ПРИЕМ
ЗАОЧНАЯ ИНЖЕНЕРНАЯ ФИЗИКО-МАТЕМАТИЧЕСКАЯ ШКОЛА (ЗИФМШ)
объявляет прием учащихся в 9, 10 и 11-й классы на 2001/2002 учебный год
Главная цель школы — помочь обучающимся глубже постичь математику и физику, развить инженерный склад мышления и лучше подготовиться к поступлению в высшие учебные заведения. Выпускники школы имеют льготы при поступлении в Петербургский государственный университет путей сообщения.
Прием в ЗИФМШ проводится по результатам решения вступительного задания, публикуемого ниже. Рядом с номером задачи указывается, для какого класса она предназначена. Например, 4 (9, 10) означает, что задача 4 входит в конкурсное задание дня 9-го и 10-го классов. Задание для каждого класса состоит из шести задач. Решение вступительного задания необходимо прислать по адресу: 190031, Санкт-Петербург, Московский проспект, 9, ПГУПС, ЗИФМШ, на конкурс. В письмо вложите анкету, заполненную печатными буквами по следующему образцу:
Фамилия, имя, отчество: Сидоров Иван Петрович
Класс (указывается по состоянию на 1 сентября 2001 г.): десятый
Подробный домашний адрес: 524806, г. Тверь, ул. Садовая, д. 55, кв. 77
Номер и адрес школы: школа № 5, г. Тверь, ул. Зеленая, д. 7
Зачисленным в ЗИФМШ в течение гола высылаются учебные пособия и контрольные задания; решенные задания оцениваются и рецензируются. Успешно закончившие в ЗИФМШ получают удостоверение.
ЗАДАНИЕ НА КОНКУРС
1. (9)
является целым числом. Найдите это число.
2. (9) К чашкам весов подвешены две гири — фарфоровая и железная — равного веса. Нарушится ли равновесие весов, если гири опустить в сосуд с водой? Ответ обосновать.
3. (9, 10) Из круга вырезали концентрический с ним круг, площадь которого составляет 81 % от площади исходного круга. Какой процент от радиуса первоначального круга составляет толщина кольца?
4. (9, 10) Лампы и амперметр включены так, как показано на рисунке.
Во сколько раз отлетаются показания амперметра при разомкнутом ключе К от показаний при замкнутом ключе. Сопротивление ламп одинаково. Напряжение поддерживается постоянным.
5. (9, 10, 11) Ведро, в котором находится смесь воды со льдом массой 10 кг, внесли в комнату и сразу же начали измерять температуру смеси. Получившийся график зависимости температуры t° от времени ? изображен на рисунке.
Какова масса льда, находящегося в ведре?
Теплоемкостью ведра пренебречь. Удельная теплоемкость воды 4,2 кДж/моль·К, удельная теплота плавления льда 0,33 МДж/кг.
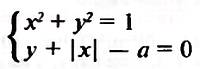
6. (10, 11) Найти все значения а, при которых система имеет ровно 4 решения:
7. (10, 11) Какой угол наклона должна иметь крыша, чтобы вода стекала за минимальное время? Ширина крыши 2Ь.
8. (11) Найти среднеарифметическое наименьшего целого и наибольшего целого решений неравенства: 
9. (11) В сосуде находится 16 г кислорода и 10 г водорода. Во сколько раз изменится давление в сосуде, когда весь кислород соединится с необходимой для реакции частью водорода? Температура в сосуде поддерживается постоянной. Давлением насыщенных водяных паров пренебречь.
10. (9, 10, 11) В выпуклом четырехугольнике ABCD длина отрезка, соединяющего середины сторон АВ и CD, равна одному метру. Прямые ВС и AD перпендикулярны. Найти длину отрезка, соединяющего середины диагоналей АС и BD.
Более 800 000 книг и аудиокниг! 📚
Получи 2 месяца Литрес Подписки в подарок и наслаждайся неограниченным чтением
ПОЛУЧИТЬ ПОДАРОК