3.5. Специальная теория относительности (СТО)
Введение в СТО
С теорией относительности мы знакомимся еще в средней школе. Эта теория объясняет нам явления окружающего мира таким образом, что это противоречит «здравому смыслу». Правда, еще тот же А. Эйнштейн в свое время заметил: «Здравый смысл – это предрассудки, которые складываются в возрасте до восемнадцати лет».
Еще в XVIII в. ученые пытались ответить на вопросы о том, как передается гравитационное взаимодействие и как распространяется свет (позже вообще любые электромагнитные волны). Поиски ответов на эти вопросы и явились причиной разработки теории относительности.
В XIX в. физики были убеждены, что существует так называемый эфир (мировой эфир, светоносный эфир). По представлениям прошлых столетий, это некая всепроникающая всезаполняющая среда. Развитие физики во второй половине XIX в. требовало от ученых максимально конкретизировать представления об эфире. Если предположить, что эфир подобен газу, то в нем могли бы распространяться только продольные волны, а электромагнитные волны – поперечные. Непонятно, как в таком эфире могли бы двигаться небесные тела. Имелись и другие серьезные возражения против эфира. В то же время шотландский физик Джеймс Максвелл (1831–1879) создал теорию электромагнитного поля, из которой, в частности, следовала величина конечной скорости распространения этого поля в пространстве – 300 000 км/с. Немецкий физик Генрих Герц (1857–1894) доказал опытным путем идентичность света, тепловых лучей и электромагнитного «волнового движения». Он определил, что электромагнитная сила действует со скоростью 300 000 км/с. Больше того, Герц установил, что «электрические силы могут отделяться от весомых тел и существовать далее самостоятельно как состояние или изменение пространства». Однако ситуация с эфиром ставила много вопросов, и для отмены этого понятия требовался прямой эксперимент. Идею его сформулировал еще Максвелл, предложивший использовать в качестве движущегося тела Землю, которая перемещается по орбите со скоростью 30 км/с. Такой опыт требовал крайне высокой точности измерений. Эту труднейшую задачу в 1881 г. решили американские физики А. Майкельсон и Э. Морли. Согласно гипотезе «неподвижного эфира», можно наблюдать «эфирный ветер» при движении Земли сквозь «эфир», а скорость света по отношению к Земле должна зависеть от направления светового луча относительно направления движения Земли в эфире (то есть свет направляется по движению Земли и против). Скорости при наличии эфира должны были быть различными. Но они оказались неизменными. Это показывало, что эфира нет. Этот отрицательный результат стал подтверждением теории относительности. Опыт Майкельсона и Морли по определению скорости света неоднократно повторялся позднее, в 1885–1887 гг., с тем же результатом.
В 1904 г. на научном конгрессе французский математик Анри Пуанкаре (1854–1912) высказал мнение, что в природе не может быть скоростей, больших скорости света. Тогда же А. Пуанкаре сформулировал принцип относительности как всеобщий закон природы. В 1905 г. он писал: «Невозможность доказать путем опытов абсолютное движение Земли является, очевидно, общим законом природы». Здесь же он указывает на преобразования Лоренца и на общую связь пространственных и временных координат.
Альберт Эйнштейн (1879–1955), создавая специальную теорию относительности, о результатах Пуанкаре еще не знал. Позже Эйнштейн напишет: «Я совершенно не понимаю, почему меня превозносят как создателя теории относительности. Не будь меня, через год это бы сделал Пуанкаре, через два года сделал бы Минковский, в конце концов, более половины в этом деле принадлежит Лоренцу. Мои заслуги преувеличены». Однако Лоренц со своей стороны в 1912 г. писал: «Заслуга Эйнштейна состоит в том, что он первым выразил принцип относительности в виде всеобщего, строгого закона».
Два постулата Эйнштейна в СТО
Для описания физических явлений Галилей ввел понятие инерциальной системы. В такой системе тело, на которое не действует какая-либо сила, находится в покое или в состоянии равномерного прямолинейного движения. Законы, описывающие механическое движение, в различных инерциальных системах одинаково справедливы, то есть не изменяются при переходе от одной системы координат к другой. Например, если пассажир идет в движущемся вагоне поезда в направлении его движения со скоростью v1 = 4 км/ч, а поезд движется со скоростью v2 = 46 км/ч, то скорость пассажира относительно железнодорожного полотна будет v? = v1 + v2 = 50 км/ч, то есть здесь имеется сложение скоростей. По «здравому смыслу» это незыблемый факт:
v? = v1 + v2
Однако в мире больших скоростей, соизмеримых со скоростью света, указанная формула сложения скоростей просто неверна. В природе свет распространяется со скоростью с = 300 000 км/с независимо от того, в какую сторону по отношению к наблюдателю движется источник света.
В 1905 г. в немецком научном журнале «Анналы физики» 26-летний Альберт Эйнштейн опубликовал статью «Об электродинамике движущихся тел». В этой статье он сформулировал два знаменитых постулата, которые легли в основание частной, или специальной, теории относительности (СТО), изменившей классические представления о пространстве и времени.
В первом постулате Эйнштейн развил классический принцип относительности Галилея. Он показал, что этот принцип является всеобщим, в том числе и для электродинамики (а не только для механических систем). Это положение не было однозначным, так как потребовалось отказаться от ньютоновского дальнодействия.
Обобщенный принцип относительности Эйнштейна утверждает, что никакими физическими опытами (механическими и электромагнитными) внутри данной системы отсчета нельзя установить, движется эта система равномерно или покоится. При этом пространство и время являются связанными друг с другом, зависящими друг от друга (у Галилея и Ньютона пространство и время независимы друг от друга).
Второй постулат специальной теории относительности Эйнштейн предложил после анализа электродинамики Максвелла – это принцип постоянства скорости света в вакууме, которая примерно равна 300 000 км/с.
Скорость света – это самая большая скорость в нашей Вселенной. Больше скорости 300 000 км/с в окружающем нас мире быть не может.
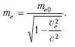
В современных ускорителях микрочастицы разгоняются до огромных скоростей. Например, электрон разгоняется до скорости vе = 0,9999999 С, где vе, С – скорости электрона и света соответственно. При этом, с точки зрения наблюдателя, масса электрона возрастает в 2500 раз:

