Глава 5. Бифуркационные процессы
1. Определение бифуркационного события и графа структур и событий
Хаотичность, возникающая в динамических моделях реальных систем, теоретическое обнаружение и исследование странных аттракторов, а также анализ бифуркаций, происходящих в детерминированных динамических системах в связи с изменениями управляющих параметров свидетельствуют о том, что даже в случае использования детерминированных математических моделей иногда проявляется основное свойство природных процессов — их принципиальная неполная предсказуемость, У детерминированных моделей — динамических систем это свойство проявляется в случае потери устойчивости их стационарных состояний или других аттракторов или при возникновении странных аттракторов. Для сложных систем принципиальное отсутствие возможности точного предсказания будущего поведения самой системы (обобщённой волны) и её элементов (квантов) становится их основной особенностью. Это свойство определяется тем, что подобные системы, взаимодействуя с окружающим полем, принимают участие в «бифуркационных событиях», исход которых не может быть заранее предсказан и которые становятся для них скорее правилом, чем исключением.
Мир состоит из взаимодействующих между собой волн, структур и систем, которые с той или иной степенью достоверности могут быть выделены из окружающей среды. Всю мировую историю можно представить себе как эволюцию взаимодействующих структур и систем.
Простейшей математической моделью эволюции систем является граф, названный нами графом структур и событий, одной из координат которого является время.
Определенному критическому моменту эволюции соответствует узел эволюционного графа с малыми отрезками прилегающих к нему ребер.
Назовём этот критический момент и соответствующий ему узел графа событием.
Не всегда повторение казалось бы одинаковых опытов приводит к однозначному результату. События, результаты которых не могут быть однозначно предсказаны, будем называть бифуркационными событиями.
Для бифуркационного события мы в лучшем случае можем на основании предыдущего опыта определить множество возможных исходов и вероятность реализации каждого из них. Это множество может быть как непрерывным, так и дискретным, как одномерным, так и многомерным. В этом случае граф структур и событий приобретает новую обобщённую координату — бифуркационную.
Здесь уместно ввести аналогию с дорогой, по которой едут автомобили. Дорога может быть одна, дорог может быть много, дороги могут разделяться и сливаться, они образуют некоторый граф или сеть возможных (разрешённых) путей. Каждая развилка дороги — это условие реализации бифуркационного события, в результате которого может быть выбран тот или иной путь следования, возможно, с некоторой вероятностью. Изучаемая нами система взаимодействующих структур — это автомобиль, который едет по дороге, и на каждой развилке (бифуркация — двойная вилка) выбирает тот или иной путь. Каждый индивидуальный автомобиль проезжает только один путь. Проблема взаимодействия индивидуальных автомобилей и сети разрешенных для них дорог есть аналог основной проблемы, связанной с построением бифуркационной проекции графа структур и событий.
Каждому бифуркационному событию соответствует не один, а несколько или бесконечное множество результатов, которые могут реализоваться после свершения события. Эти результаты образуют множество возможных результатов данного события. Если событие произошло, то из всего множества возможных результатов реализуется один, и дальнейшее развитие процесса происходит лишь по одному из возможных сценариев до тех пор, пока не произойдет новое событие с несколькими возможными исходами.
Таким образом, формируется новая размерность — бифуркационная размерность. При этом каждый вариант результатов взаимодействия может иметь свое количество результирующих структур.
С другой стороны, если взаимодействующие структуры рассматривать как единую динамическую систему, то бифуркационное событие — это такая качественная трансформация параметров системы, которая может вывести на несколько различных аттракторов (зон притяжения).
Перевязка аттракторной и вероятностной интерпретаций исходов бифуркационного события дала путеводную нить к выяснению механизмов многозначности результатов почти идентичных событий.
Будущее может быть известно лишь с какой-то вероятностью. Изучение законов природы позволяет лишь снизить до минимума неопределенность в этом знании (уменьшить число допустимых дорог, по которым должна двигаться автомашина).
Однако, будущее может через некоторое время стать настоящим и, если считать, что о настоящем известно все, то принципиально всегда можно уменьшить неизвестность будущего до нуля, сделав его настоящим, после чего оно становится прошлым, и вновь неизвестным, но по-другому.
В графе структур и событий могут быть выделены определенные области (ветви), начинающиеся с какого-либо события и кончающиеся каким-либо событием, которые обладают некоторой независимостью от остальных областей графа. Такие ветви были названы нами процессами.
Исследование процессов, аналогичных данному, то есть тому, в котором участвует исследуемая нами система, позволяет в случае бифуркционных процессов, определить несколько возможных траекторий движения и, зная частоту встречи той или иной траектории, приближенно определить вероятность реализации каждой из них.
Это можно сделать лишь в том случае, если нам удастся включить исследуемую систему в качестве кванта в какое-либо семейство систем — обобщённую волну — и исследовать эмпирически динамику поведения значительного количества аналогичных систем (квантов).
Каждому варианту возможной фазовой траектории изучаемой динамической системы как модели реального объекта можно сопоставить некоторое число, характеризующее относительную частоту встречи этого варианта в процессе эксперимента, называемое вероятностью реализации.
Выбор этих чисел производится таким образом, чтобы их сумма по всем вариантам равнялась единице.
2. Вектор вероятности бифуркационного события с конечным числом исходов
Любое бифуркационное событие при его анализе за счёт факторизации вероятностного пространства или идентификации его исходов может быть на первом этапе рассмотрения сведено к бифуркационному событию с двумя возможными исходами.
Варианты соответствующих исходов могут быть обозначены введением чисел 1–0. 1 — «да» — первый вариант результата события, 0 — «нет» — второй вариант результата события. Для дальнейшего рассмотрения, однако, целесообразнее ввести изоморфный аналог.
1 — первый вариант результата события — «да»,
— 1 — второй вариант результата события — «нет».
Предыдущий опыт («интуицио») позволяет нам с определенной точностью предсказать степень предпочтительности того или иного результата. Пока событие не произошло, мы можем лишь догадываться о том, какой вариант результата будет реализован. Наши догадки, в принципе, могут колебаться между — 1 и +1, при этом колебания обратимы и могут быть охарактеризованы некоторым числом а.
Чтобы понять, какую интерпретацию может иметь число а, можно привести пример.
Пусть имеется желоб длиной 2 см. В какой-то момент времени на желоб положен шарик. Этот момент можно считать началом события. В точках, расположенных от середины желоба на расстоянии —1 см и +1 см, находятся дырочки, в которые может провалиться шарик. Событие состоит в том, что фокусник катает шарик по желобу, стараясь, чтобы шарик не провалился, и продолжается до тех пор, пока шарик не провалится в одну из дырок. Положение шарика по длине желоба характеризуется тем самым числом а, которое было введено нами выше. Пока шарик не провалился, величина а может принимать любое значение. Все значения а могут быть достижимы. Когда же шарик провалился в одну из лунок — 1 или +1 — событие свершилось. Лунка символизирует один из вариантов результатов события с двумя исходами. Если подобный эксперимент проводить несколько раз, то возникает относительная частота (в пределе при очень больших значениях N, стремящаяся к некоторому числу, называемому нами вероятностью) того, что шарик провалится либо в точку +1 — p+ = N+/N, либо в точку —1 — p- = N-/N.
Аналогичное рассмотрение может быть проведено в общем (абстрактном) случае. Пусть бифуркационное событие имеет два исхода с вероятностями р+, p-,где обе вероятности могут принимать значения в диапазоне 0–1. В результате события вероятность изменяется таким образом, что либо р+ = 1, либо р+ = 0.
Так как р++ p- = 1, то можно ввести параметр ? такой, что р+ = cos2?, p- = sin2?.
Отсюда следует, что величину ? можно представить себе в виде единичного вектора ? = {?x, ?y}где ?х = cos?, ?y = sin?. Квадраты проекций вектора ? на оси х, у равны соответствующим вероятностям ?2x = р+, ?2y = Р-
Таким образом, выбор того или иного результата события может быть связан с вращением вектора ? в двумерном пространстве.
Пусть количество вариантов результатов данного события равно n. В результате события реализуется лишь одна из возможностей. Перед событием существует вероятность реализации каждой из возможностей pr. Сумма вероятностей реализации каждого из указанных исходов равна единице:

В результате свершения события вероятность реализации одного из результатов окажется равной 1, а вероятность того, что наступит какой-либо другой исход, окажется равной нулю. Набор вероятностей p — вероятностный вектор — коллапсирует к одному из единичных векторов, то есть он коллапсирует к одному из ортов системы координат, сформированных возможными исходами события.
Итак, перед самым событием существует некоторый вектор р, характеризующий распределение возможностей реализации тех или иных возможных результатов события. Этот вектор может быть назван вектором вероятности будущего события, n-мерный вектор p перед событием может, в принципе, принимать любые значения на n-1 — мерном многообразии, имеющем уравнение:

Предыдущий опыт может приближенно подсказать точку на многообразии, соответствующую моменту, предшествующему изучаемому нами событию, однако мы не можем предсказать точно, что произойдет в результате события.
Совсем по иному выглядит картина после происшедшего события. Событие произошло. Определенный результат реализовался, остальные не реализовались. Вектор p принял одно из n возможных значений. Можно сказать, что событие подействовало как оператор, резко уменьшивший область допустимых значений вектора p — c n— 1 — мерного многообразия — до одной из точек.
То же самое можно сформулировать и по-другому. Соотношения вероятностей попадания системы в одно из возможных состояний до и после события резко изменились. До события система еще имела возможность попасть в любое из допустимых состояний. После события возможность попадания во все состояния, кроме одного, оказались равными нулю.
Наблюдатель системы приобрёл значительную новую информацию не только о настоящем, но и о будущем системы. Здесь, как и ранее для случая с двумя исходами интуитивно появляется понятие информации как результата отождествления системы, которая до свершения события могла с некоторой вероятностью оказаться в одном из возможных состояний с некоторым конкретным состоянием.
Нашему рассмотрению может быть дана и другая математическая интерпретация. Пусть мы имеем фазовое пространство взаимодействующих структур, имеющее n аттракторов — зон притяжения; существует некоторая точка (или область), отделяющая друг от друга бассейны притяжения этих аттракторов. Перед событием фазовое состояние системы взаимодействующих структур попадает в указанную точку или область, выйдя из которой в процессе события оно попадает в бассейн притяжения того или иного аттрактора, откуда ей уже не вернуться назад.
В классической теории вероятностей вместо вектора/) вводится некоторая функция на множестве возможных исходов бифуркационного (случайного) события.
Рассматривается в элементарном случае конечное множество ? элементов ?, которые мы будем называть элементарными исходами бифуркационного события и ?(?) множество подмножеств из ?. Элементы множества ?(?) будем называть совокупностями исходов бифуркационного события, а ? — пространством элементарных исходов бифуркационного события.
Каждому элементу ? из ? поставлено в соответствие неотрицательное действительное число p1, — вероятность реализации i-го исхода бифуркационного события. При этом выполняется условие 
В этом случае p1, …, pn суть вероятности элементарных исходов ?1, …, ?n или просто элементарные вероятности.
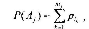
Каждому множеству A из ?(?) поставлено в соответствие неотрицательное действительное число P(A). Это число называется вероятностью реализации совокупности исходов. Оно определяется как сумма вероятностей элементарных исходов, входящих в A:

где ik — номера элементарных исходов, входящих в совокупность Aj.
Если P(A) > 0, то частное Р(ВА) = Р(АВ)/Р(А), где AB — пересечение множеств А и В, называется условной вероятностью реализации совокупности исходов В при условии реализации совокупности исходов. Отсюда непосредственно следует, что Р(АВ) = Р(ВА)Р(А).
Заключение по индукции даёт общую формулу Р(А1А2…Аn) = Р(А1)Р(А2А1)P(A3A2A1)…Р(АnА1…Аn-1) (теорема умножения).
Отсюда получаем Р(АB) = Р(А)Р(ВА)/Р(B), и далее формулу полной вероятности Р(В) = P(A1)P(BA1) + P(A2)P(BA2) +…+ P(Аn)P(BАn),
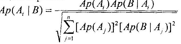
где А1+А2+…+ Аn = ? и В — произвольная совокупность исходов, и формулу Байеса:

Введение вектора ? = {?1}, где ?i =?рi, позволяет вместо некоторой аддитивной меры, рассматривать метрический вектор единичной длины в евклидовом пространстве. В этом случае вся изложенная выше теория может быть переформулирована в терминах амплитуды вероятности.
Каждому множеству А из ?(?) может быть поставлено в соответствие неотрицательное действительное число Аp(А). Это число называется амплитудой вероятности реализации совокупности исходов А. Оно определяется как корень квадратный из суммы квадратов амплитуд вероятности элементарных исходов, входящих в А:

где ik — номера элементарных исходов, входящих в совокупность Аj. Ар(?) = 1. Если А и B не пересекаются, то [Ap(A+B)]2 =[Ар(А)]2 + [Ар(В)]2.
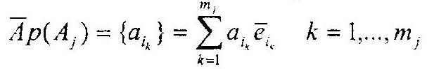
Каждому множеству Аj, состоящему из mj элементарных исходов бифуркационного события, соответствует некоторый mj-мерный евклидов вектор Ар(Аj) = {ajk} k = 1,…,mj, модуль которого равняется

При этом разложение множества Аj на сумму взаимно не пересекающихся множеств эквивалентно разложению вектора 
на сумму взаимно ортогональных векторов, каждый из которых имеет координаты, равные амплитудам элементарных событий, входящим в множество, которое он характеризует, еj — орт координаты, характеризующей i-й элементарный возможный исход бифуркационного события.
Формула Байеса переписывается в терминах амплитуды вероятностей следующим образом:

3. Случайные величины и их связь с параметром целого. Комплексный волновой вектор
Пусть дана однозначная функция s(?) исхода бифуркационного события ?. Тогда функция Рs, определённая формулой Рs(А) = Р{s-1(A)}называется вероятностной функцией s, а функция АРs амплитудой вероятностной функции s.
Функция Fs (S) = Рs (-бесконечность, S) = