6.2. Виды табельных приборов и средств ориентирования
Карта
Карта – это уменьшенное изображение земной поверхности, выполненное в определенном масштабе. Виды карт очень разнообразны. Наиболее точные – топографические. Однако туристы чаще всего имеют дело с областными картами и туристскими картосхемами.
Областные административные карты, выпущенные для большинства областей Российской Федерации, дают представление о расположении населенных пунктов и позволяют видеть изображение большого участка местности.
Туристские картосхемы издаются для наиболее популярных районов путешествий. Они менее подробны и точны, чем топографические карты, но содержат данные, которых нет на топографических картах (расположение туристских баз, лагерей, экскурсионных объектов, наиболее живописных мест и т. п.). На некоторых картосхемах изображен тот или иной маршрут, другие снабжены подробным описанием местности и встречающихся достопримечательностей. Для практического движения по маршруту желательно иметь схему (план, кроки) более крупного масштаба.
Схема местности
Выполняется обычно на основе карты путем перерисовки с нее наиболее важных элементов рельефа или прямым копированием по квадратам (с увеличением). Для копирования наиболее удобно применять фотографию, допускающую любое изменение масштаба оригинала, или калькирование с последующим получением синек. Можно использовать простую бумагу. В этом случае карту кладут на стекло, поверх нее – бумагу, а под стекло помещают электролампу. Просвеченный таким образом рисунок карты легко перенести даже на толстую бумагу.
Схему (карту) целесообразно наклеить на тонкий плотный картон, разрезать на небольшие прямоугольники (по формату имеющегося планшета) и наклеить на ткань с 2–3–миллиметровыми интервалами между прямоугольниками. В таком виде она может быть легко свернута «гармошкой» и сохранена от перетирания. Для того чтобы обезопасить схему (карту) от дождя, ее поверхность следует покрыть бесцветным лаком.
Масштаб
Масштаб – это отношение длин линии на карте к длине соответствующей ей линии на местности. Точность изображения местности на карте, полнота и подробность карты зависят от ее масштаба. Масштабы бывают двух видов: численный и линейный.
Численный масштаб изображается в виде дроби, числитель которой равен единице, а знаменатель – числу, показывающему, во сколько раз на карте уменьшена действительная длина линии. Например: 1:250 000; 1:50 000.
Линейный масштаб изображается прямой линией, разделенной на сантиметры или другие равные части. Эти части называются основанием масштаба. Им соответствует определенное число (надписываемое рядом) метров или километров на местности.
При уменьшении масштаба многие детали, чтобы не загружать карту, не изображают: так пропадают мелкие повороты и изгибы дорог, рек и ручьев. Это следует учитывать во время путешествия. Длина извилистой реки, петляющей грунтовой дороги, береговой кромки озера, замеренная по карте мелкого масштаба, на местности окажется намного больше вследствие того, что на карте все эти детали отсутствуют, а дано только общее, генеральное направление линий.
Чтение карты
Условные знаки. Это азбука, знание которой необходимо для чтения карты. Хотя обозначения условных знаков в определенной мере зависят от масштаба карты, все их принято делить на три группы: масштабные, внемасштабные и пояснительные. Первые изображают местные предметы (обычно контуром), которые «укладываются» в масштаб карты: озера, крупные города, – вторые изображают объекты, которые не могут быть выражены в данном масштабе. По такому знаку нельзя судить о действительном размере показанного на карте селения, колодца или моста. К третьим знакам относятся цифры, надписи и другие обозначения.
С уменьшением масштаба карты масштабные условные знаки превращаются во внемасштабные. При чтении условных знаков надо знать, что карта (план) изображает, как правило, летнее состояние местности. Наиболее распространенные и нужные для путешественника условные знаки изображены на рис. 6.2.
Рельеф местности. Изображается на крупномасштабных картах при помощи горизонталей, которыми называются кривые замкнутые линии, соединяющие на карте точки местности, одинаковые по высоте над уровнем океана.
Расстояние по высоте между двумя смежными горизонталями, взятыми на одном скате, называется высотой сечения, а расстояние между горизонталями по плану – заложением. Чем круче скат, тем меньше величина заложения, и наоборот. Для определения крутизны ската измеряют кратчайшее расстояние между соседними горизонталями и по шкале подбирают соответствующее ему заложение, против которого читают крутизну ската в градусах. Чтобы определить направление ската по горизонталям, на некоторых из них ставятся перпендикулярные черточки – скатоуказатели (бергштрихи), «смотрящие» своим свободным концом в сторону понижения (рис. 6.3).

Рис. 6.2. Условные знаки
Некоторые формы рельефа изображаются не горизонталями, а особыми условными значками. Так, обрывы, овраги, валы, ямы показываются линией с зубчиками, обращенными в сторону крутого склона. При пользовании мелкомасштабными картами туристы могут встретить изображение рельефа способом отмывки (сгущения теней) и гипсометрическим («чем выше, тем темнее»).

Рис. 6.3. Изображение форм рельефа горизонталями
На картах, где нанесена только гидросеть (реки, ручьи, озера), рельеф приходится «дорисовывать» в уме, опираясь на густоту, направление и извилистость водотоков и высотные отметки.
На схемах и планах горных районов рельеф часто изображают только линиями водоразделов (гребней), отметками основных вершин, показом рек и ледников.
Классификация топографических карт
Российские топографические карты являются общегосударственными. Они издаются в масштабах, указанных в табл. 6.1.
Используемые в войсках топографические карты подразделяются на крупномасштабные (1:25 000,1:50 000), среднемасштабные (1:100 000, 1:200 000), мелкомасштабные (1:500 000, 1:1 000 000).
Сферические поверхности не развертываются на плоскости без складок и разрывов, и по этой причине на картах неизбежны искажения длин, углов, площадей. Лишь в некоторых проекциях сохраняется равенство углов, но из–за этого значительно искажаются длины и площади, или сохраняется равенство площадей, но значительно искажаются углы и длины.
Проекция карт масштаба 1:25 000–1:500 000. Топографические карты РФ и многих иностранных государств создаются в поперечно–цилиндрической проекции Гаусса.
Таблица 6.1
Топографические карты масштаба 1:25 000–1:1 000 000

Примечание. Первое число размеров листа означает протяженность с севера на юг, этот размер является постоянным для любой широты. Второе число – протяженность с востока на запад, этот размер с увеличением широты постепенно уменьшается.
Проецирование земной поверхности на плоскость в проекции Гаусса производится по зонам, вытянутым от северного полюса до южного. Границами зон служат меридианы с долготой, кратной 6° (всего 60 зон). В пределах каждой зоны земная поверхность проецируется на плоскость путем преобразования географических координат точек земной поверхности в прямоугольные координаты на плоскости.
Длины линий сохраняются только вдоль осевого меридиана, в остальных местах они несколько преувеличены. Наибольшие относительные искажения длин имеют место на границах зон и в пределах РФ достигают 1/1000, относительные искажения площадей – 1/500. Искажения расстояний при графических измерениях на топографических картах не обнаруживаются; они учитываются только при выполнении специальных задач, связанных с использованием больших дальностей.
Углы в пределах небольшого участка не искажаются, очертания контуров на местности и карте практически подобны. Искажения любых направлений на листе карты масштаба 1:100 000 не превышают 40 . Все листы карт любого масштаба в пределах одной зоны могут быть склеены в один блок без каких–либо складок и разрывов.
Проекция топографической карты масштаба 1:1 000 000 – видоизмененная поликоническая проекция, принятая в качестве международной проекции для карт масштаба 1:1 000 000. Ее основные характеристики: проецирование земной поверхности, охватываемой листом карты, производится на отдельную плоскость; параллели изображаются дугами окружностей, а меридианы – прямыми линиями; наибольшее искажение длин в пределах листа достигает 0,14 %, искажение углов – до 7 %, искажения площадей – до 0,08 %.
При сложении четырех листов карты масштаба 1:1 000 000, расположенных в пределах широт 40–60°, возникает угловой разрыв порядка 20–40 и линейный разрыв 2–6 мм (несходимость листов возрастает к полюсам). В один блок склеивается без заметных разрывов не более 9 листов.
Условные знаки и оформление карт
Условные знаки топографических карт – система графических, буквенных и цифровых обозначений, с помощью которых на карте показывается местоположение объектов местности и передаются их качественные и количественные характеристики. Условные знаки, изображающие одни и те же объекты, на картах масштаба 1:25 000 – 1:200 000 по своему начертанию почти одинаковы и различаются только размерами. Условные знаки подразделяются на масштабные, внемасштабные и пояснительные. Масштабные (контурные) условные знаки состоят из контура (внешнего очертания объекта), изображаемого сплошной линией или пунктиром, внутри которого значками, цветом или штриховкой обозначается характер объекта.
Линейные знаки (разновидность масштабных условных знаков) применяются при изображении объектов линейного характера – дорог, линий электропередачи, границ и т. п. Местоположение и плановое очертание оси линейного объекта изображаются на карте точно, но их ширина значительно преувеличивается. Например, условный знак шоссе на картах масштаба 1:100 000 преувеличивает его ширину в 8–10 раз. Внемасштабные условные знаки используются при изображении объектов, плановое очертание которых не может быть передано в масштабе карты. Местоположение таких объектов определяется главной точкой условного знака. Главными точками могут быть: геометрический центр фигуры, середина основания знака, вершина прямого угла или геометрический центр нижней фигуры. Пояснительные условные знаки применяются для дополнительной характеристики объектов местности, например, стрелка на реке обозначает направление течения и т. п.
Рамки листов карт. Топографические карты создаются на большие территории; издаются отдельными листами, ограниченными рамками. Сторонами внутренних рамок служат линии параллелей и меридианов. Они делятся на отрезки, равные в градусной мере одной минуте (1) на картах масштаба 1:25 000–1:200 000 и пяти минутам (5) на картах масштаба 1:500 000 и 1:1 000 000. Эти деления через одно залиты черной краской или заштрихованы. Каждый минутный отрезок на картах масштаба 1:25 000 – 1:100 000 делится точками на шесть частей по 10» каждая, за исключением листов карты масштаба 1:100 000, расположенных в пределах широт 60–76°, на которых минутные отрезки по северной и южной сторонам рамки делятся на три части (по 20»), а расположенных севернее параллели 76° – на две части (по 30»).
Зарамочное оформление топографических карт содержит справочные сведения о данном листе карты, сведения, дополняющие характеристику местности, и данные, облегчающие работу с картой. Расположение элементов зарамочного оформления карт масштаба 1:25 000, 1:50 000, 1:100 000, 1:200 000 и 1:500 000 показано на рис. 6.4. Эти элементы означают:
1. Систему координат.
2. Название республики и области, территория которых изображена на данном листе.

Рис. 6.4. Расположение элементов зарамочного оформления карт масштаба 1:25 000, 1:50 000, 1:100 000, 1:200 000 и 1:500 000
3. Наименование ведомства, подготовившего и издавшего карту.
4. Номенклатуру листа и название наиболее значительного населенного пункта (для карт масштаба 1:200 000 и 1:500 000 – только название населенного пункта).
5. Номер и год издания (на картах масштаба 1:200 000 и 1:500 000 номенклатура, номер и год издания указываются ниже подписи «Гриф карты»).
6. Гриф карты.
7. Метод и год съемки или год составления и исходные материалы, по которым составлена карта; год подготовки к изданию и печати карты.
8. Исполнителей.
9. Шкала заложений (только на картах масштаба 1:25 000, 1:50 000 и 1:100 000).
10. Численный масштаб.
11. Величину масштаба.
12. Линейный масштаб.
13. Высота сечения (на карте масштаба 1:500 000 здесь же дается шкала ступеней высот).
14. Система высот (за исключением карты масштаба 1:500 000).
15. Схема взаимного расположения вертикальной линии координатной сетки, истинного и магнитного меридианов и величины склонения магнитной стрелки, сближения меридианов и поправки направления (за исключением карты масштаба 1:500 000).
16. Данные о склонении магнитной стрелки, сближении меридианов и годовом склонении магнитной стрелки (эти сведения на карте масштаба 1:500 000 не даются).
Кроме расположения элементов на карте масштаба 1:200 000 справа и слева от масштаба даются условные знаки, характеризующие проходимость местности, а на обороте или на полях листа печатаются схема грунтов и справка о местности, на карте масштаба 1:500 000 справа от масштаба размещаются схема расположения прилегающих листов и схема административного деления, а левее масштаба даются основные условные знаки.
Полнота, детальность и точность карт
Полнота и детальность топографических карт зависят, главным образом, от их масштаба (чем крупнее масштаб, тем полнее и детальней изображаются и характеризуются на карте элементы местности) и характера местности (чем меньше на местности различных объектов, тем полнее они отображаются на карте). Полнота и детальность отображения отдельных объектов на топографических картах масштаба 1:50 000–1:500 000 на среднепересеченную обжитую местность указаны в табл. 6.2.
Холмы, котловины, лощины и другие формы рельефа показываются на топографических картах при высоте (глубине) более 0,5 высоты сечения данной карты.
На карте масштаба 1:1 000 000 элементы местности изображаются с более значительным отбором. Например, на карте среднепересечен–ной обжитой местности показываются только главные шоссейные дороги, важнейшие населенные пункты, но не более одного на 100 км2, реки длиной более 10 км и т. п.
Таблица 6.2
Основные нормативы изображения объектов местности