Здесь me0 – масса покоя электрона, me – масса электрона на скорости ve.
Достичь скорости света электрон не может Однако существуют микрочастицы, которые имеют скорость света, их называют «люксоны».
К ним относятся фотоны и нейтрино. У них практически нет массы покоя, их нельзя затормозить, они всегда движутся со скоростью света с. Все остальные микрочастицы (тардионы) движутся со скоростями меньше скорости света. Микрочастицы, у которых скорость движения могла бы быть больше скорости света, называют тахионами. Таких частиц в нашем реальном мире нет.
Исключительно важным результатом теории относительности является выявление связи между энергией и массой тела. При малых скоростях

где E = m0c2– энергия покоя частицы с массой покоя m0,а EK – кинетическая энергия движущейся частицы.
Огромным достижением теории относительности является установленный ею факт эквивалентности массы и энергии (E = m0c2). Однако речь идет не о превращении массы в энергию и наоборот, а о том, что превращение энергии из одного вида в другой соответствует переходу массы из одной формы в другую. Энергию нельзя заменить массой, так как энергия характеризует способность тела выполнять работу, а масса – меру инерции.
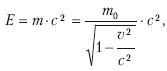
При скоростях релятивистских, близких к скорости света:

где E – энергия, m – масса частицы, m – масса покоя частицы, с – скорость света в вакууме.
Из приведенной формулы видно, что для достижения скорости света частице нужно сообщить бесконечно большую энергию. Для фотонов и нейтрино эта формула несправедлива, так как у них v = c.
Релятивистские эффекты
Под релятивистскими эффектами в теории относительности понимают изменения пространственно-временных характеристик тел при скоростях, соизмеримых со скоростью света.
В качестве примера обычно рассматривается космический корабль типа фотонной ракеты, который летит в космосе со скоростью, соизмеримой со скоростью света. При этом неподвижный наблюдатель может заметить три релятивистских эффекта:
1. Увеличение массы по сравнению с массой покоя. С ростом скорости растет и масса. Если бы тело могло двигаться со скоростью света, то его масса возросла бы до бесконечности, что невозможно. Эйнштейн доказал, что масса тела есть мера содержащейся в ней энергии (E= mc2). Сообщить телу бесконечную энергию невозможно.
2. Сокращение линейных размеров тела в направлении его движения. Чем больше будет скорость космического корабля, пролетающего мимо неподвижного наблюдателя, и чем ближе она будет к скорости света, тем меньше будут размеры этого корабля для неподвижного наблюдателя. При достижении кораблем скорости света его наблюдаемая длина будет равна нулю, чего быть не может. На самом же корабле космонавты этих изменений не будут наблюдать. 3. Замедление времени. В космическом корабле, движущемся со скоростью, близкой к скорости света, время течет медленнее, чем у неподвижного наблюдателя.
Эффект замедления времени сказался бы не только на часах внутри корабля, но и на всех процессах, протекающих на нем, а также на биологических ритмах космонавтов. Однако фотонную ракету нельзя рассматривать как инерциальную систему, ибо она во время разгона и торможения движется с ускорением (а не равномерно и прямолинейно).
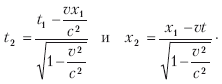
В теории относительности предложены принципиально новые оценки пространственно-временных отношений между физическими объектами. В классической физике при переходе от одной инерциальной системы (№ 1) к другой (№ 2) время остается тем же – t2 = tL а пространственная координата изменяется по уравнению x2 = x1– vt. В теории относительности применяются так называемые преобразования Лоренца:

