50. УСЛОВНО-РАЗДЕЛИТЕЛЬНОЕ УМОЗАКЛЮЧЕНИЕ
Умозаключение, в котором одна посылка условное, а другая – разделительное суждения, называется условно-разделительным, или лемматическим (от лат. – предположение).
Разделительное суждение может содержать две, три и большее число альтернатив, поэтому леммати-ческие умозаключения делятся на дилеммы (две альтернативы), трилеммы (три альтернативы) и т. д.
В простой конструктивной дилемме условная посылка содержит два основания, из которых вытекает одно и то же следствие. Разделительная посылка утверждает оба возможных основания, заключение утверждает следствие. Рассуждение направлено от утверждения истинности оснований к утверждению истинности следствия:

Если обвиняемый виновен в заведомо незаконном задержании (р), то он подлежит уголовной ответственности за преступление против правосудия (r); если он виновен в заведомо незаконном заключении под стражу (q), то он также подлежит уголовной ответственности за преступление против правосудия (r). Обвиняемый виновен или в заведомо незаконном задержании (р), или в заведомо незаконном заключении под стражу (q).
Обвиняемый подлежит уголовной ответственности за преступление против правосудия (r).
В сложной конструктивной дилемме условная посылка содержит два основания и два следствия.
Разделительная посылка утверждает оба возможных следствия. Рассуждение направлено от утверждения истинности оснований к утверждению истинности следствий:

Сертификат может быть предъявительским (р) или именным (r).
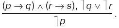
В простой деструктивной дилемме условная посылка содержит одно основание, из которого вытекает два возможных следствия. Разделительная посылка отрицает оба следствия, заключение отрицает основание. Рассуждение направлено от отрицания истинности следствий к отрицанию истинности основания.

Если Н. совершил умышленное преступление (р), значит, в его действиях был прямой (q) или косвенный умысел (r).
Но в действиях Н. не было ни прямого (q), ни косвенного умысла (r).
Преступление, совершенное Н., не является умышленным (р).
В сложной деструктивной дилемме условная посылка содержит два основания и два следствия. Разделительная посылка отрицает оба следствия, заключение отрицает оба основания. Рассуждение направлено от отрицания истинности следствий к отрицанию истинности оснований:
Более 800 000 книг и аудиокниг! 📚
Получи 2 месяца Литрес Подписки в подарок и наслаждайся неограниченным чтением
ПОЛУЧИТЬ ПОДАРОК