§ 15. Определение высот серебристых облаков

Определить высоты серебристых облаков можно из одновременных (корреспондирующих) фотографий, полученных с двух концов базиса, длина и ориентировка которого известны. Существует несколько способов определения высот серебристых облаков. Мы здесь изложим сравнительно простой способ, предложенный М. А. Дирикисом и Ю. Л. Францманом.

Введем прямоугольную геоцентрическую систему координат с началом в центре Земли. Ось X направим к точке пересечения экватора с начальным (гринвичским) меридианом, ось Y — к точке экватора с восточной долготой 90°, ось Z — к северному полюсу Земли.

Далее введем две топоцентрическне системы координат с началом в каждом из двух пунктов наблюдений. Оси расположим параллельно осям основной геоцентрической системы.

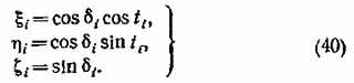
Определенные путем измерения на фотографиях горизонтальные координаты точки облака h, А переводим в экваториальные координаты t, δ по известным формулам

В формулах (38) φ — широта пункта наблюдения, δ — склонение, t — часовой угол данной точки облака. Далее для сокращения записи там, где формулы одинаковы для обоих пунктов, мы будем писать индекс i (= 1, 2). Топоцентрические координаты точки С облака будут равны

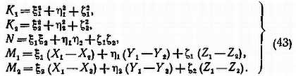
где ri — расстояния до точки С от обоих наблюдательных пунктов по прямой (по лучу зрения). Введем обозначения (для краткости)

Тогда получим следующую систему из шести уравнений пятью неизвестными — геоцентрическими координатами точки С (Хс, Yc, Zc) и расстояниями r1, r2:

Эту систему можно решить методом наименьших квадратов, изложенным в Постоянной части «Астрономического календаря» (7-е изд. — М.: Наука, 1981, с. 521–532). Для тех, кто не знаком с этим методом, можно рекомендовать следующий порядок вычислений.

Отвлечемся на время от левых равенств в системе (41) и от величин Хс, Yc, Zc. Тогда у нас останутся три условных уравнения с двумя неизвестными r1, r2. Их решение по методу наименьших квадратов дает

где введены обозначения

Подставляя r1, r2 в уравнения (41), получим значения Хс, Yc, Zc. Из двух значений каждой из этих величин (по i = 1 и i = 2) берем среднее. Затем находим радиус-вектор точки С относительно центра Земли рс,

pc = √(Х2с + Y2c + Z2c), (44)

и наконец, высоту точки С серебристого облака

HpcR, (45)

где R — радиус Земли на широте проекции серебристого облака, которую можно найти по формуле

φ' = arcsin (Zc/pc); (46)

аналогично долгота проекции точки С равна

λ = arctg (Yx/Xc). (47)

Значения R для данной широты φ приведены в Приложении 4. Там же даны поправки для перевода геоцентрической широты φ' (получаемой из формулы (46)) в географическую широту φ. В среднем для зоны появлений серебристых облаков φ — φ' = 10'.

Таким образом, определение высот серебристых облаков методом Дирикиса-Францмана — операция несложная, но требует выполнения многих измерений и вычислений. Лучше всего эти расчеты производить на ЭВМ. Те кружки или группы наблюдателей серебристых облаков, которые имеют такую возможность (используя ЭВМ астрономических или иных научных учреждений, шефствующих предприятий и т. д.), должны составить программу и заложить в нее результаты измерений по всем фотографиям, полученным с двух пунктов. Формулы элементарны, и поэтому любая ЭВМ выдаст результаты за очень короткий срок.

Тем, кто не имеет такой возможности, придется считать на микрокалькуляторах или с помощью таблиц, что тоже не представляет принципиальных трудностей. Придется, правда, потрудиться, но зато наблюдатели и вычислители будут вознаграждены интересными и ценными результатами, которые они получат.

Более 800 000 книг и аудиокниг! 📚

Получи 2 месяца Литрес Подписки в подарок и наслаждайся неограниченным чтением

ПОЛУЧИТЬ ПОДАРОК