Глава 2. Параметр целого
1. Выбор основной меры, характеризующей объект (параметра целого)
Этот творческий процесс обеспечивает переход от словесного описания к математическому. Любая целостная система, которая может быть описана одним словом, должна иметь определённую действительную скалярную меру — параметр целого, — изменение которого описывает процесс возникновения и развития системы. Выбор этого параметра с целью построения математической модели системы не является однозначным, так как сложные системы могут быть описаны большим (иногда бесконечным) числом координат. Удачный выбор параметра целого, характеризующего систему и соответствующий ей процесс, является следствием того мысленного образа изучаемого объекта, который сложился на предыдущих этапах исследований. Параметр целого должен быть выбран таким образом, чтобы он легко измерялся или вычислялся и характер зависимости его от времени был устойчив для ряда аналогичных систем (квантов).
На этом этапе нужно не точное знание о природе, а шарж, схватывающий характерные черты изучаемых объектов и процессов. Это связано с тем, что научные данные — это проверяемые опытом данные, то есть повторяющиеся с той или иной точностью. Чем более сложен объект научного исследования, тем больше в нем индивидуального, тем меньшее число частных особенностей предмета может быть научно исследовано на первом этапе. Если мы оставляем при исследовании сложного объекта лишь одну обобщенную координату (меру, параметр целого), то в качестве неё можно использовать величину, характеризующую объём многообразия координат, более детально описывающих систему. Это может быть действие, энергия, масса системы, энтропия или информация, реальный геометрический объем, количество входящих в неё подсистем, количество денег, прибыль, количество слов в языке и даже переменная возможность существования самой системы.
В ряде случаев можно принять за параметр целого изучаемого объекта число элементов — квантов, которые включены в объект как в обобщенную волну. Если каждый из них имеет свою меру или параметр целого и эти меры аддитивны, — суммарную меру всех квантов.
В этом случае введение параметра целого подразумевает значительное информационное сжатие, то есть идентификацию квантов, включённых в систему как в обобщённую волну.
Однако, параметр целого не полностью определяет динамику исследуемой структуры или системы. В действительности, в некоторых случаях отдельные части системы могут воздействовать на изменение этого параметра. Поэтому близкие по типу системы на одном и том же этапе развития могут иметь отличающиеся друг от друга значения этого параметра. Правильно выбранный параметр целого обычно является управляющим параметром системы, он изменяется более медленно, чем другие обобщённые координаты системы, и более устойчив к внешним возмущениям и к переходу от анализа одной системы к изучению другой.
В некоторых случаях параметр целого может характеризовать качество системы и различие в этих параметрах для сравниваемых систем определяет превосходство одной системы над аналогичной.
2. Простейшая форма математического описания объекта. Рождение и разрушение объекта
Простейший вид описания состоит в представлении динамики объекта в виде двух чисел 0 и 1, где 0 соответствует отсутствию объекта, а 1 — его существованию.
Введём групповое умножение.
0*1=0 — ликвидация объекта.
1*0=0 — подтверждение отсутствия объекта.
0*0= 1 — рождение объекта.
1*1=1 — подтверждение существования объекта.
{0,1} — коммутативная группа, описывающая существование объекта.
На этом уровне изучения уже можно построить одномерное фазовое пространство, в котором фазовая траектория описывается в виде двух направленных отрезков прямых, отрезка {0,1} и отрезка {1,0}.
Если взаимно однозначно отобразить группу {0,1} на группу {-1,1}, являющуюся группой зеркальной симметрии, то устанавливается соответствие между существованием и отсутствием объекта с его тождественностью самому себе и зеркальным отображением.
Всякий реальный объект должен иметь начало и конец во внешнем времени, а следовательно, некоторый период существования. Предположим, что до момента t1, объекта не существовало. Параметр целого данного объекта равнялся нулю. В момент t1, произошло рождение объекта, который просуществовал до момента времени t2, после которого он исчез. Такое простейшее эволюционное рассмотрение позволяет ввести ряд математических понятий.
1. Момент рождения объекта t1.
2. Момент исчезновения — разрушения объекта или его превращения в новый объект t2.
3. Срок жизни объекта dt = t2 — t1.
Если рассмотреть множество идентичных структур (квантов) — обобщённую волну, — то подобный подход позволяет нам вводить в рассмотрение определённые типы распределений, связанные с числом структур, их моментами рождения и гибели и длительностью их существования.
Предположение о конечности времени существования реальных объектов ставит следующие вопросы:
Что такое рождение структуры (системы)?
Что такое разрушение структуры (системы)?
При первичном (простейшем) рассмотрении можно считать, что структура рождается и исчезает мгновенно. В этом случае можно осуществить простейшее графическое, описание динамики объекта в виде графика зависимости параметра целого от времени. Этот график представляет собой три отрезка горизонтальных прямых:
— бесконечность < t <= t1, ? = 0
t1 < t < t2, ? = 1
t2 <= t < бесконечность, ? = 0
(Здесь, как и ниже, для параметра целого, описывающего структуру, введено обозначение ?.).
В моменты возникновения и разрушения структур в природе должны происходить качественные изменения (ведь рождается или исчезает) нечто новое).
Большинство существующих научных теорий описывает взаимодействие уже существующих структур. Проблема же их возникновения и разрушения не имеет в настоящее время полного решения.
Однако, при первичном исследовании конкретного объекта целесообразно начинать с рассмотрения именно этого вопроса, тем более, что во многих случаях эго решение представляет наибольший практический интерес.
В простейшем рассмотрении мы считали, что рождение и исчезновение структуры происходят мгновенно. Это достаточно сильное допущение, хотя во многих случаях мы действительно наблюдаем очень быстрое формирование новых структур и разрушение старых. В человеческом языке существуют такие слова, как катастрофа, кризис, взрыв, революция, рождение, разрушение, удар и т. д. Однако в любом случае рождение и разрушение структур — это процесс, имеющий ту или иную протяжённость во времени.
В некоторых случаях процесс формирования структур может оказаться длительным. Тогда вместо мгновенного формирования структуры и мгновенного её разрушения необходимо ввести конечные периоды её возникновения и разрушения. Это вполне естественное допущение влечёт за собой ряд следствий.
Первое следствие состоит в том, что возникает вопрос, а что же происходит со структурой в эти периоды, существует она или нет? Ответ на этот вопрос совсем не тривиален. По-видимому, в периоды рождения и разрушения про структуру нельзя с полной определённостью сказать ни то, что она существует, ни то, что её нет. Параметр целого структуры, изменяясь, принимает значения, промежуточные между нулём и единицей.
Если считать процесс формирования структуры непрерывным, то горизонтальные прямые вблизи точек ({ и <г можно соединить плавной кривой.
В период рождения уже нельзя сказать, что структура не существует, но ещё нельзя сказать, что структура полностью оформлена. На этом уровне рассмотрения попытка интерпретации введенного нами параметра оказывается не вполне корректной. По-видимому, такая интерпретация должна быть сделана в каждом частном случае отдельно с учетом эмпирических данных и «физического смысла», который должен вкладываться в понятие параметра целого, описывающего структуру.
Укажем путь возможного решения этой задачи с другой стороны. Мера, характеризующая произвольную структуру, может быть получена как объём многообразия, формирующегося обобщёнными координатами, которые характеризуют структуру при более детальном описании. Этот объём может меняться со временем. Если структуры нет, то мера равна нулю. В процессе существования (функционирования) структуры существует какой-то промежуток времени, когда многообразие, описывающее структуру, имеет максимальный объём. Если объём многообразия, описывающего структуру в любой момент времени, поделить на его максимальное значение, то получим в наиболее естественном случае кривую, которую мы построили ранее из других соображений и форму которой ищем.
В случае, если изучаемая структура в течение длительного времени остаётся стабильной и сохраняет фазовый объём соответствующего ей многообразия, а в периоды возникновения и разрушения резко его изменяет, то её параметр целого может быть отождествлен с объёмом многообразия, её описывающего.
Можно рассматривать несколько способов рождения новых структур.
а) Появление новой структуры (обобщённой волны) вследствие объединения или самоорганизации структур более низкого уровня иерархии, имеющих меньший объём или размерность описывающих их многообразий (квантов).
б) Появление новых структур в результате деления структуры на две и более частей.
в) Появление новой структуры вследствие потери устойчивости структуры, существовавшей до её образования.
г) Рождение новой структуры в результате слияния двух родственных структур с возможным переходом затем к многократному использованию второго способа.
д) Рождение новой структуры или волны путем излучения структур более высоких классов.