На всех топографических картах как можно полнее показываются объекты местности, существенно определяющие ее тактические свойства: на картах пустынно–степных районов до масштаба 1:200 000 включительно даются все элементы гидрографии, дороги, тропы, а также местные предметы, имеющие ориентирное значение; на картах труднодоступных районов более полно отображается дорожная сеть и т. п.
Точность топографических карт принято характеризовать средними ошибками положения на карте объектов местности.
Наиболее точно (со средней ошибкой 0,1–0,2 мм в масштабе карты) показываются геодезические пункты и некоторые ориентиры (отдельные выделяющиеся башни, заводские трубы, церкви и т. п.).
Элементы местности, ясно и четко выраженные на местности, изображаются на картах со средней ошибкой 0,5 мм. На картах труднодоступных районов (горных, горно–таежных, лесисто–болотистых и др.) такие же элементы местности показываются менее точно – со средней ошибкой 0,75–1 мм.
Средние ошибки положения горизонталей по высоте на картах равнинной и холмистой местности составляют половину высоты сечения рельефа данной карты, а на картах горных районов – высоту сечения рельефа.
При оценке точности положения на карте данного объекта следует учитывать не только его характер, но и местонахождение.
В населенных пунктах с необходимой точностью показываются только их внешний контур, а также главные проезды и ближайшие к перекресткам строения.
Планы городов и специальные карты
План (топографический) – изображение небольшого участка или объекта местности на бумаге. Обычно планы составляются в крупных масштабах, местность на них характеризуется, как правило, более детально, чем на картах.
Планы городов предназначаются для детального изучения городов, для ориентирования, целеуказания и управления войсками в ходе боя.
На плане города помещаются данные не только о наземных, но и о подземных объектах (метро, канализация, коллекторы связи и т. п.), дается наименование улиц (непосредственно на плане или списком на полях с указанием их места по квадратам сетки, нанесенной на план), указывается подробный перечень важнейших объектов, иногда дается справка, характеризующая данный пункт в политическом, экономическом и военном отношении.
Специальные карты – карты, на которых с большей детальностью отображены отдельные элементы местности или нанесены специальные данные. Специальные карты весьма многочисленны и разнообразны.
К ним относятся карты: исторические, экономические, политико–административные, гидрологические, геологические, дорожные и многие другие.
Основными специальными картами, предназначенными для использования в штабах и войсках, являются:
? аэронавигационные карты;
? карты с сеткой ПВО;
? карты путей сообщения;
? рельефные карты;
? обзорно–географические (в прямоугольных рамках);
? карты изменений местности;
? карты водных рубежей (участков реки);
? карты горных проходов и перевалов;
? карты с разведывательными данными о противнике;
? карты источников водоснабжения и др.
Одни карты создаются заблаговременно в мирное время, другие – в ходе боевых действий.
Аэронавигационные карты предназначаются для подготовки и выполнения полетов авиации. Картографическая проекция этих карт, их содержание и оформление подчинены удовлетворению требований аэронавигации.
Карты путей сообщения и автодорожные карты предназначаются для планирования и осуществления передвижения войск и организации воинских перевозок. Они содержат более детальные технические и эксплуатационные характеристики дорожной сети по сравнению с топографическими картами.
Рельефные карты изготавливаются в масштабе 1:500 000 и 1:1 000 000, а для отдельных районов – в масштабе 1:200 000 и крупнее; они предназначаются для более наглядного представления о рельефе местности при планировании и организации боевых действий войск.
Содержание рельефных карт такое же, как и топографических карт соответствующего масштаба, но рельеф на них дан объемно и несколько утрированно (вертикальный масштаб всегда крупнее горизонтального).
Обзорно–географические карты (в прямоугольных рамках) создаются в масштабе 1:500 000, 1:1 000 000, 1:2 500 000, 1:5 000 000; они используются для изучения местности театров военных действий, отдельных районов и операционных направлений.
Карты изменений местности в районах ядерных ударов издаются в масштабе 1:100 000 и 1:200 000; они представляют собой топографические карты соответствующего масштаба, в которые впечатаны данные, характеризующие происшедшие изменения местности (разрушенные населенные пункты, завалы в лесах, затопленные и заболоченные участки местности и т. п.).
Карты водных рубежей и участков реки предназначаются для изучения и оценки водных преград (участков реки); масштаб карт преимущественно 1:50 000 и 1:100 000, иногда масштаб ширины реки более крупный, чем масштаб изображения прилегающей местности. Карта содержит детальные характеристики водного рубежа, существующих переправ (мостов, паромов, бродов), гидротехнических сооружений и поймы реки (заболоченность, пересеченность старицами и протоками, грунты и т. п.).
Разведывательная карта представляет собой обычную или бланковую (одноцветную) карту, на которую нанесены условными знаками разведывательные данные. Она издается для доведения до войск результатов дешифрирования аэроснимков.
Разграфка и номенклатура карт
Разграфка карт – система деления карт на отдельные листы. Номенклатура карт – система нумерации и обозначения отдельных листов. Каждый лист ограничен рамкой. Сторонами рамок листов топографических карт служат параллели и меридианы (табл. 6.3).
В основу номенклатуры топографических карт РФ положена карта масштаба 1:1 000 000.
Номенклатура карты масштаба 1:1 000 000. Вся поверхность Земли делится параллелями на ряды (через 4°), а меридианами – на колонны (через 6°); стороны образовавшихся трапеций служат границами листов карты масштаба 1:1 000 000. Ряды обозначаются заглавными латинскими буквами от А до V, начиная от экватора к обоим полюсам, а колонны – арабскими цифрами, начиная от меридиана 180° с запада на восток. Номенклатура листа карты состоит из буквы ряда и номера колонны.
Таблица 6.3
Размеры листов топографических карт

Лист карты масштаба 1:500 000 является четвертой частью листа карты 1:1 000 000 и обозначается номенклатурой листа миллионной карты с добавлением одной из заглавных букв А, Б, В, Г русского алфавита, обозначающих соответствующую четверть. Например, лист карты масштаба 1:500 000 с г. Рязань имеет номенклатуру N —37 – Б. Лист карты масштаба 1:200 000 образуется делением миллионного листа на 36 частей (рис. 6.5); номенклатура его состоит из обозначения листа карты масштаба 1:1 000 000 с добавлением одной из римских цифр 1, II, III, IV, … XXXVI. Например, лист с г. Рязань имеет номенклатуру N – 37 – XVI.
Лист карты масштаба 1:100 000 получается делением листа миллионной карты на 144 части; номенклатура его состоит из обозначения листа карты 1:1 000 000 с добавлением одного из чисел 1, 2,3,4,143,144. Лист карты масштаба 1:50 000 образуется делением листа карты масштаба 1:100 000 на четыре части (рис. 6.6); его номенклатура состоит из номенклатуры стотысячной карты и одной из заглавных букв А, Б, В, Г русского алфавита, например, N —37–56 —А. Лист карты масштаба 1:25 000 получается делением листа карты масштаба 1:50 000 на четыре части; номенклатура его образуется из номенклатуры пятидесятитысячной карты с добавлением одной из строчных букв а, б, в, г русского алфавита (пример на рис. 6.6 – N – 37–56 – А – б).
На листах карт Южного полушария к номенклатуре листа добавляется подпись в скобках Ю. П., например, А—32—Б (Ю. П.).

Рис. 6.5. Разграфка и номенклатура листов карт масштаба 1:200 000
Листы карт, расположенные между широтами 60–76°, сдваиваются по долготе – например, лист карты масштаба 1:1 000 000 по долготе будет иметь протяженность не 6, а 12°.
Сдвоенные листы миллионной карты обозначаются указанием ряда (буквой) и двух соответствующих колонн (нечетным и последующим четным числом); например – лист карты масштаба 1:1 000 000 на район г. Мурманск имеет номенклатуру R – 35,36.
Сдвоенные листы карт других масштабов обозначаются аналогичным способом: к номенклатуре западного левого листа приписывается буква или номер восточного листа, например, R – 35–25,26. Листы карт, расположенные севернее параллели 76°, издаются счетверенными по долготе. Их обозначение производится таким же порядком, как и сдвоенных листов, только к номенклатуре западного листа приписываются номера последующих трех листов.
Подбор карт
Для подбора нужных листов карт служат сборные таблицы – схематические карты мелкого масштаба, на которых показаны разграфка и номенклатуры карт.