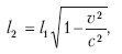
Из отношений видно, что пространственные и временные координаты зависят друг от друга. Что касается сокращения длины в направлении движения, то

а ход времени замедляется:

В 1971 г. в США был поставлен эксперимент по определению замедления времени. Изготовили двое совершенно одинаковых точных часов. Одни часы оставались на земле, а другие помещались в самолет, который летал вокруг Земли. Самолет, летящий по круговой траектории вокруг Земли, движется с некоторых ускорением, и значит, часы на борту самолета находятся в другой ситуации по сравнению с часами, покоящимися на земле. В соответствии с законами теории относительности часы-путешественники должны были отстать от покоящихся на 184 нс, а на самом деле отставание составило 203 нс. Были и другие эксперименты, в которых проверялся эффект замедления времени, и все они подтвердили факт замедления. Таким образом, разное течение времени в системах координат, движущихся относительно друг друга равномерно и прямолинейно, является непреложным экспериментально установленным фактом.
Общая теория относительности
После опубликования специальной теории относительности в 1905 г. А. Эйнштейн обратился к современному представлению тяготения. В 1916 г. он опубликовал общую теорию относительности (ОТО), которая с современных позиций объясняет теорию тяготения. Она основывается на двух постулатах специальной теории относительности и формулирует третий постулат – принцип эквивалентности инертной и гравитационной масс. Важнейшим выводом ОТО является положение об изменении геометрических (пространственных) и временных характеристик в гравитационных полях (а не только при движении с большими скоростями). Этот вывод связывает ОТО с геометрией, то есть в ОТО наблюдается геометризация тяготения. Классическая геометрия Евклида для этого не годилась. Новая геометрия появилась еще в XIX в. в трудах русского математика Н. И. Лобачевского, немецкого – Б. Римана, венгерского – Я. Больяйя.
Геометрия нашего пространства оказалась неевклидовой.
ОТО[3] – физическая теория, в основе которой лежит ряд экспериментальных фактов. Рассмотрим некоторые из них. Гравитационное поле влияет на движение не только массивных тел, но и света. Луч света отклоняется в поле Солнца. Измерения, проведенные в 1922 г. английским астрономом А. Эддингтоном во время солнечного затмения, подтвердили это предсказание Эйнштейна.
В ОТО орбиты планет незамкнуты. Небольшой эффект такого рода можно описывать как вращение перигелия эллиптической орбиты. Перигелий – это ближайшая к Солнцу точка орбиты небесного тела, которое движется вокруг Солнца по эллипсу, параболе или гиперболе. Астрономам известно, что перигелий орбиты Меркурия поворачивается за столетие примерно на 6000». Это объясняется гравитационными возмущениями со стороны других планет. При этом оставался неустранимый остаток около 40» за столетие. В 1915 г. Эйнштейн объяснил это расхождение в рамках ОТО.
Существуют объекты, в которых эффекты ОТО играют определяющую роль. К ним относятся «черные дыры». «Черная дыра» возникает тогда, когда звезда сжимается настолько сильно, что существующее гравитационное поле не выпускает во внешнее пространство даже свет. Поэтому из такой звезды не исходит никакой информации. Многочисленные астрономические наблюдения указывают на реальное существование таких объектов. ОТО дает четкое объяснение этому факту.
В 1918 г. Эйнштейн предсказал на основе ОТО существование гравитационных волн: массивные тела, двигаясь с ускорением, излучают гравитационные волны. Гравитационные волны должны распространяться с той же скоростью, что электромагнитные, то есть со скоростью света. По аналогии с квантами электромагнитного поля принято говорить о гравитонах как о квантах гравитационного поля. В настоящее время формируется новая область науки – гравитационно-волновая астрономия. Есть надежда, что гравитационные эксперименты дадут новые результаты.
На основании уравнений теории относительности отечественный математик-физик А. Фридман в 1922 г. нашел новое космологическое решение уравнений ОТО Это решение указывает на то, что наша Вселенная не стационарна, она непрерывно расширяется. Фридман нашел два варианта решения уравнений Эйнштейна, то есть два варианта возможного развития Вселенной. В зависимости от плотности материи Вселенная или будет и далее расширяться, или через какое-то время начнет сжиматься.
В 1929 г. американский астроном Э. Хаббл экспериментально установил закон, который определяет скорость разлета галактик в зависимости от расстояния до нашей галактики. Чем дальше разбегающаяся галактика, тем больше скорость ее разбегания. Хаббл использовал эффект Доплера, в соответствии с которым у источника света, удаляющегося от наблюдателя, длина волны увеличивается, то есть смещается к красному концу спектра (краснеет).
Таким образом, все известные научные факты подтверждают справедливость общей теории относительности, которая является современной теорией тяготения.
Более 800 000 книг и аудиокниг! 📚
Получи 2 месяца Литрес Подписки в подарок и наслаждайся неограниченным чтением
ПОЛУЧИТЬ ПОДАРОК