е) В качестве отдельного способа может рассматриваться целенаправленное формирование новых структур структурами более высокого класса (творчество).
Описанные способы приводят к необходимости анализа процесса формирования новых структур как бифуркационного изменения старых, уже существовавших ранее систем и структур. Тем самым, процесс появления и разрушения структур включается в цепочку превращений одних структур в другие. Таким образом, можно проследить не только время существования той или иной структуры, но и построить граф появления, существования и разрушения структур, проанализировав при этом не только внешние связи структуры с окружающей средой: полем, — но и генетическую связь структур. Многие структуры после появления начинают изменять значения своих основных обобщённых координат. В качестве примеров можно привести:
а) рост амплитуды волны при приближении её к берегу;
б) рост парового пузырька или паровой каверны при увеличении скорости движения тела;
в) рост кристаллов в растворе;
г) рост атомного гриба;
д) рост биологической клетки после деления;
е) рост живого организма;
ё) рост числа научных исследований в новой отрасли знаний;
ж) рост количества людей.
Таким образом, вновь сформировавшаяся структура может после своего появления в течение некоторого промежутка времени интенсивно увеличивать объём описывающего её многообразия, а следовательно и параметра целого, пока не выйдет на некоторое стационарное состояние. Процессы такого бурного (или не очень бурного) роста могут сильно отличаться друг от друга, однако во многих случаях они обладают некоторыми общими особенностями. Эти особенности могут быть исследованы эмпирически и описаны математическими уравнениями.
3. Эмпирический анализ двумерного фазового пространства, описываемого выбранным параметром целого и скоростью его изменения или некоторым итерационным процессом
Если параметр целого выбран, то на основании эмпирических данных может быть построена для данной системы или для серии систем, аналогичных данной, зависимость параметра целого, характеризующего систему, от времени. Эта зависимость может быть дискретной, когда для некоторых моментов времени определяется выбранный параметр, или непрерывной, в этом случае при помощи специальных приборов осуществляется непрерывная запись некоторых величин, которые затем могут быть использованы для вычисления параметра целого.
Наиболее реалистичными являются непрерывная запись или дискретное определение параметра в конкретные моменты времени с последующей аппроксимацией полученных данных в виде непрерывных функций от времени.
В этом случае вместо зависимости параметра от времени может быть построена более информативная картина двумерной фазовой плоскости, по оси абсцисс которой отложен выбранный параметр, а по оси ординат — его производная по времени. Для автономных систем, то есть систем, динамика которых слабо зависит или вовсе не зависит от параметров поля, такой график может оказаться универсальным, не зависящим от начальной точки отсчёта во внешнем времени.
Здесь проявляется интуиция — параметр целого должен быть выбран таким образом, чтобы характер его изменения для автономных систем был универсальным, то есть, чтобы зависимость его изменения от времени для данной системы и её аналогов не зависела от внешних условий. Однако, любая сложная система может считаться автономной лишь приближённо.
4. Разработка одномерной математической модели динамики объекта в рамках выбранного параметра целого
Если выбран один параметр, интегрально определяющий меру структуры, то можно построить простейшие математические модели, приближенно описывающие процесс формирования, роста структуры и выхода её на тот или иной стабильный режим, а также процесс её разрушения или превращения в качественно новую структуру.
Для параметра целого, описывающего структуру, как и ранее, введем обозначение ?. Рассмотрим два типа аппроксимации — итерационный и непрерывный.
Итерационный способ аппроксимации состоит в выражении последующего измеренного состояния системы через предыдущие ?p= F(?p-1,…., ?p-k, t).
Особо следует выделить системы, которые могут принимать конечное число состояний. Динамика таких систем оказывается во многом эквивалентной динамике орбит конечных математических полугрупп или групп. Наиболее известным представителем таких систем является современный компьютер, который может быть непосредственно использован для моделирования их динамики.
Практически неограниченное развитие компьютерной техники и области её использования свидетельствует о существовании широкой сферы применения дискретных математических моделей с большим, но конечным числом возможных состояний, то есть значений параметра целого для достаточно подробного описания природных и техногенных процессов.
Фазовое пространство при детерминированном итерационном процессе может быть построено следующим образом. По оси абсцисс откладывается ?p-1, а по оси ординат ?p. Точка на соответствующей фазовой плоскости соответствует отображению. Для систем с конечным числом состояний количество точек конечно и равно числу состояний.