Рис. 6.6. Разграфка и номенклатура листов карт масштаба 1:100 000
Если известна номенклатура одного или нескольких листов и требуется определить номенклатуры ряда смежных листов, то берут схему разграфки карт соответствующего масштаба, на ней отмечают данные листы и выписывают номенклатуру смежных листов.
Если же приходится определять номенклатуру листов карт на новый район, то нужно по какой–либо географической карте определить географические координаты объекта, находящегося в нужном районе, по ним найти его положение на схеме разграфки листов карты масштаба 1:1 000 000 и выписать номенклатуру этого листа. Затем по схеме разграфки листов карты соответствующего масштаба, приняв во внимание широту и долготу углов листа карты масштаба 1:1 000 000, находят положение объекта по его географическим координатам и выписывают номенклатуры нужных листов.
Номенклатуру листов, смежных с имеющимся листом карты, можно узнать по подписям на рамке с соответствующей стороны (рис. 6.7).

Рис. 6.7. Подписи по сторонам рамки номенклатур смежных листов карты
Подготовка карты к работе
Подготовка карты к работе включает: оценку карты, склеивание листов карты, складывание карты и подъем элементов местности на карте.
Оценка карты – ознакомление с картой и уяснение ее особенностей. Ознакомление с картой производится по следующим вопросам: масштаб, высота сечения рельефа, год съемки (составления), номер и год издания, поправка направления.
Масштаб узнают по подписи внизу листа карты и уясняют размер стороны квадрата координатной сетки в километрах и величину масштаба (сколько метров или километров соответствует 1 см на карте). Кроме того, уясняют точность, полноту и детальность карты.
Высоту сечения рельефа узнают по подписи под масштабом карты и уясняют полноту и детальность изображения рельефа, а также определяют, какая крутизна ската соответствует расстоянию между горизонталями в 1мм.
Год съемки или составления карты по исходным материалам узнают по подписи в юго–восточном углу листа, при этом уясняют современность карты и возможные изменения местности.
Номер и год издания подписывается под номенклатурой листа карты (на картах старого издания – в северо–западном углу листа).
Поправка направления определяется по текстовой справке или схеме, помещаемой в юго–западном углу листа. Поправку направления уясняют, если предстоит работа с картой на местности или движение по азимутам.
Склеивание карты (рис. 6.8). Перед склейкой листы карты раскладывают в соответствующем порядке. Для ускорения раскладки большого количества листов рекомендуется составить схему их расположения или воспользоваться сборной таблицей, очертив на ней склеиваемые листы. После этого приступают к обрезке краев соприкасающихся листов; обрезают восточные края (кроме листов крайней правой колонны) и южные (за исключением нижнего ряда). Обрезка производится острым ножом (лезвием бритвы) или ножницами точно по внутренней рамке листа. Обрезку карт ножом обычно производят без линейки на картонной подкладке. Лезвие ножа (бритвы) следует держать под острым углом (с наклоном по направлению линии обреза).
Сначала склеивают листы по рядам или по колоннам в том направлении, где полоса получится короче, затем склеивают между собой ряды или колонны. Склейку листов в колоннах начинают снизу, а в рядах – справа.
При склеивании карты кладут обрезанный лист оборотной стороной на смежный необрезанный и, сблизив их по линии склейки, наносят кистью на полосу склейки тонкий равномерный слой клея. Затем, перевернув верхний лист, совмещают рамки листов, километровые линии и соответствующие контуры. Место склейки протирают сухой тряпкой (бумагой), делая движение поперек линии склейки в сторону обреза. Небольшое несовмещение может быть исправлено протиранием в направлении, противоположном направлению смещения. Таким же порядком производится склейка рядов или колонн.

Рис. 6.8. Порядок склеивания карты
При склейке длинных полос (рядов или колонн) рекомендуется полосу с обрезанными листами свернуть в рулон, а клей наносить на нижнюю полосу (с обрезанными краями) и, разматывая постепенно рулон, совмещать и проглаживать склеиваемые полосы.
При неодинаковой деформации двух смежных листов (одна сторона рамки длиннее другой) клеем смазывается более короткий лист, что позволяет несколько растянуть его и уравнять с более длинным. Складывание карты. При подготовке карты для работы в помещении ее складывают «гармошкой» в двух направлениях. Вначале «гармошку» образуют в направлении вытянутой стороны карты, а затем образовавшуюся полосу вновь складывают «гармошкой». Размер сложенной карты должен соответствовать размеру стандартного листа (21x31 см) или размеру папки для ее хранения.
Для работы на местности карту складывают «гармошкой» вдоль полосы действия (маршрута) с учетом удобства ее хранения в сумке (планшете). В этом случае развернутую карту ориентируют вдоль маршрута, ненужные части карты подворачивают, оставляя полосу по размеру сумки (планшета), а затем ее складывают «гармошкой».
При складывании карту необходимо тщательно разглаживать и как можно плотнее перегибать, не допуская перегибов ее на местах склейки листов.
Подъем элементов местности на карте (подъем карты) применяется, когда требуется более наглядно показать (выделить) местные предметы и элементы рельефа, которые имеют важное значение для данной задачи.
Элементы местности поднимают на карте цветными карандашами путем расцветки, увеличением условного знака, подчеркиванием или увеличением подписи названия.
Реки, ручьи и каналы поднимают утолщением линий и тушевкой синего цвета. Болота покрывают синей штриховкой, линиями, параллельными нижнему обрезу карты.
Мосты, переправы, гати и т. п. поднимают увеличением условного знака карандашом черного цвета. Используемые при ориентировании местные предметы, изображаемые внемасштабными условными знаками, обводят кружками черного цвета.
Рельеф поднимают растушевкой светло–коричневым цветом вершин или утолщением некоторых горизонталей и их оттенением (оттушевкой) в сторону понижения.
Леса, сплошные кустарники и сады поднимают обводом опушки утолщенной линией и легким закрашиванием контура зеленым цветом.
Дороги и маршруты поднимают проведением вдоль условного знака утолщенной линии коричневого цвета.
Населенные пункты поднимают подчеркиванием или увеличением надписей их названий. Небольшие населенные пункты, кроме того, выделяют обводом их по внешнему контуру.
Измерение (определение) расстояний и площадей по карте
При определении расстояний по карте пользуются численным или линейным (рис. 6.9) и поперечным масштабом 1:50 000 – в 1 сантиметре 500 метров.

Рис. 6.9. Численный и линейный масштабы, помещаемые на карте
Численный масштаб – масштаб карты, выраженный дробью, числитель которой – единица, а знаменатель – число, показывающее степень уменьшения на карте линий местности; чем меньше знаменатель масштаба, тем крупнее масштаб карты. Подпись численного масштаба на картах обычно сопровождается указанием величины масштаба – расстояния на местности (в метрах или километрах), соответствующего одному сантиметру карты. Величина масштаба в метрах соответствует знаменателю численного масштаба без двух последних нулей.
При определении расстояния с помощью численного масштаба линия на карте измеряется линейкой, полученный результат в сантиметрах умножается на величину масштаба.
Линейный масштаб – графическое выражение численного масштаба. Он представляет собой прямую линию, разделенную на определенные части, которые сопровождаются подписями, означающими расстояния на местности. Линейный масштаб служит для измерения и откладывания расстояний на карте.
На рис. 6.10 расстояние между точками А и В равно 1850 м.

Рис. 6.10. Измерение расстояний по линейному масштабу
Поперечный масштаб – график (обычно на металлической пластинке) для измерения и откладывания расстояний на карте с предельной графической точностью (0,1 мм).
Стандартный (нормальный) поперечный масштаб имеет большие деления, равные 2 см, и малые деления (слева на графике), равные 2 мм. Кроме того, на графике имеются отрезки между вертикальной и наклонной линиями, равные по первой горизонтальной линии 0,2 мм, по второй – 0,4 мм, по третьей – 0,6 мм и т. д. С помощью стандартного поперечного масштаба можно измерять и откладывать расстояния на карте любого (метрического) масштаба. Отсчет расстояния по поперечному масштабу состоит из суммы отсчета на основании графика и отсчета отрезка между вертикальной и наклонной линиями. На рис. 6.11 расстояние между точками А и В (при масштабе карты 1:100 000) равно 5500 м (4 км + 1400 м + 100 м).

Рис. 6.11. Измерение расстояний по поперечному масштабу
Измерение расстояний циркулем–измерителем. При измерении расстояния по прямой линии иглы циркуля устанавливают на конечные точки, затем, не изменяя раствора циркуля, по линейному или поперечному масштабу отсчитывают расстояние. В том случае, когда раствор циркуля превышает длину линейного или поперечного масштаба, целое число километров определяется по квадратам координатной сетки, а остаток – обычным порядком по масштабу.
Ломаные линии удобно измерять путем последовательного наращивания раствора циркуля прямолинейными отрезками (рис. 6.12).
Измерение длин кривых линий производится последовательным отложением шага циркуля (рис. 6.13). Величина шага циркуля зависит от степени извилистости линии, но, как правило, не должна превышать 1 см. Для исключения систематической ошибки длину шага циркуля, определенную по масштабу или линейке, следует проверять измерением линии километровой сетки длиной 6–8 см.

Рис. 6.12. Измерение расстояний способом наращивания раствора циркуля
Длина извилистой линии, измеренной по карте, всегда несколько меньше ее действительной длины, так как измеряются не кривая линия, а хорды отдельных участков этой кривой; поэтому в результаты измерений по карте приходится вводить поправку – коэффициенты увеличения расстояний.

Рис. 6.13. Измерение расстояний шагом циркуля
Измерение расстояний курвиметром. Вращением колесика стрелку курвиметра устанавливают на нулевое деление, а затем прокатывают колесико по измеряемой линии с равномерным нажимом слева направо (или снизу вверх); полученный отсчет в сантиметрах умножают на величину масштаба данной карты.
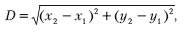
Определение расстояний по прямоугольным координатам в пределах одной зоны можно произвести по формуле

где D – длина линии; x1, y1 – координаты начальной точки прямой; x2, y2 – координаты конечной точки прямой.
Определение площадей по квадратам километровой сетки. Площадь участка определяется подсчетом целых квадратов и их долей, оцениваемых на глаз. Каждому квадрату километровой сетки соответствует: на картах масштаба 1:25 000 и 1:50 000 – 1 км2, на картах масштаба 1:100 000 – 4 км2, на картах масштаба 1:200 000 – 16 км2.
Прямоугольные координаты на картах
Прямоугольные координаты (плоские) – линейные величины: абсцисса х и ордината у, определяющие положение точек на плоскости (на карте) относительно двух взаимно перпендикулярных осей X и Y (рис. 6.14). Абсцисса X и ордината Y точки А – расстояния от начала координат до оснований перпендикуляров, опущенных из точки А на соответствующие оси, с указанием знака.
В топографии и геодезии, а также на топографических картах ориентирование производится по северу со счетом углов по ходу часовой стрелки, поэтому для сохранения знаков тригонометрических функций положение осей координат, принятое в математике, повернуто на 90°.
Прямоугольные координаты на топографических картах РФ применяются по координатным зонам. Координатные зоны – части земной поверхности, ограниченные меридианами с долготой, кратной 6°. Первая зона ограничена меридианами 0° и 6°, вторая – 6° и 12°, третья—12° и 18° и т.д.
Счет зон идет от Гринвичского меридиана с запада на восток. Протяженность каждой зоны с севера на юг – порядка 20 000 км. Ширина зоны на экваторе – около 670 км, на широте 40° – 510 км, на широте 50 °– 430 км, на широте 60° – 340 км.

Рис. 6.14. Прямоугольные координаты
Все топографические карты в пределах данной зоны имеют общую систему прямоугольных координат. Началом координат в каждой зоне служит точка пересечения среднего (осевого) меридиана зоны с экватором (рис. 6.15), средний меридиан зоны соответствует оси абсцисс, а экватор – оси ординат. При таком расположении координатных осей абсциссы точек, расположенных южнее экватора, и ординаты точек, расположенных западнее среднего меридиана, будут иметь отрицательные значения. Для удобства пользования координатами на топографических картах принят условный счет ординат, исключающий отрицательные значения ординат. Это достигнуто тем, что отсчет ординат идет не от нуля, а от величины 500 км, т. е. начало координат в каждой зоне как бы перенесено на 500 км влево вдоль оси Y. Кроме того, для однозначного определения положение точки по прямоугольным координатам на земном шаре к значению координаты Y слева приписывается номер зоны (однозначное или двузначное число).
Зависимость между условными координатами и их действительными значениями выражается формулами
X' = X; Y' = Y – 500 000,
где X и Y – действительные значения координат; X, Y – условные значения координат. Например, если точка имеет координаты X =5 650 450; Y =3 120 840, то это значит, что точка расположена в третьей зоне на удалении 120 км 840 м от среднего меридиана зоны (620 840–500 000) и к северу от экватора на удалении 5650 км 450 м.

Рис. 6.15. Система прямоугольных координат на топографических картах: а – одной зоны; б – части зоны
Полные координаты – прямоугольные координаты, записанные (названные) полностью, без каких–либо сокращений. В примере, приведенном выше, даны полные координаты объекта:
X = 5 650 450; Y = 3 620 840.
Сокращенные координаты применяются для ускорения целеуказания по топографической карте, в этом случае указываются только десятки и единицы километров и метры. Например, сокращенные координаты данного объекта будут:
X = 50 450; Y = 20 840.
Сокращенные координаты нельзя применять при целеуказании на стыке координатных зон и если район действий охватывает пространство протяженностью более 100 км по широте или долготе. Координатная (километровая) сетка – сетка квадратов на топографических картах, образованная горизонтальными и вертикальными линиями, проведенными параллельно осям прямоугольных координат через определенные интервалы (табл. 6.4). Эти линии называются километровыми. Координатная сетка предназначается для определения координат объектов и нанесения на карту объектов по их координатам, для целеуказания, ориентирования карты, измерения дирекционных углов и для приближенного определения расстояний и площадей.
Таблица 6.4
Координатные сетки на картах

На карте масштаба 1:500 000 координатная сетка полностью не показывается – наносятся только выходы километровых линий по сторонам рамки (через 2 см). При необходимости по этим выходам координатная сетка может быть прочерчена на карте.
Километровые линии на картах подписываются у их зарамочных выходов и у нескольких пересечений внутри листа (рис. 6.16). Крайние на листе карты километровые линии подписываются полностью, остальные – сокращенно, двумя цифрами (т. е. указываются только десятки и единицы километров). Подписи у горизонтальных линий соответствуют расстояниям от оси ординат (экватора) в километрах. Например, подпись 6082 в правом верхнем углу показывает, что данная линия отстоит от экватора на 6082 км.
Подписи вертикальных линий обозначают номер зоны (одна или две первые цифры) и расстояние в километрах (всегда три цифры) от начала координат, условно перенесенного к западу от среднего меридиана на 500 км. Например, подпись 4308 в левом нижнем углу означает: 4 – номер зоны, 308 – расстояние от условного начала координат в километрах.

Рис. 6.16. Координатная (километровая) сетка на листе карты
Дополнительная координатная (километровая) сетка может быть нанесена на топографических картах масштаба 1:25 000, 1:50 000, 1:100 000 и 1:200 000 по выходам километровых линий в смежной западной или восточной зоне. Выходы километровых линий в виде черточек с соответствующими подписями даются на картах, расположенных на протяжении 2° к востоку и западу от граничных меридианов зоны.
Дополнительная координатная сетка предназначается для преобразования координат одной зоны в систему координат другой, соседней, зоны. При необходимости дополнительная координатная сетка прочерчивается на листе карты путем соединения одноименных черточек на противоположных сторонах рамки. Вновь построенная сетка является продолжением километровой сетки листа карты смежной зоны и должна полностью совпадать (смыкаться) с ней при склейке карты.
Определение прямоугольных координат по карте и нанесение объектов на карту по координатам
Определение прямоугольных координат объекта по карте циркулем
Циркулем по перпендикуляру измеряют расстояние от данного объекта до нижней километровой линии и по масштабу определяют его действительную величину. Затем эту величину в метрах приписывают справа к подписи километровой линии, а при длине отрезка более километра вначале суммируют километры, а затем также приписывают число метров справа. Это будет координата объекта X (абсцисса).
Таким же приемом определяют и координату Y (ординату), только расстояние от объекта измеряют до левой стороны квадрата. При отсутствии циркуля расстояния измеряют линейкой или полоской бумаги.
Пример определения координат объекта А показан на рис. 6.17:
X = 5 877 100; Y = 3 302 700.
Здесь же дан пример определения координат объекта В, расположенного у рамки листа карты в неполном квадрате:
X = 5 874 850; Y = 3 298 800.
Определение прямоугольных координат координатомером
Координатомер – приспособление для отсчета координат. Наиболее распространен координатомер в виде прямого угла прозрачной линейки, по сторонам которого нанесены миллиметровые деления. Такого типа координатомер имеется на командирской линейке.
При определении координат координатомер накладывают на квадрат, в котором располагается объект, совмещая вертикальную шкалу с его левой стороной, а горизонтальную – с объектом.

Рис. 6.17. Определение прямоугольных координат объектов по карте
Отсчеты в миллиметрах (десятые миллиметра отсчитывают на глаз) в соответствии с масштабом карты преобразуют в действительные величины – километры и метры, а затем величину, полученную по вертикальной шкале, суммируют (если она больше километра) с оцифровкой нижней стороны квадрата или приписывают к ней справа (если величина меньше километра). Это будет координата X объекта.
Таким же порядком получают и координату Y – величину, соответствующую отсчету по горизонтальной шкале, только суммирование производят с оцифровкой левой стороны квадрата.
Нанесение объекта на карту по прямоугольным координатам циркулем или линейкой
Прежде всего по координатам объекта в километрах и оцифровкам километровых линий находят на карте квадрат, в котором должен быть расположен объект.
Квадрат местонахождения объекта на карте масштаба 1:50 000, где километровые линии проведены через 1 км, находят непосредственно по координатам объекта в километрах.

Рис. 6.18. Нанесение объектов на карту по прямоугольным координатам
На карте масштаба 1:100 000 километровые линии проведены через 2 км и подписаны четными числами, поэтому, если одна или две координаты объекта в километрах – нечетные числа, нужно находить квадрат, стороны которого подписаны числами на единицу меньше соответствующей координаты в километрах.
На карте масштаба 1:200 000 километровые линии проведены через 4 км, поэтому стороны нужного квадрата будут подписаны числами, кратными четырем, меньшими соответствующей координаты объекта в километрах на один, два или три километра. Например, если даны координаты объекта (в километрах) X = 6755 и Y = 4613, то стороны квадрата будут иметь оцифровки 6752 и 4612. После нахождения квадрата, в котором расположен объект, рассчитывают удаление объекта от нижней стороны квадрата и откладывают его в масштабе карты от нижних углов квадрата вверх. К полученным точкам прокладывают линейку и от левой стороны квадрата, также в масштабе карты, откладывают расстояние, равное удалению объекта от этой стороны.
На рис. 6.18 показан пример нанесения на карту объекта А по координатам X = 3 768 850, Y = 29 457 500.
Нанесение объекта на карту координатомером, выгравированным на командирской линейке
По координатам объекта в километрах и оцифровке километровых линий определяют квадрат, в котором находится объект. На этот квадрат накладывают координатомер так же, как и при определении координат (см. рис. 6.17), совмещают его вертикальную шкалу с западной стороной квадрата так, чтобы против нижней стороны квадрата был отсчет, соответствующий координате X в масштабе карты минус оцифровка этой стороны квадрата. Затем, не изменяя положения координатомера, находят на горизонтальной шкале отсчет, соответствующий (также в масштабе карты) разности координаты Y объекта и оцифровки западной стороны квадрата. Точка против штриха у этого отсчета будет соответствовать положению объекта на карте.
На рис. 6.18 показан пример нанесения на карту объекта В, расположенного в неполном квадрате, по координатам X = 3 765 500; Y = = 2 945 750.
В данном случае координатомер наложен так, чтобы горизонтальная шкала его была совмещена с северной стороной квадрата, а отсчет против западной его стороны соответствовал разности координаты Y объекта и оцифровки этой стороны (29 457 км 650 м – 29 456 км = = 1 км 650 м). Отсчет, соответствующий разности оцифровки северной стороны квадрата и координате Y объекта (3766 км – 3765 км 500 м), отложен по вертикальной шкале вниз. Точка против штриха у отсчета 500 м будет указывать положение объекта на карте.
Более 800 000 книг и аудиокниг! 📚
Получи 2 месяца Литрес Подписки в подарок и наслаждайся неограниченным чтением
ПОЛУЧИТЬ ПОДАРОК