4.4. Методы планирования персонала
При планировании потребности в персонале могут использоваться различные методы.
Балансовый метод основывается на взаимной увязке ресурсов, которыми располагает организация, и потребностей в них в рамках планового периода. Если ресурсов по сравнению с потребностями недостаточно, то происходит поиск их дополнительных источников, позволяющих покрыть дефицит. Необходимые ресурсы можно привлекать с внутреннего или внешнего рынка труда. Алгоритм расчета фактической потребности в персонале представлен в табл. 4.1.
Нормативный метод планирования состоит в том, что основой плановых заданий на определенный период становятся нормы затрат различных ресурсов (в нашем случае трудовых) на единицу продукции (в данном случае рабочего времени, расхода фонда заработной платы и проч.).
Таблица 4.1
Последовательность расчета потребности в персонале

К нормам труда относятся нормы выработки, времени, обслуживания, численности. Они устанавливаются для работников в соответствии с достигнутым уровнем развития техники, технологии, организации производства и труда. В условиях коллективных форм организации и оплаты труда могут применяться укрупненные комплексные нормы. По мере проведения аттестации, рационализации рабочих мест, внедрения новой техники, технологии, осуществления организационно-технических мероприятий, обеспечивающих рост производительности труда, нормы подлежат обязательному пересмотру. Нормативный метод планирования используется как самостоятельно, так и одновременно с балансовым.
При использовании нормативного метода исходными данными для определения требуемого количества рабочих являются производственная программа на плановый период времени; нормы времени, нормы выработки; трудоемкость производственной программы; организационно-технические мероприятия по снижению трудоемкости программы; отчетные (расчетные) данные о коэффициенте выполнения норм; баланс рабочего времени одного рабочего (табл. 4.2) и др. Баланс рабочего времени составляется для каждого структурного подразделения отдельно.
Таблица 4.2
Баланс рабочего времени одного среднесписочного рабочего за год

При упрощенных расчетах общая потребность в персонале определяется по нормам выработки:
Чпл = Qпл / Впл, (4.1)
где Чпл – среднесписочная плановая численность рабочих; Qпл – планируемый объем выпуска продукции; Впл – плановая норма выработки на одного рабочего.
Плановая численность (Чпл) рабочих-сдельщиков и рабочих повременщиков, занятых на нормируемых работах, определяется с использованием данных о трудоемкости производственной программы по формуле:
Чпл = [Тпр / Фпл] ? Ксп, (4.2)
где Тпр – трудоемкость производственной программы; Фпл – полезный фонд времени одного рабочего (определяется из баланса рабочего времени); Ксп – коэффициент пересчета явочной численности в списочную (в прерывных производствах определяется отношением номинального времени к явочному, в непрерывных – отношением календарного к явочному).
Расчет численности рабочих, занятых обслуживанием оборудования, его наладкой, ремонтом и другими подсобными работами проводится по нормам обслуживания по формуле:
Чпл = [(О ? С) / Но] ? Ксп, (4.3)
где О – число единиц оборудования; С – количество смен; Но – норма обслуживания (сколько единиц оборудования может обслужить один рабочий).
Пример. На предприятии имеется 1000 ед. оборудования. Норма обслуживания одного слесаря-ремонтника – 100 ед. за смену. Предприятие работает в две смены. Номинальный фонд рабочего времени – 265 дней, реальный – 230 дней. Численность слесарей-ремонтников рассчитывается следующим образом:
Чпл = [(1000 ? 2) / 100] ? (265 / 230) = 23 чел.
Применительно к работам, по которым не устанавливаются их объемы и нормы выработки, численность рабочих может быть определена непосредственно по рабочим местам:
Чпл = n ? С ? Ксп, ((4.4)
где n – число рабочих мест.
Пример. В цехе имеется четыре крана. Каждый из них обслуживается крановщиком и двумя стропальщиками. Цех работает в две смены. Данные по фонду рабочего времени – как в предыдущей задаче. Соответственно, необходимое количество крановщиков составит:
Чпл = 4 ? 2 ? (265 / 230) = 9 чел.;
стропальщиков:
Чпл = 4 ? 2 ? 2 ? (265 / 230) = 18 чел.
Расчет по нормативам численности осуществляется, когда производственный объект или оборудование обслуживаются группой рабочих, и не предопределяется их расстановка внутри объекта. Норматив численности определяется на основе нормы обслуживания или нормы времени обслуживания по формуле:
Нч = (Р / Но) ? Ксп, (4.5)
где Р – объем работы; Но – норма обслуживания (в тех же единицах, что и объем работы).
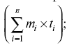
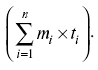
При определении численности административно-управленческого персонала можно использовать формулу Розенкранца. Она служит для проверки соответствия фактической численности необходимой, которая задается загрузкой данного подразделения или предприятия в целом:

где Ч – численность административно-управленческого персонала определенной профессии, специальности, подразделения и т. п.; n – количество видов организационно-управленческих работ, определяющих загрузку данной категории специалистов; mi – среднее количество определенных действий (расчетов, обработки заказов, переговоров и т. п.) в рамках i-гo организационно-управленческого вида работ за установленный промежуток времени (например за год); ti – время, необходимое для выполнения единицы m в рамках i-гo организационно-управленческого вида работ; T – рабочее время специалиста согласно трудовому договору (контракту) за соответствующий промежуток календарного времени, принятый в расчетах; Кнрв – коэффициент необходимого распределения времени; Кфрв – коэффициент фактического распределения времени; tp – время на различные работы, которые невозможно учесть в предварительных (плановых) расчетах.
Коэффициент необходимого распределения времени (Кнрв) рассчитывается следующим образом:
Кнрв = Кдр ? Ко ? Кп, (4.7)
где Кдр – коэффициент, учитывающий затраты на дополнительные работы, заранее неучтенные во времени, необходимом для определенного процесса

как правило, в пределах 1,2 ? Кдр ? 1,4; Ко – коэффициент, учитывающий затраты времени на отдых сотрудников в течение рабочего дня, как правило, устанавливается на уровне 1,12; Кп – коэффициент пересчета явочной численности в списочную.
Коэффициент фактического распределения времени (Кфрв) определяется отношением общего фонда рабочего времени какого-либо подразделения ко времени, рассчитанному как

Опыт
Пример планирования
Для определения численности персонала руководство автомобильного холдинга Major использует несколько способов. Когда открывается новый дилерский центр, формируется его штат на основе опыта иностранных автомобильных компаний. Объем обязательных работ, приходящийся на один центр в первые месяцы его развития, примерно одинаков, поэтому для каждого из них предусмотрено около 40 стандартных должностных позиций. Они распределяются по типовым подразделениям: дирекция (директор центра и 2 секретаря), салон продаж автомобилей (руководитель, администратор и 4 продавца-консультанта), отдел продаж запчастей (менеджер и три продавца), сервисная служба (5 главных менеджеров и 12 механиков), склад (руководитель и 2 сотрудника) и проч.
Со временем число клиентов дилерского центра растет (когда и как оно увеличится, в компании приблизительно знают исходя из собственных исследований рынка), поэтому типовой штат нуждается в пополнении. Например, чтобы определить, сколько нужно нанять дополнительных технических сотрудников, в Major используется показатель нормы выработки, который указывает, за какое время один сотрудник должен выполнить определенный объем работы. База нормы выработки составляется исследовательскими подразделениями поставщиков – автомобильных компаний. Например, согласно этим нормам, механик в дилерском центре Nissan должен успеть заменить воздушный фильтр за 0,2 ч, масло двигателя – за 0,4 ч, а передние колодки – за 0,6 ч. Сравнивая эти показатели с прогнозируемым объемом заказов, делается вывод, справится ли с ним штат службы или нужны дополнительные механики.
В компании Major проводится также и функциональный анализ, чтобы выяснить, не появляются ли у сотрудников со временем новые задачи, которые их отвлекают от выполнения основных. Например, резко выросли продажи автомобилей в кредит. Все вопросы, связанные с оформлением документов по таким покупкам, решали продавцы-консультанты. Вскоре выяснилось, что из-за работы с бумагами у них остается меньше времени на то, чтобы выполнять свою основную функцию – общаться с клиентами и продавать машины. Чтобы разгрузить продавцов, во всех дилерских центрах ввели новую должность – кредитного менеджера.
(По материалам журнала «Секрет фирмы»)
К математико-статистическим можно отнести следующие методы планирования потребности в персонале.
Метод экстраполяции – перенесение сегодняшней ситуации (пропорций) в будущее. Привлекательность этого метода состоит в его общедоступности; ограниченность – в невозможности учесть изменения в развитии организации и внешней среды. Поэтому метод подходит для краткосрочного планирования и для организаций со стабильной структурой, действующих в стабильной окружающей среде. Многие организации пользуются методом скорректированной экстраполяции, который учитывает изменения в соотношении факторов, определяющих численность сотрудников – повышение производительности труда, повышение цен и т. д.
Метод регрессионного анализа – установление зависимости между численностью персонала и влияющими на нее факторами. При линейной регрессии (т. е. Y = а + bХ) прогнозы основываются на корреляции между уровнем занятости и таким бизнес-критерием, как объем продаж. Поскольку ни один фактор не может полностью отразить потребность в персонале, такие прогнозы имеют мало шансов оказаться точными, за исключением, быть может, использование его в небольших фирмах, находящихся в очень стабильной окружающей обстановке. Соответственно для расчета состояния спроса в будущем может понадобиться ввод расширенного множества факторов, что приведет к множественному регрессионному анализу (т. е. Y = b0 + b1x1 + b2x2 + b3x3 + b4x4 +…). Коэффициенты b рассчитываются так, чтобы отделить направление и величину воздействия, которое оказывает на спрос на человеческие ресурсы каждая переменная. После этого полученные оценки независимых переменных вводятся в уравнение для расчета потребности в персонале.
Методы линейного программирования позволяют путем решения системы уравнений и неравенств, связывающих ряд переменных показателей, определять их оптимальные величины во взаимном сочетании. Это помогает по заданному критерию выбрать наиболее подходящий вариант функционирования или развития объекта управления, например распределения работников, позволяющего, с одной стороны, наиболее полно обслужить всех клиентов, а с другой стороны, сделать это при минимальных затратах и т. д. Однако возможности применения этого метода в сфере кадрового планирования ограничены.
Метод экспертных оценок основан на использовании мнений специалистов для определения потребностей в персонале. Такими специалистами в организации являются, прежде всего, руководители подразделений. Служба управления персоналом занимается сбором и обработкой оценок. В зависимости от размеров организации и числа линейных руководителей для этого могут использоваться различные методы – групповое обсуждение, письменный обзор (когда каждому руководителю предлагается ответить на подготовленный службой управления персоналом вопросник), метод Дельфи – письменный диалог между службой персонала и группой экспертов. Кадровая служба разрабатывает вопросник относительно потребностей в персонале и направляет его экспертам, затем обрабатывает их ответы и возвращает обобщенные результаты экспертам вместе с вопросами. Эта процедура повторяется до тех пор, пока эксперты не достигнут соглашения в отношении потребностей в рабочей силе.
Преимущество метода экспертных оценок – участие линейных руководителей, знания и опыт которых придают плану дополнительную весомость в глазах высшего руководства. Недостатки метода – трудоемкость процесса сбора и обработки мнений экспертов, а также субъективность их суждений.
В целях оптимизации численности персонала также может использоваться метод бенчмаркинга.[89] Для этого компании используют открытые или коммерческие информационные источники. При этом в качестве «образца для подражания» могут использоваться прямые конкуренты или отдельные подразделения успешно работающих фирм. Однако этот метод дает лишь приблизительные ориентиры. Кроме того, в большинстве случаев прямое копирование не является корректным и приходится использовать ряд дополнительных показателей (издержки на одного сотрудника; соотношение численности персонала и объема выполняемых работ; доля товарооборота или прибыли компании, приходящаяся на одного сотрудника).
Задачи по планированию потребности в персонале
Задача 1. На основе исходных данных рассчитать численность необходимого персонала по нормам обслуживания.

Количество агрегатов – 8.
Режим работы агрегатов – 2 смены.
Количество агрегатов, работающих в 1-ю смену – 8.
Количество агрегатов, работающих во 2-ю смену – 4.
Полезный фонд времени 1 работника за смену – 7 ч.
Время на дополнительное обслуживание агрегата за смену – 1,4 ч.
Коэффициент пересчета явочной численности в списочную – 1,15.
Задача 2. На основе имеющихся данных рассчитать численность производственного персонала для каждого вида работ по трудоемкости.

Задача 3. Планом развития фирмы в прогнозируемом периоде (следующий год) повышение объема производства продукции предусмотрено только за счет роста производительности труда, без увеличения численности.
Из анализа показателей установлено, что 40 % работников, достигающих пенсионного возраста, остаются работать на фирме.
Доля работников, для которых пенсионный возраст наступит в плановом периоде, – 6 % от общей численности персонала.
Доля убыли работников в связи с инвалидностью и смертностью составляет 3 % от общей численности персонала.
Численность уволенных в ряды вооруженных сил ожидается в районе 60 человек, в связи с направлением на учебу – 40 человек.
Доля увольнений в связи с естественной убылью, уходом на учебу, призывом в армию составляет примерно 60 % планируемой убыли.
Коэффициент текучести персонала предполагается снизить в плановом периоде с 14 до 10 %.
Вновь привлекаемый персонал после службы в армии составляет 10 % от численности работников, уволенных в вооруженные силы.
Задание: определить общую численность персонала компании и численность работников, которых необходимо привлечь из внешних источников.
Более 800 000 книг и аудиокниг! 📚
Получи 2 месяца Литрес Подписки в подарок и наслаждайся неограниченным чтением
ПОЛУЧИТЬ ПОДАРОК