Любой динамический процесс такого типа в пределе выходит на стационарную точку, ?p = ?p-1, или на циклическую траекторию ?p = ?p-к, где к можно считать периодом цикла.
В пределе очень большого числа состояний область изменения параметра целого может быть аппроксимирована континуумом. В этом случае количество типов траекторий становится значительно больше, чем при дискретном задании. Именно здесь появляются странные аттракторы.
Значительный практический интерес представляет использование аппроксимирующих функций, имеющих разрывы функций и их производных в конечном числе точек. В этом случае особые точки отображений и аттракторы приобретают дополнительные особенности.
В случае гладкой зависимости параметра целого от времени динамика его изменения может быть описана дифференциальным уравнением d?/df = f(?, t), где f(?,t) — заданная гладкая функция.
Решение и качественный анализ этого уравнения позволяют не только приближенно описывать динамику структуры, но и в какой-то степени предсказывать её будущее. Если структура или система развивается по внутренним законам (воздействие внешней среды (поля) на неё пренебрежимо мало либо носит стационарный характер), то для её описания может быть использовано автономное дифференциальное уравнение d?/df = f(?).
В случае непрерывной аппроксимации наиболее удачным подходом является построение двумерных фазовых диаграмм, по одной из осей которых откладывается сам параметр, а по другой — его производная. Для автономных объектов фазовые траектории от времени не зависят.
В некоторых случаях дифференциального уравнения первого порядка для адекватного описания динамики параметра целого оказывается недостаточно. В этом случае можно перейти к дифференциальным уравнениям более высоких порядков или к введению комплексного параметра целого. В обоих случаях это математически эквивалентно увеличению числа координат.
5. Качественный анализ и численное решение одномерной математической модели динамики объекта
Качественный анализ итерационной системы или нелинейного дифференциального уравнения позволяет ещё до их решения определить особенности поведения моделируемой системы как нелинейного объекта не только в прошлом и настоящем, но и в будущем.
Начнём анализ с автономной итерационной системы.
Выполнение условия ?n = F(?n) означает, что система находится в стационарном состоянии.
Стационарное состояние называется устойчивым и обозначается ?SU, если существует некоторая область (окрестность ?SU) в фазовом пространстве такая, что, как только процесс в какой-то момент времени пришел в состояние из этой области, то он начинает стремиться к устойчивому стационарному состоянию параметра целого ?SU. Если такой области нет, т. е. если микроотклонение от точки, соответствующей стационарному значению ?SU, приводит к существенным макроизменениям в течении процесса, состояние системы является неустойчивым стационарным состоянием.
В общем случае график ?2 = F(?1), соответствующий итерационному соотношению, иллюстрирует закон эволюции системы и позволяет определять стационарные состояния системы и их тип.
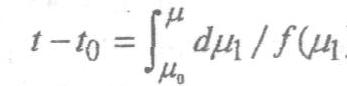
Если кривая ?2 = F(?1), определяемая соответствующим итерационным соотношением ?n+1 = F(?n), пересекает прямую ?2 = ?1, в точке ?S и |F1(?1)| < 1, то ?S — устойчивая стационарная точка, а если |F1(?1)| > 1, то неустойчивая. Рассмотрим подробнее математическую модель автономного дифференциального уравнения первого порядка d?/df = f(?). Его общее решение имеет вид.

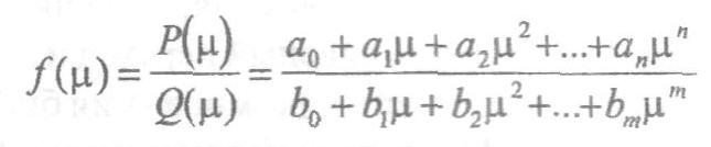
Если для какой-либо структуры в определенные моменты удалось экспериментально определить как величину выбранного нами параметра целого, так и его производной по времени, то затем, аппроксимируя функцию f(?), например, при помощи дробно-рациональной функции 
можно найти коэффициенты аппроксимации ai, bi, соответствующие экспериментальным данным.
