответствии с этой информацией синтезируется соответствующая последовательность аминокислот; этот процесс называют трансляцией (рис. 28.8). Первоначально последовательность гена из ДНК копируется в виде другой нуклеиновой кислоты — матричной РНК, или сокращенно мРНК, после чего в случае эукариот переносится из ядра в цитоплазму, где и происходит процесс трансляции (рис. 28.8). Трансляционный аппарат клетки состоит из больших каталитических комплексов, называемых рибосомами и объединяющих в себе две различные субъединицы. Интересно, что каждая из субчастиц рибосомы в свою очередь состоит из одной, двух или даже трех различных рибосомных РНК (рРНК) и большого числа специализированных рибосомных белков (табл. 28.2). Рибосомы узнают и считывают коды, записанные в нуклеотидной последовательности мРНК, и в соответствующем порядке располагают аминокислоты. Каждую аминокислоту доставляет к месту реакции своя специфическая молекула транспортной РНК (тРНК), как это показано в средней правой части рисунка.

Рис. 28.8. Механизм экспрессии генетического материала.
Таблица 28.2. Количество рибосомных компонентов в эукариотах и прокариотах.

В процессе трансляции аминокислоты связываются друг с другом пептидными связями (рис. 28.9).

Рис. 28.9. Процесс трансляции, связывающий друг с другом две аминокислоты пептидной связью с выделением воды. Карбоксильные и аминные группы заключены в рамки, а переменные боковые цепочки обозначены буквой R.
В пептидных связях карбоксильная группа поступающей аминокислоты связывается с аминогруппой предыдущей аминокислоты. Таким образом, аминокислотная цепь растет линейно, так же как и нуклеиновая кислота. Образованная цепочка аминокислот называется полипептидом. Химические свойства боковых групп аминокислот (их заряд, полярность или электронейтральность) определяют, как они взаимодействуют друг с другом в полипептиде и с окружающим их водным раствором. Положительно и отрицательно заряженные аминокислоты стремятся взаимодействовать друг с другом и связываться вместе, полярные аминокислоты пытаются расположиться на внешней поверхности белковой глобулы, а гидрофобные аминокислоты стараются собраться вместе и перебраться из воды во внутреннюю ее часть. Эти силы взаимодействия заставляют длинную линейную молекулу свернуться в очень специфичную трехмерную структуру, в которой каждая аминокислота расположена точно на своем месте. Эти правильно сложенные белковые продукты могут быть еще модифицированы присоединением к определенным аминокислотам дополнительных молекулярных групп, таких как сахара или остатки фосфорной кислоты, а также связываться с другими белковыми глобулами, причем это могут быть как одинаковые, так и разные белки. Таким образом, окончательные функциональные белковые комплексы рождаются в замечательном процессе, в котором первичная последовательность генов превращается в последовательность аминокислот, сворачивается в аккуратную трехмерную структуру и окончательно превращается в функциональный комплекс.
Генетика и эволюция жизни.
Чарлз Дарвин (1809–1882) был первым, кто ясно понял, что новые виды формируются в результате генетических изменений и что движущая сила эволюции — это естественный отбор. Дарвин только что окончил Кембриджский университет, когда его пригласили участвовать в многолетней экспедиции на корабле «Бигль», отправлявшемся в кругосветное путешествие. Кульминационным моментом экспедиции Дарвина стало посещение Галапагосских островов, где он обнаружил много новых видов, которые были во многом схожи, но явно отличались друг от друга на разных островах. Здесь эволюция видов от общего предка была очевидна. Собранный в ходе путешествия материал был очень богат; потребовалось несколько лет для его изучения и систематизации.
