ПРИЕМНАЯ КОМИССИЯ

ФЗФТШ ОБЪЯВЛЯЕТ НАБОР УЧАЩИХСЯ

на 2007–2008 учебный год

Федеральная заочная физико-техническая школа (ФЗФТШ) при Московском физико-техническом институте (МФТИ) проводит набор учащихся общеобразовательных учреждений (школ, лицеев, гимназий и т. п.), расположенных на территории Российской Федерации.

Набор в 8, 9, 10 и 11 классы на 2007–2008 учебный год проводится на заочное, очное и очно-заочное отделения.

ЗАОЧНОЕ ОТДЕЛЕНИЕ (индивидуальное обучение)

Тел/факс: (495) 408-51-45

Полная программа обучения рассчитана на 4 года (8 — 11 кл.), но поступать можно в любой из указанных классов. Срок отправления решения — не позднее 1 марта 2007 года. Вступительные работы обратно не высылаются. Решение приемной комиссии будет сообщено не позднее 1 августа 2007 года.

Вне конкурса в ФЗФТШ принимаются победители областных, краевых, республиканских, окружных и всероссийских олимпиад по физике и математике 2006–2007 уч. г. Им необходимо до 15 мая 2007 г. выслать в ФЗФТШ выполненную вступительную работу по физике и математике вместе с копиями дипломов, подтверждающих участие в вышеперечисленных олимпиадах.

Тетрадь с выполненными заданиями (по физике и математике) высылайте по адресу: 141700, г. Долгопрудный Московской области. Институтский пер., 9, ФЗФТШ при МФТИ.

Вступительное задание по физике и математике ученик выполняет самостоятельно в одной школьной тетради на русском языке, сохраняя тот же порядок задач, что и в задании. Тетрадь нужно выслать в конверте простой бандеролью (только не сворачивайте в трубку). На внутреннюю сторону обложки тетради наклейте справку из школы, в которой учитесь, с указанием класса.

На лицевую сторону обложки наклейте лист бумаги, четко заполненный по образцу:

(таблица заполняется методистом ФЗФТШ)

1. Область Ставропольский край

2. Фамилия, имя, отчество Александрова Ксения Владимировна

3. Класс, в котором учитесь восьмой

4. Номер школы 7

5. Вид школы (обычная, лицей, гимназия, с углубленным изучением предмета) обычная

6. Подробный домашний адрес (с указанием индекса) телефон, e-mail 357100, г. Невинномысск, ул. Садовая, д. 38, кв. 6, e-il: samgvis@yandex.ru

7. Место работы и должность родителей:

отец инженер-программист

мать экономист

8. Адрес школы и телефон, факс, e-mail 357100, г. Невинномысск, ул. Гагарина, д. 53б, e-mail: school7@nev.ru

9. Фамилия, имя, отчество преподавателей

по физике Власова Елена Петровна

по математике Селиванова Ирина Кирилловна

10. Каким образом к Вам попало это объявление?

На конкурс ежегодно приходит более 4 тысяч вступительных работ. Пожалуйста, обратите внимание на правильность заполнения анкеты! Пишите аккуратно, лучше печатными буквами. Для получения ответа на вступительное задание и для отправки Вам первых заданий обязательно вложите в тетрадь два одинаковых бандерольных конверта размером 160 х 230 мм. На конвертах четко напишите свой домашний адрес.

ОЧНО-ЗАОЧНОЕ ОТДЕЛЕНИЕ (обучение в факультативных группах)

Тел./факс (495) 409-93-51

Факультативные группы могут быть организованы в любом общеобразовательном учреждении двумя преподавателями — физики и математики (в отдельных случаях разрешается обучение по одному предмету). Руководители факультатива принимают в них учащихся, успешно выполнивших вступительное задание ФЗФТШ.

Группа (не менее 8 человек) принимается в школу, если директор общеобразовательного учреждения сообщит в ФЗФТШ фамилии, имена, отчества ее руководителей и поименный алфавитный список обучающихся (Ф. И. 0. полностью с указанием класса текущего учебного года и итоговых оценок за вступительное задание по физике и математике, домашний адрес учащихся с указанием индекса, телефона и e-mail), телефон, факс и e-mail школы. Все эти материалы и конверт для ответа о приеме в ФЗФТШ с обратным адресом одного из руководителей следует выслать до 25 июня 2007 г. по адресу: 141700, г. Долгопрудный Московской области, Институтский пер., 9, ФЗФТШ при МФТИ (с пометкой «Факультатив»). Тетради с работами учащихся не высылаются.

Работа руководителей факультативов может оплачиваться общеобразовательным учреждением как руководство профильными факультативными занятиями по предоставлении ФЗФТШ при МФТИ соответствующих сведений.

Руководители, работающие с учащимися, будут получать в течение учебного года: учебно-методические материалы (программы по физике и математике, задания по темам программ, решения заданий с краткими рекомендациями по оценке работ учащихся); приглашаться на курсы повышения квалификации учителей физики и математики, проводимые на базе МФТИ.

Работы учащихся проверяют и оценивают руководители факультативных групп, а в ФЗФТШ ими высылаются ведомости с итоговыми оценками по каждому заданию и итоговая ведомость за год.

ОЧНОЕ ОТДЕЛЕНИЕ (обучение в вечерних консультационных пунктах)

Тел. (495) 409-95-83

Для учащихся Москвы и Московской области по программе ФЗФТШ работают вечерние консультационные пункты, набор в них проводится по результатам вступительных экзаменов по физике и математике и собеседования, которые проходят во второй половине сентября.

Программы ФЗФТШ при МФТИ являются профильными дополнительными образовательными программами и едины для всех отделений.

Кроме того, ученикам всех отделений будет предложено участвовать в физико-математической олимпиаде «ФИЗТЕХ-2007», которая будет проводиться на базе МФТИ и в ряде городов России в конце марта и в середине мая, в других очных и заочных олимпиадах МФТИ и его факультетов, а также в конкурсах, турнирах и конференциях. Для учащихся 9 — 11 классов на базе МФТИ работает субботний лекторий по физике и математике по программе ФЗФТШ. Лекции читают преподаватели института, как правило, авторы заданий. Подробнее об этих мероприятиях можно прочитать на сайте ФЗФТШ http://www.school.mipt.ru.

По окончании учебного года учащиеся, успешно выполнившие программу ФЗФТШ, переводятся в следующий класс, а выпускники (11 кл.) получают свидетельство об окончании школы с итоговыми оценками по физике и математике, которое учитывается на собеседовании при поступлении в МФТИ.

Ученикам, зачисленным в ФЗФТШ в рамках утвержденного плана приема, будет предложено оплатить безвозмездный целевой взнос для обеспечения учебного процесса в соответствии с уставными целями школы.

Сумма взноса будет составлять ориентировочно для учащихся заочного отделения 500–900 руб. в год, для очного — 650 — 1300 руб., для очно-заочного — 900 — 1620 руб. (с каждой факультативной группы за год).

Для учащихся Украины работает Киевский филиал ФЗФТШ при МФТИ (обучение платное). Желающим в него поступить следует высылать работы по адресу: 03680, Украина, г. Киев, б-р Вернадского, д. 36, ГСП, Киевский филиал ФЗФТШ при МФТИ. Тел: (044) 424-30-25.

Для учащихся из зарубежных стран возможно только платное обучение на заочном и очно-заочном отделениях. Условия обучения для прошедших конкурсный отбор будут сообщены дополнительно.

Номера задач, обязательных для выполнения (заочное и очно-заочное отделения), приводятся в таблице:

Номера классов указаны на текущий 2006–2007 учебный год.

ФИЗИКА

1. (Экспериментальная задача). Сырое куриное яйцо тонет в пресной воде. Экспериментально определите минимальное значение плотности соленой воды, при которой в ней не тонет куриное яйцо. Опишите метод измерения и приведите полученный результат.

2. Турист первую половину расстояния между пунктами А и Б проехал на велосипеде со скоростью 25 км/ч, а вторую половину прошел со скоростью 5 км/ч. Сколько времени он шел, если весь путь занял 3 часа?

3. Колонна грузовиков, растянувшаяся по шоссе на L = 600 м, движется со скоростью V1 = 60 км/ч. В начале длинного подъема грузовики быстро снижают скорость до некоторой величины V2 и двигаются с такой скоростью вдоль подъема. В момент, когда первая машина начинает подъем, из хвоста колонны по направлению к головной машине выезжает мотоциклист. Двигаясь с постоянной скоростью, он оказывается у головной машины через t0 = 1,5 мин. Определите длину колонны на подъеме и скорость мотоциклиста, если известно, что его скорость на 50 % больше скорости грузовика на подъеме.

4. Из тонкой алюминиевой фольги в один слой склеен полый куб с площадью поверхности 120 см2. Масса потребовавшейся для этого фольги равна 1,3 г. Определите толщину фольги.

5. Имеется U-образная вертикально расположенная трубка. Ее левое колено имеет постоянную площадь поперечного сечения S по всей высоте, а правое от основания до высоты Н = 30 см имеет такую же площадь поперечного сечения, а выше — площадь 25 (рис. 1).

Трубка заполнена водой до высоты 0,8 Н. В левое колено трубки наливают слой масла высотой h = Н.

На сколько поднимется уровень воды в правом колене? Плотность воды ?в = 1 г/см3, плотность масла ?м = 0,8 г/см3.

6. К динамометру на легкой нити подвешен сплошной металлический шар. Шар полностью погружают в масло, находящееся в сосуде с вертикальными стенками. При этом показание динамометра равно Р1 = 0,37 Н. В сосуд долили объем воды, равный объему масла. При этом жидкости расслоились и показание динамометра оказалось равным Р2 = 0,33 Н. Определите плотность материала шара и его объем.

7. Тело кубической формы находится под водой в открытом водоеме так, что грань куба параллельна поверхности воды и находится на глубине h1 = 2 м. Сила F1, действующая на нижнюю грань куба со стороны воды, в 1,1 раза больше силы F2, действующей на верхнюю грань. Найдите длину ребра куба, а также F1 и F2. Атмосферное давление Р0 равно 105 Па.

8. Энергия солнечного излучения, падающего в секунду на один квадратный метр земной поверхности, составляет примерно 1000 Дж. На сколько уменьшится толщина льдины на поверхности замерзшего водоема за один световой день? Считать, что лед поглощает 10 % падающего излучения. Температуру льда принять равной 0 °C, а продолжительность светового дня — 6 часов.

9. Смешивают m1 = 300 г воды при температуре t1 = 10 °C и m2 = 400 г льда при температуре t2 = -20 °C. Определить установившуюся температуру смеси. Удельная теплоемкость воды св = 4200 Дж/(кг?К), льда сл = 2100 Дж/(кг?К), удельная теплота плавления льда ? = 330?103 Дж/кг. Потерями теплоты пренебречь.

10. Для нормальной работы некоторого электрического прибора требуется, чтобы подаваемое на него напряжение было не менее Uмин = 200 В. В этом случае потребляемая прибором мощность равна N = 1 кВт. В силу большой удаленности прибора от розетки, его приходится включать в сеть через удлинитель. Напряжение в розетке составляет U = 220 В. На каком максимальном l удалении от розетки может работать прибор, если провода удлинителя изготовлены из меди и имеют диаметр 1 мм?

11. Расстояние S = 18 км между двумя станциями поезд проходит со средней скоростью V = 54 км/ч, причем на разгон тратит t1 = 2 мин, затем идет с постоянной скоростью и на замедление до полной остановки тратит t2 = 1 мин. Определите наибольшую скорость поезда. Разгон и торможение происходят равноускоренно.

12. Расстояние между двумя свободно падающими каплями через время t1 = 2 с после начала падения второй капли было L = 25 м. На сколько позднее начала падать вторая капля? Сопротивление воздуха не учитывать. Капли падают из одной точки.

13. Небольшой груз массой m лежит на длинной доске массой М (рис. 2).

Коэффициент трения между доской и грузом равен ?1, а между доской и столом — ?2. По доске наносят удар, и она начинает двигаться поступательно со скоростью V0 по поверхности стола. Определить время, через которое прекратится скольжение груза по доске.

14. Мяч массой m = 5 кг бросают со скоростью V0 = 10 м/с под углом ? = 30° к горизонту. Затем мяч сталкивается с вертикальной стенкой и после упругого удара возвращается в точку броска. Найдите среднюю силу, действующую на мяч со стороны стены, если длительность удара составляет ? = 0,01 с. Сопротивление воздуха не учитывать.

15. Один моль гелия нагревается при постоянном объеме V0 = 400 л так, что относительное увеличение его давления составило Р/Р0 = 0,004 (здесь Р0 — начальное давление гелия). На сколько градусов Т увеличилась температура газа, если его начальная температура равна Т0 = 500 К?

16. В цилиндре под поршнем площадью S = 100 см2 находится азот (N2) массой ma = 560 г. В цилиндр вводится водород (Н2) массой mв = 1 г, и поршень поднимается. Чтобы вернуть объем смеси газов под поршнем к прежнему значению, на поршень кладут груз некоторой массы m. Определите m, если известно, что масса поршня М = 100 кг, атмосферное давление Pо = 105 Па. Температура в цилиндре поддерживается постоянной.

17. Три одинаковых заряженных шарика связаны легкими непроводящими нитями одинаковой длины l и находятся в покое на гладкой горизонтальной поверхности (см. рис. 3).

Массы шариков одинаковы и равны m. Заряды шариков одинаковы и равны q. Две нити одновременно пережигают. Найти модули ускорений всех шариков сразу после пережигания нитей.

МАТЕМАТИКА

(После порядкового номера задачи в скобках указано количество очков за задачу.)

1(4). Студент купил принтер, клавиатуру и мышку, потратив 5970 рублей 75 копеек. Известно, что стоимость мышки составляет 1/3 стоимости клавиатуры, а стоимость клавиатуры и мышки, вместе взятых, — 4/21 стоимости принтера. Сколько стоит каждый предмет в отдельности?

2(5). Свежий виноград имеет влажность 99 %. Через месяц после сбора ягод влажность составляет уже 98 %. Определите, на сколько процентов изменилась масса винограда.

3(6). а) На сколько градусов поворачивается за минуту минутная стрелка? Часовая стрелка?

б) В полдень минутная и часовая стрелки совпали. Когда они совпадут в следующий раз?

в) Какой угол образуют минутная и часовая стрелки в 3 часа 5 минут?

4(5). — Спускаясь вниз по эскалатору, я насчитал 50 ступенек, — сказал волк.

— А я насчитал 75, — возразил заяц, — но я спускался в три раза быстрее.

Если бы эскалатор остановился, то сколько ступенек можно было бы насчитать на его видимой части? Предполагается, что волк и заяц двигались равномерно и скорость эскалатора постоянна.

5(6). Угол при вершине В равнобедренного треугольника ABC равен 108°. Перпендикуляр к биссектрисе AD этого треугольника, проходящий через точку D, пересекает сторону АС в точке Е. Найдите DE, если DB = 6.

6(5). Найдите число, при делении на которое три числа 480 608, 508 811 и 723 217 давали бы один и тот же остаток.

7(6). Решите уравнение:

5/(х — 1) + 3/(х — 2) + 3/(х — 3) +5/(х — 4) = 0.

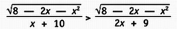
8(5). Решите неравенство:

9(8). Окружность, построенная на большем основании трапеции как на диаметре, проходит через середины боковых сторон и касается меньшего основания. Найдите углы трапеции.

10(8). а) Изобразите на плоскости множество точек, координаты которых удовлетворяют условию:

б) Найдите площадь полученной фигуры.

11(7). На продолжениях сторон АВ, ВС, CD и DA и выпуклого четырехугольника ABCD соответственно за точки В, С, D и А отложены отрезки ВВ1, CC1, DD1 и АА1, равные этим сторонам. Найдите площадь четырехугольника A1B1C1D1, если площадь четырехугольника ABCD равна 5.

12(6). В арифметической прогрессии с отличной от нуля разностью сумма членов с четными номерами, не превосходящими 29, равна 168. Найдите номер того члена прогрессии, который равен 12.

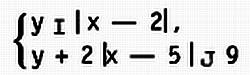
13(7). Решите неравенство:

14(8). Найдите все значения параметра а при каждом из которых уравнение

(2а — 1)х2 + ах + 2a — 3 = 0

имеет не более одного корня.

15(8). Решите уравнение:

16(9). Окружность, вписанная в треугольник ABC, делит медиану ВМ на три равные части. Найдите ВС и АВ, если известно, что СМ = 5.

От редакции. В этом году ФЗФТШ отмечает свое 40-летие. Пользуясь случаем, поздравляем с юбилеем директора школы Т.А. ЧУГУНОВУ, сотрудников и выпускников ФЗФТШ и желаем дальнейших творческих успехов!

Более 800 000 книг и аудиокниг! 📚

Получи 2 месяца Литрес Подписки в подарок и наслаждайся неограниченным чтением

ПОЛУЧИТЬ ПОДАРОК