Во многих случаях поведение системы вблизи особых точек, соответствующих нулям или полюсам функции f(?) описывается степенной функцией с рациональным или иррациональным показателем степени или логарифмической функции. При этом появляется многозначность поведения исследуемой модели. Величины f(?) могут одновременно с различной степенью вероятности принимать конечное или бесконечное множество действительных и комплексных значений, физический смысл которых для реальных систем должен быть специально уточнён.
Экспериментальные данные показывают, что большинство структур после периода бурного роста выходят на стабильный режим. в котором структура находится значительное время.
Этот процесс можно описать, используя квадратичную функцию f(?).
Рассмотрим так называемое логистическое уравнение, которое было подробно изучено в связи с анализом роста и стабилизации популяций животных, однако имеет широкое применение при исследовании различных систем. Оно имеет вид d?/dt = f(1-?)?.
Описываемый этим уравнением процесс имеет две стационарные точки ?=0 и ?= 1. Точка ?=0 неустойчива; это значит, что новые структуры могут появляться, в частности, при потере устойчивости старых. Точка ?=0 устойчива. Фазовая плоскость уравнения — зависимость d?/dt от ?, представляющая собой параболу, наиболее сжато и полно характеризует особенности процесса.
В некотором смысле логистическое уравнение универсально, так как его интегральные кривые описывают процесс перехода динамической системы из одного — неустойчивого состояния в другое — устойчивое. Оно также характеризует типичный процесс роста и стабилизации структур различной природы. Его решение в случае ?< 1 имеет вид.

При стремлении ? к нулю в момент начала роста структуры логистическая кривая асимптотически приближается к экспоненциальной. Однако, по мере увеличения меры ? в структуре, описываемой этой кривой, развиваются процессы, препятствующие дальнейшему экспоненциальному росту структуры, и вблизи ?=0,5 различие кривых становится существенным. Логистическая кривая выходит на асимптоту ? = 1, а экспоненциальная кривая уходит вверх.
Этот закон является простейшим законом, описывающим непрерывным образом формирование новых структур.
Существуют и другие дифференциальные уравнения, решения которых дают функции, позволяющие смоделировать плавный переход из одного состояния в другое. В частности, при анализе роста и размножения биологических объектов нами было получено дифференциальное уравнение d?/dt = -?ln?, обладающее теми же стационарными точками, что и логистическое уравнение, но позволяющее вместе со своим аналогом, итерационным соотношением со степенной правой частью единым образом описывать рост и размножение объектов.
Во многих случаях процесс роста сложных систем происходит не непрерывно, а путём размножения элементов системы или поглощения растущей системой новых элементов. Если скачки параметра целого малы, то в первом приближении этот дискретный процесс может быть заменён непрерывным, и для его описания может быть использован аппарат дифференциальных уравнений, в противном случае для описания динамики роста и стабилизации структур может быть использован аппарат итерационных соотношений.
Устойчивые стационарные точки фазовой плоскости или графика, представляющего решение системы итерационных соотношений, обычно являются пределом, к которому стремятся фазовые траектории системы. Такие точки называются аттракторами.
Аттракторами могут быть не только устойчивые стационарные точки, но и замкнутые траектории циклического типа (циклы и торы). В последние годы открыты и в настоящее время интенсивно изучаются ациклические аттракторы, названные странными.
Следующим этапом исследования является численное решение полученных уравнений. Численное решение совместно с качественным анализом позволяет строить не только зависимость меры от времени, которая была в прошлом, и сопоставить полученные данные с результатами наблюдений, но и предсказывать характер этой зависимости, которого следует ожидать в будущем.
Однако, учитывая наши предыдущие рассуждения, можно утверждать, что точное определение параметра целого системы в подавляющем большинстве случаев невозможно. Любое детерминированное математическое описание, использующее дифференциальные уравнения или итерационные процессы должно сопровождаться дополнительным к нему вероятностным описанием, характеризующим меру и характер распределения отклонения реальной величины параметра целого от его расчётного значения. Существование такой двойственности приводит к необходимости рассмотрения третьей величины, характеризующей структуру и её модель. Этой величиной может являться соотношение мер, определяемое некоторой функцией от параметра целого и меры его вариации. Элементы указанной триады в зависимости от ситуации и способа рассмотрения могут меняться местами.
Более 800 000 книг и аудиокниг! 📚
Получи 2 месяца Литрес Подписки в подарок и наслаждайся неограниченным чтением
ПОЛУЧИТЬ ПОДАРОК