Дарвин держал при себе выводы об эволюции видов, сделанные им на основе собранного материала. Наконец в 1858 году письмо от его друга Альфреда Уоллеса (1823–1913), который в то время был на Малайском архипелаге, заставило Дарвина действовать: в письме Уоллеса содержалось краткое описание теории эволюции. На собрании Линнеевского общества в 1858 году Дарвин сделал общий доклад об открытиях, совершенных им и Уоллесом. Через год Дарвин опубликовал свою книгу «Происхождение видов», в которой он описал основную теорию (свою и Уоллеса): эволюция происходит путем естественного отбора небольших изменений унаследованных свойств. Эти изменения, происходящие от поколения к поколению, представляются нам как эволюция внутри популяции. Эволюция видов обусловлена усовершенствованием программы жизни. Когда существо умирает, программа переходит к следующему поколению, а естественный отбор следит за тем, чтобы существа с наилучшими программами преуспевали и воспроизводились.
Идею превращения одного вида в другой уже высказывали древние греки Анаксимандр и Эмпедокл, а позже об этом же говорил француз Жан Батист Ламарк (1744–1829). Но идея эволюции по Ламарку отличалась от идей Дарвина: Ламарк считал, что особенности, приобретенные существом в течение его жизни, наследуются его потомками. Например, шея жирафа длинная, потому что добывание пищи с веток деревьев немного удлиняло шею каждой особи, и поэтому каждый потомок наследовал шею, которая была немного длиннее, чем у его родителя. Согласно Дарвину, причина длинной шеи совсем другая: длинная шея способствует выживанию животного, поэтому небольшие внутренние изменения в генах в пользу длинной шеи дали предпочтение и были отобраны в течение многих поколений.
Немец Август Вейсман (1834–1914) в 1880-х годах разработал теорию передачи наследственных свойств через репродуктивные клетки — яйцеклетки и сперму. Сначала он был врачом и занимался микроскопическими исследованиями, но его зрение ухудшилось, и это вынудило его заняться теоретической работой. Его теория о том, что свойства каждого вида передаются репродуктивными клетками, дало новую жизнь эволюционной теории Дарвина о естественном отборе. Теория Вейсмана имела и важный социальный аспект: она показала, что моральные качества не передаются по наследству, а приобретаются путем обучения.
Как только Дарвин применил свою теорию к происхождению человека, у него начался конфликт с религиозными кругами. Вероятно, именно по этой причине он затягивал публикацию своей теории. Хотя сам Дарвин не участвовал в диспутах, мнение людей резко разделилось: у него появились сторонники и оппоненты. Говорят, во время дебатов между сторонником Дарвина Томасом Хаксли (устар. Гекели) и Оксфордским епископом Самюэлем Уилберфорсом последний спросил у Гекели, по линии деда или бабки тот ведет свое происхождение от обезьяны. Хаксли парировал, что обезьяну в качестве предка он предпочел бы человеку, который расходует свои способности и влияние на превращение серьезной научной дискуссии в балаган.
Впечатление, которое производит этот знаменитый анекдот, можно уравновесить тем, что ранее писал Уилберфорс в рецензии на книгу Дарвина «Происхождение видов»: он полагал, что научные теории следует оценивать лишь на научной основе и что нельзя отвергать какой-либо вывод только потому, что он кажется вам странным: «Настойчивые размышления Ньютона позволили ему в падении яблока открыть закон, управляющий величественным движением звезд. Если мистер Дарвин сможет так же аргументированно доказать нам наше происхождение от поганок, мы смирим свою гордыню и с характерной для философов скромностью признаем наше неожиданное родство с грибами».
После обсуждения всех известных ему в том далеком 1860 году фактов Уилберфорс заявил, что теория Дарвина, по его мнению, неверна. Но для наших современных спорщиков, у которых эволюция в целом и ее приложение к человеку все еще вызывают сильные эмоции, Уилберфорс оставил послание:
«Мы не симпатизируем тем, кто противится любому, пусть даже подозрительному факту в природе или же любому заключению, логически выведенному из этих фактов, лишь только потому, что, как им кажется, это противоречит учению Библии. Нам представляется, что подобные возражения отдают робостью, которая, в действительности, несовместима с твердой верой».
Основные свойства живого следуют из общности происхождения.
Вспомним, что сущность теории Дарвина состоит в появлении небольших изменений в генетическом материале и, в результате, в организме. В то время механизм этих изменений еще не был известен. Мы уже говорили, что избыточность генетического кода допускает некоторые изменения нуклеотидной последовательности без изменений в кодируемых белковых продуктах. Кроме того, аминокислоты, кодируемые подобными последовательностями, структурно похожи друг на друга. Далее, формирование конечных трехмерных белковых продуктов допускает такие изменения в коде, что созданные белки получаются не идентичными, но похожими и могут выполнять те же функции. Если аминокислота в белке заменена на другую, имеющую похожие химические свойства (тот же заряд или полярность), то в полипептидной цепочке она будет вести себя так же, как исходная, и создавать те же или похожие объемные структуры, которые будут выполнять те же функции. Поскольку именно функция белков является наиболее важным их свойством, которое необходимо сохранить, последовательности могут в некоторой степени изменяться при передаче генов от поколения к поколению, но трехмерная структура и функции генных продуктов (белков) остаются неизменными. На основании неизменных свойств ген, унаследованный от общего предка двумя линиями потомков, может быть признан как родственный (гомологичный) ген этих двух линий, хотя в каждой из них в нем накопился определенный уровень мутаций с момента отхода от общего предка. Так видоизменяются постулаты Дарвина.
Количество мутаций у двух родственных видов напрямую связано со временем, в течение которого они эволюционировали врозь, так что это различие можно использовать для статистических измерений родственных связей между двумя видами. Эти связи удобно изобразить в виде филогенетических деревьев, где ветви представляют родственные связи организмов, а длина ветвей указывает на генетическое расстояние (расхождение) между видами после их разделения. Большинство мутаций либо незначительны, либо вредны, но некоторые действительно способствуют выживанию. Таково современное представление о корневом механизме эволюции.
Все упомянутые выше основные свойства жизни, такие как структура и состав генетического материала, генетический код и 20 аминокислот, используемых во всех белках, а также аппарат трансляции, почти совершенно идентичны у всех видов, живущих сегодня на Земле. Очевидно, эти свойства были приобретены еще на ранних стадиях эволюции и, по-видимому, имелись у последнего общего предка в то время, когда из него выделились три ветви жизни. Связь всех этих форм жизни можно исследовать путем сравнения последовательностей тех РНК (например, 16S РНК), которые участвуют в трансляции — одном из наиболее эволюционно консервативных процессов. На основании последовательности 16S РНК первое филогенетическое дерево построили в 1990 году Карл Вёзе и его коллеги. Это дерево показывает, что сначала две линии прокариотов отделились от популяции последнего общего предка, а затем от них отделились эукариоты (рис. 28.10).

Рис. 28.10. Филогенетическое дерево, основанное на последовательности 16S РНК разных организмов и предполагаемом универсальном общем предке в качестве «ствола».
Заметим, что позже филогенетическое дерево и порядок происхождения трех его ветвей были поставлены под вопрос, так как по другим последовательностям генов были получены другие филогенетические связи между многими организмами. Эти различия можно объяснить тем, что многие гены обменивались между разными видами уже после их разделения по разным филогенетическим линиям, а также тем, что эволюцию разных генов, по-видимому, невозможно сравнивать на больших отрезках времени, поскольку она происходит с разной скоростью.
Кроме упомянутых выше генетических элементов жизни, еще одним вездесущим свойством жизни, берущим свое начало у очень ранних ее форм, является гомохиральностъ «строительных блоков» нуклеиновых кислот и белков. Хиральность — это свойство молекул, имеющих атом (например, углерод) с четырьмя разными связями. Так как эти связи направлены в четыре разных угла тетраэдра, структура молекулы несимметрична, и ее можно построить в двух разных ориентациях, являющихся зеркальными отражениями друг друга. В нашу эпоху связи центрального (а) углерода во всех аминокислотах несимметричны (рис. 28.11), так же как и связи углерода номер 4 в рибозе и дезоксирибозе сахаров (см. рис. 28.4).

Рис. 28.11. Две возможные хиральности аминокислот. R обозначает переменную боковую цепочку.
В искусственно синтезированных аминокислотах и сахарах эти молекулы с углеродными связями, направленными и в ту и в другую сторону, обычно встречаются в равном количестве (поэтому они не гомохиральны). Но все биогенные аминокислоты гомохиральны и имеют ?-углеродные связи в L-конфигурации (L = levo, левый), и все сахара тоже гомохиральны и имеют связи у 4-го углерода в D-конфигурации (D = dextro, правый). Происхождение этой особой гомохиральности до сих пор не получило объяснения. Ясно, что гомохиральность по сути является химическим «диктатором», позволяющим связать мономерные звенья в изящный линейный полимер, тогда как обратная хиральность перегибает структуру, закручивая ее в противоположную сторону. Но непонятно, почему и как жизнь выбрала левые аминокислоты и правые сахара. Пока мы лишь начинаем понимать, почему именно 20 аминокислот используются в белках и почему именно эти четыре разных нуклеотида применяются в ДНК и РНК. Сейчас нам кажется, что это мог быть случайный выбор молекул, которые существовали в древней окружающей среде, и этот «случай» закрепился и стал «правилом». Как бы то ни было, сейчас мы знаем несколько важнейших свойств жизни на Земле. Если мы когда-нибудь найдем жизнь где-то еще, то будет очень интересно узнать, обладает ли она теми же свойствами. Это покажет, имеет ли обнаруженная жизнь то же происхождение, что и наша, или она возникла самостоятельно.
Необходимые для жизни условия.
Хотя жизнь основана на клеточной структуре, генетической информации и ее репликации и эволюции со временем, всего этого еще не достаточно для того, чтобы жизнь могла существовать. Структуры и функции создают жизнеспособную единицу только в той окружающей среде, которая способна ее поддержать. Для всех своих процессов жизнь нуждается в энергии. Практически единственный исходный источник энергии для жизни на Земле — это Солнце. Его энергию используют даже животные, питающиеся растениями, которым для роста нужен солнечный свет. Впрочем, некоторые бактерии и археи живут за счет энергии, добываемой химическим путем из минералов, но эти источники энергии очень ограничены и не могут поддерживать существование биосферы значительного объема. Жизнь также нуждается в питательных веществах — строительном материале для поддержания и воспроизведения своей структуры. Это органические соединения, а также и минеральные, существующие в окружающей среде и циркулирующие между органическими и неорганическими соединениями. А еще жизни нужен растворитель чтобы растворять и переносить все эти химикаты. Здесь на Земле растворителем служит вода, которая к тому же является важным компонентом живых организмов.
Без сомнения, вода — самый подходящий растворитель для всех биохимических реакций. Молекула воды состоит из одного атома кислорода и двух атомов водорода, связанных между собой ковалентными связями; это означает, что общая электронная пара движется вокруг атома кислорода и каждого из атомов водорода (рис. 28.12).
Атом кислорода притягивает электроны сильнее, чем водород, поэтому они располагаются ближе к кислороду. Это приводит к тому, что кислородный конец молекулы имеет небольшой отрицательный заряд, а водородный конец — положительный: молекула воды является электрическим диполем (полярной молекулой). Эта особенность сильно влияет на химические свойства воды. Электрическая полярность молекул воды вызывает слабое электростатическое взаимодействие — водородную связь — между соседними молекулами (см. рис. 28.12); это заставляет воду вести себя как объединенную слабосвязанную сеть. Водородные связи вынуждают молекулы притягивать друг друга, превращая жидкость в немного «липкую», вязкую. Из-за этой «липкости» нужна довольно высокая температура и много тепловой энергии, чтобы испарить воду, перевести ее в газовую форму. Поэтому вода сохраняет жидкое состояние в широком диапазоне температуры. Эта «липкость» препятствует также повышению температуры воды (усилению теплового движения молекул), потому для этого требуется много тепловой энергии. С другой стороны, так же много энергии высвобождается при остывании воды; это делает воду очень хорошим термостатом — и в окружающей среде, и внутри клетки.

Рис. 28.12. Молекулы воды в жидком состоянии (слева) и в составе льда (справа). Водородные связи показаны линиями.
Вода охотно взаимодействует с другими заряженными молекулами; это делает ее очень хорошим растворителем всех ионных соединений из положительно или отрицательно заряженных атомов. Вода растворяет и полярные соединения, когда положительный и отрицательный заряды находятся в одной молекуле, но раздельно (как у воды). С другой стороны, вода не может растворять неполярные молекулы, такие как длинные незаряженные углеводородные цепочки.
Это свойство очень важно для биологии, поскольку оно означает, что эти молекулы «гидрофобны», то есть в водном растворе они стремятся объединиться друг с другом, а не с молекулами воды.
Очень важным типом молекул являются липиды (жиры), К одному концу такой молекулы прикреплена полярная или заряженная группа, делающая этот конец гидрофильным, то есть растворяющимся в воде. А к другому концу прикреплена неполярная группа (например, углеводородная цепочка), превращающая этот конец в гидрофобный. Такие молекулы с двойными свойствами амфифильны: они собираются в водном растворе и образуют двухслойные мембраны (рис. 28.13). Гидрофильные и гидрофобные взаимодействия сильно влияют на образование трехмерной структуры и всех других молекул, включая белки, и помогают им принять правильную функциональную форму.
Из-за притяжения водородных связей и под действием поверхностного натяжения и испарения вода в окружающей среде ведет себя очень хорошо. Благодаря капиллярному эффекту она может двигаться против притяжения, например в сосудистой системе растений, по которой она поднимается до кроны высоких деревьев. Вода движется и по капиллярным каналам почвы, самостоятельно поднимаясь с уровня грунтовых вод к корневой системе растений. Водородные связи влияют и на плотность воды при разной температуре совершенно особым образом. При понижении температуры водородные связи становятся сильнее и короче, так что при температуре +4 °C молекулы воды располагаются наиболее близко друг к другу; при этой температуре вода наиболее плотная. При дальнейшем снижении температуры молекулярная конфигурация начинает меняться в сторону более слабых шестиугольных водородных связей, типичных для кристаллов льда (рис. 28.12), поэтому объем воды начинает увеличиваться. Лед низкой плотности образуется на поверхности воды при температуре 0 °C, а более плотная вода с температурой +4 °C остается на дне водоема. Таким образом, если водоем достаточно глубокий или мороз не слишком сильный, вода с температурой +4 °C может оставаться в жидкой форме под ледяной корой даже в холодный период, что позволяет выжить в глубокой воде и не замерзнуть подо льдом. Это очень важное и очень редкое свойство. Например, аммиак, который, возможно, мог бы быть подходящим альтернативным растворителем для жизни, в твердой форме тяжелее, чем в жидкой.

Рис. 28.13. Липиды, (а) Различные типы липидов: многие липиды состоят из двух гидрофобных углеводородных цепочек и одной полярной боковой группы (ROCH3), связанных с глицериновой основой. Липиды с эфирными связями существуют в мембранах архей, а липиды со сложно-эфирными связями между глицериновыми основами и боковыми цепочками аминокислот существуют в бактериях и эукариотах, (б) Разное строение мембран: амфифильные молекулы, собранные в двухслойную, монослойную и мицеллярную формы.
Это означает, что пруд из аммиака промерзал бы до дна и мог бы все время оставаться замерзшим. Из-за отсутствия водородных связей аммиак существует в жидком состоянии только в очень узком диапазоне температур и при гораздо более низких температурах, чем вода (между -78 °C и -33 °C на уровне моря). При этих температурах все биохимические реакции протекали бы очень медленно. Кроме того, аммиак легко разрушается ультрафиолетовым светом, и его легкий компонент — водород легко улетает в космос. Солнечные ультрафиолетовые лучи разрушают и воду, но эта реакция протекает медленнее и дает кислород (O2) и озон (O3), который блокирует ультрафиолетовое излучение и предотвращает дальнейшее разрушение воды. Поэтому вода существует в большом количестве в атмосферах планет, похожих на Землю, а аммиак — нет.
Основные законы жизни.
Итак, мы узнали, что общим свойством жизни в первую очередь является клеточное строение. Клетка — это ограниченная и выделенная из своего окружения структура, основанная на генетической информации, которая позволяет поддерживать специфический химический состав и сложные структуры и функции внутри клетки. Все клеточные структуры и молекулы сложены из весьма ограниченного ряда химических элементов: в основном это углерод, водород, кислород, азот и фосфор, а также немного серы, кальция, калия и некоторых других элементов. Мы также знаем, что вся жизнь, известная нам здесь, на Земле, структурно и функционально однотипна, то есть основана на одном и том же генетическом материале, едином генетическом коде и механизме его экспрессии, а также на очень схожих основных метаболических реакциях. Однообразие всех форм жизни указывает, что все они происходят от единственной исходной формы жизни — последнего общего предка. Это однообразие всех форм жизни здесь на Земле и создает проблемы при ее описании. Из этого единственного примера жизни мы не можем судить, могла ли она быть другой или же насколько иной она может быть в другом мире. Но мы можем сделать некоторые обоснованные предположения.
Кажется, что любой сложный биохимический процесс должен иметь в своей основе соединения углерода, использовать в качестве растворителя воду, а также свет ближайшей звезды как долговременный источник энергии. Разумно предположить, что принципы воспроизводства и естественного отбора (эволюции) должны быть подходящей движущей силой для поддержания жизни в любом месте. Эти процессы управляются случайными изменениями генетической информации и действием отбора со стороны окружающей среды, которая может сильно отличаться от нашей. Следовательно, результат эволюции другой биосферы в другое время и в другом месте, скорее всего, будет совершенно иным, чем у нас. Формы и функции и даже клеточные структуры и биохимия любой самостоятельной инопланетной жизни могут сильно отличатся от сегодняшней жизни на Земле.
Впрочем, другая жизнь могла бы обладать некоторыми похожими свойствами, которые есть и у нас, если они универсальны. Например, эти инопланетные формы жизни могли бы иметь некоторые средства для сбора световой энергии и преобразования ее в химическую форму. Для этого, скорее всего, будут использоваться сильно поглощающие свет пигменты. Весьма вероятно, что эти существа будут иметь средства для ощущения окружающей среды и передачи сигналов друг другу посредством света, химическим путем или звуками. Возможно, у этих существ выработаются способы передвижения. Подвижность, высокая сложность и средства коммуникации могли позволить создать орудия труда и развить умственные способности. Впрочем, последнее маловероятно, учитывая, что на Земле жизнь в течение почти всей своей истории оставалась очень простой — прокариоты и одноклеточные. Сложная многоклеточная жизнь возникла лишь недавно, так что она может быть очень редка во Вселенной.
Еще глубже в мир биохимии/
После открытия состава и системы кодирования генетического материала наше понимание жизни сильно расширилось. С 1970-х годов новые мощные методы и приборы для клеточной и молекулярной биологии произвели революцию в исследовании ДНК, функций генов, структур белков, а также регулирования и координации различных биохимических реакций в клетке. Примеры последних достижений в молекулярной и клеточной биологии приведены во врезке 28.2.
За последние пять десятилетий эти новые методы и исследования показали нам сложность клетки и молекулярной биологии. Молекулярные взаимодействия и разные регуляторные реакции и саморегулируемые циклы внутри клетки оказались многослойными и хорошо настроенными для реакции на различные внешние и внутренние сигналы. Сложность этих межклеточных молекулярных сетей сейчас может быть проанализирована с помощью компьютерных вычислений, и таким образом мы постепенно начинаем понимать биохимический мир, заключенный в наших клетках, то есть — молекулярные основы жизни.
Врезка 28.2. Современное состояние генетики и молекулярной биологии.
Один из очень эффективных методов молекулярной биологии — использование ферментов эндонуклеаз рестрикции, выделенных из бактерий и архей. Эти ферменты позволяют аккуратно разрезать ДНК на специфические кусочки. Техника клонирования позволила лигировать (вставлять) любой фрагмент ДНК в разные векторы для клонирования (плазмиды или вирусы), способные независимо амплифицироваться (копироваться) в другом хозяине, например бактерии или культивированной клетке животного. Полимеразная цепная реакция (ПЦР), которую в 1983 году придумал Кэри Бэнкс Маллис, очень эффективно амплифицирует последовательности ДНК, используя заранее синтезированные одноцепочечные комплементарные ей фрагменты, прилепляющиеся к специфическим местам исходной ДНК при быстрых колебаниях температуры.
Амплифицированные молекулы ДНК могут быть легко выделены и проанализированы для определения их нуклеотидной последовательности. Изолированные последовательности можно также подвергнуть экспрессии как in vitro, для получения белков с целью структурного или функционального исследования, так и в живой клетке, in vivo, для исследования реальных функций белка, его местонахождения или взаимодействия внутри клетки. Наши возможности перенести ген в интересующие нас организмы, такие как бактерии или растения, позволяют направленно модифицировать эти организмы для улучшения их генетических свойств, Этот генноинженерный подход уже используется во многих областях биотехнологии и, видимо, получит в будущем еще более широкое развитие.
Эффективные методы измерения уровней экспрессии генов (например, при использовании проб гомологичных нуклеиновых кислот) позволяют исследовать экспрессию интересующих нас генов при различных состояниях клетки и выяснить, как разные гены регулируют развитие и дифференциацию многоклеточных растений и животных. С помощью автоматизированных методов установления последовательности ДНК можно определить огромное количество геномных последовательностей. Уже сейчас определены сложные геномные последовательности многих прокариотических и эукариотических организмов.
Было обнаружено (см. таблицу ниже), что размеры геномов варьируют в очень широком диапазоне.
Таблица. Размеры геномов и их кодирующие части у организмов разного типа.

У самой маленькой самостоятельно размножающейся бактерии (Mycoplasma genitalium) геном состоит из 580 000 нуклеотидов и содержит около 470 генов. В геноме маленького животного, например нематоды Caenorhabditis elegans, около 100 x 106 нуклеотидов и около 20 000 генов. У человека 3400 x 106 нуклеотидов и 32 000 генов; у полиплоидных растений, например пшеницы, 17 000 x 106 нуклеотидов и 60 000 генов; а у амебы более 670 000 x 106 нуклеотидов, что является самым большим геномом среди всех известных форм жизни. Генетические последовательности продемонстрировали большие вариации в размерах и сложности геномов, а также позволили судить о схожести геномов родственных видов. Оказалось, что разница между человеком и шимпанзе составляет 1 % в последовательности ДНК.
Создание банков данных о последовательностях очень большого количества генов позволяет проводить систематические исследования экспрессионных профилей разных РНК или продуктов генов внутри клетки. Это же дает возможность изучать их молекулярные взаимодействия и регуляторные отношения. В системной биологии эти цели достигаются автоматизированным и компьютерным способом. Миниатюрные молекулярные датчики (микрочипы с большим набором разнообразных ДНК) используются для одновременного тестирования многих тысяч клеточных видов РНК. Этим методом в реальном времени можно анализировать изменения экспрессии РНК при разных внешних условиях (таких, например, как стресс или фактор роста) для выяснения влияния этих факторов на экспрессию гена. Подобным же образом можно провести анализ общих профилей клеточного белка или метаболита в разных условиях, чтобы посмотреть, как клетки реагируют на эти условия.
Более 800 000 книг и аудиокниг! 📚
Получи 2 месяца Литрес Подписки в подарок и наслаждайся неограниченным чтением
ПОЛУЧИТЬ ПОДАРОК