55. МЕТОДЫ ОЦЕНКИ ИНВЕСТИЦИОННЫХ ПРОЕКТОВ: ЧИСТАЯ ПРИВЕДЕННАЯ СТОИМОСТЬ, ВНУТРЕННЯЯ НОРМА ДОХОДНОСТИ
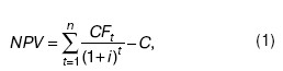
Для определения дисконтированной величины нужно предварительно установить ставку дисконтирования, которая в инвестиционных расчетах представляет собой уровень возможной доходности от рассматриваемого проекта. Затем определяется сумма дисконтированных денежных потоков за весь жизненный цикл инвестиций, которая сопоставляется со стоимостью первоначальных затрат на проект. Разность между двумя этими величинами называется чистой приведенной (или текущей) стоимостью (nef presenf value – NPV) и рассчитывается по формуле

где n – жизненный цикл инвестиции; С – первоначальные затраты проекта.
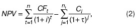
В общем случае проект предполагает не только единовременные затраты, но и последовательное осуществление инвестиций в течение n лет, и тогда расчет NPV будет производиться следующим образом:

где т – прогнозируемый средний уровень инфляции; C – размер инвестиций i-го периода.
Если по результатам расчетов будет получено положительное значение чистой приведенной стоимости (NPV > 0), можно рекомендовать принять положительное решение по инвестиционному проекту. Если же величина NPV отрицательная, то проект следует отклонить.
Положительная величина NPV показывает, что суммарный денежный поток в течение жизненного цикла инвестиции перекроет капиталовложения, обеспечит желаемый уровень доходности на вложенные средства и увеличение рыночной стоимости предприятия. Если же чистая приведенная стоимость отрицательная, то желаемая ставка доходности и покрытие капиталовложений не могут быть обеспечены прогнозируемыми денежными потоками.
Расчет внутренней нормы доходности базируется на тех же методологических предпосылках, что и определение чистой приведенной стоимости. Однако в этом случае ставится задача определить тот уровень доходности инвестиций, который обеспечит равенство дисконтированных величин доходов и расходов на протяжении жизненного цикла инвестиций. Исходя из этого определения внутренней нормы доходности (IRR), можно сказать, что IRR соответствует ставке дисконтирования денежных потоков, при которой NPV = 0.
Более 800 000 книг и аудиокниг! 📚
Получи 2 месяца Литрес Подписки в подарок и наслаждайся неограниченным чтением
ПОЛУЧИТЬ ПОДАРОК