3.2. Законы сохранения
Рассмотрим наиболее общие законы сохранения, которым подчиняется весь материальный мир и которые вводят в физику ряд фундаментальных понятий: энергия, количество движения (импульс), момент импульса, заряд.
Закон сохранения импульса
Как известно, количеством движения, или импульсом, называют произведение скорости на массу движущегося тела: p = mv Эта физическая величина позволяет найти изменение движения тела за какой-нибудь определенный промежуток времени. Для решения этой задачи следовало бы применять второй закон Ньютона бесчисленное число раз, во все промежуточные моменты времени. Закон сохранения количества движения (импульса) можно получить, используя второй и третий законы Ньютона. Если рассматривать две (или более) материальные точки (тела), взаимодействующие между собой и образующие систему, изолированную от действия внешних сил, то за время движения импульсы каждой точки (тела) могут изменяться, но общий импульс системы должен оставаться неизменным:
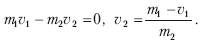
m1v + m1v2 = const.
Взаимодействующие тела обмениваются импульсами при сохранении общего импульса.
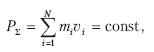
В общем случае получаем:

где P? – общий, суммарный импульс системы, mivi – импульсы отдельных взаимодействующих частей системы. Сформулируем закон сохранения импульса:
? Если сумма внешних сил равна нулю, импульс системы тел остается постоянным при любых происходящих в ней процессах.
Пример действия закона сохранения импульса можно рассмотреть на процессе взаимодействия лодки с человеком, которая уткнулась носом в берег, а человек в лодке быстро идет из кормы в нос со скоростью v1. В этом случае лодка отойдет от берега со скоростью v2:

Аналогичный пример можно привести со снарядом, который разорвался в воздухе на несколько частей. Векторная сумма импульсов всех осколков равна импульсу снаряда до разрыва.
Закон сохранения момента импульса
Вращение твердых тел удобно характеризовать физической величиной, которая называется моментом импульса.
При вращении твердого тела вокруг неподвижной оси каждая отдельная частица тела движется по окружности радиусом ri с какой-то линейной скоростью vi. Скорость vi и импульс p = mivi перпендикулярны радиусу ri. Произведение импульса p = mivi на радиус ri называется моментом импульса частицы:
Li = mi vi ri = Pi ri ·
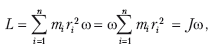
Момент импульса всего тела:

Если заменить линейную скорость угловой щ (vi = ?ri), то

где J = mr2– момент инерции.
Момент импульса замкнутой системы не изменяется во времени, то есть L = const и J? = const.
При этом моменты импульса отдельных частиц вращающегося тела могут как угодно изменяться, однако общий момент импульса (сумма моментов импульса отдельных частей тела) остается постоянным. Продемонстрировать закон сохранения момента импульса можно, наблюдая вращение фигуриста на коньках с руками, вытянутыми в стороны, и с руками, поднятыми над головой. Так как J? = const, то во втором случае момент инерции J уменьшается, значит, при этом должна возрасти угловая скорость щ, так как J? = const.
Закон сохранения энергии
Энергия – это универсальная мера различных форм движения и взаимодействия. Энергия, отданная одним телом другому, всегда равна энергии, полученной другим телом. Для количественной оценки процесса обмена энергией между взаимодействующими телами в механике вводится понятие работы силы, вызывающей движение.
Кинетическая энергия механической системы – это энергия механического движения этой системы. Сила, вызывающая движение тела, совершает работу, а энергия движущегося тела возрастает на величину затраченной работы. Как известно, тело массой m, движущееся со скоростью v, обладает кинетической энергией E = mv2/2.
Потенциальная энергия – это механическая энергия системы тел, которые взаимодействуют посредством силовых полей, например посредством гравитационных сил. Работа, совершаемая этими силами, при перемещении тела из одного положения в другое не зависит от траектории движения, а зависит только от начального и конечного положения тела в силовом поле.
Такие силовые поля называют потенциальными, а силы, действующие в них, – консервативными. Гравитационные силы являются консервативными силами, а потенциальная энергия тела массой m, поднятого на высоту h над поверхностью Земли, равна
Епот = mgh,
где g – ускорение свободного падения.
Полная механическая энергия равна сумме кинетической и потенциальной энергии:
E = Екин + Епот
Закон сохранения механической энергии (1686 г., Лейбниц) гласит, что в системе тел, между которыми действуют только консервативные силы, полная механическая энергия сохраняется неизменной во времени. При этом могут происходить превращения кинетической энергии в потенциальную и обратно в эквивалентных количествах.
Существуют еще один вид систем, в которых механическая энергия может уменьшаться за счет преобразования в другие формы энергии. Например, при движении системы с трением часть механической энергии уменьшается за счет трения. Такие системы называются диссипативными, то есть системами, рассеивающими механическую энергию. В таких системах закон сохранения полной механической энергии несправедлив. Однако при уменьшении механической энергии всегда возникает эквивалентное этому уменьшению количество энергии другого вида. Таким образом, энергия никогда не исчезает и не появляется вновь, она лишь превращается из одного вида в другой. Здесь проявляется свойство неуничтожимости материи и ее движения.
Закон сохранения заряда
Электрические заряды – это источники электромагнитного поля. Вся совокупность электрических явлений есть проявление существования движения и взаимодействия электрических зарядов.
В конце XIX в. английским физиком Томсоном был открыт электрон – носитель отрицательного элементарного электрического заряда (-1,6 · 10-19 Кл), а в начале XX в. Резерфорд открыл протон, обладающий таким же по величине элементарным положительным зарядом. Поскольку каждая частица характеризуется определенным, присущим ей электрическим зарядом, закон сохранения заряда можно рассматривать как следствие сохранения числа частиц, если при этом не происходит взаимопревращения частиц.
При электризации физических тел число заряженных частиц не меняется, а происходит лишь их перераспределение в пространстве. В общем закон сохранения заряда можно сформулировать так:
? в замкнутой системе алгебраическая сумма зарядов системы остается неизменной во времени, какие бы процессы ни происходили внутри этой замкнутой системы.
Такое понятие существовало в физике давно, а в 1843 г. М. Фарадей экспериментально подтвердил этот закон. Как и другие законы сохранения, закон сохранения заряда справедлив на всех структурных уровнях материального мира.
Закон сохранения заряда вместе с законом сохранения энергии характеризует устойчивость электрона. Он не может превратиться самопроизвольно в более тяжелую частицу или в более легкую.
В первом случае это не позволяет закон сохранения энергии, а во втором – закон сохранения заряда.
Более 800 000 книг и аудиокниг! 📚
Получи 2 месяца Литрес Подписки в подарок и наслаждайся неограниченным чтением
ПОЛУЧИТЬ ПОДАРОК