53. МЕТОДЫ ОЦЕНКИ ИНВЕСТИЦИОННЫХ ПРОЕКТОВ: ДИСКОНТИРОВАНИЕ
Для того чтобы сопоставить размер инвестиций и будущие денежные поступления, нужно учесть разновременность притоков и оттоков денежных средств в результате осуществления инвестиционного проекта и все будущие денежные потоки следует «привести» к моменту инвестирования средств, т. е. выполнить процедуру дисконтирования потоков платежей.
Различные методы сравнения инвестиционных проектов используют следующую информацию, которая может быть получена в результате:
1) определения размера ожидаемых денежных поступлений от предлагаемого проекта с распределением их по срокам поступления;
2) обоснования ставки дисконтирования будущих денежных поступлений, которая отражала бы ожидаемую инвестором доходность от проекта и степень риска вложений средств;
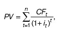
3) расчета дисконтированной стоимости каждого из ожидаемых потоков, суммированием которых определяется накопленная величина дисконтированных доходов (PV):

где CFt – доход от инвестиций f-го периода; it – ставка дисконтирования f-го периода; n – число лет, в течение которых прогнозируется получение дохода от инвестиций.
Рассчитанная таким образом величина PV характеризует приведенную к моменту инвестирования средств (если они единовременны) стоимость денежных доходов от инвестиций, полученных в разные периоды. Теперь эта величина (PV) может быть сопоставлена с размером инвестиций.
Формула показывает, что при оценке инвестиционных решений важное значение приобретает анализ размера и срока возникновения денежных доходов в результате капиталовложений: большую привлекательность будут иметь те инвестиционные проекты, которые дают достаточно большие доходы уже через короткие промежутки времени;
4) подсчета требуемых для инвестиционного проекта капиталовложений.
Более 800 000 книг и аудиокниг! 📚
Получи 2 месяца Литрес Подписки в подарок и наслаждайся неограниченным чтением
ПОЛУЧИТЬ ПОДАРОК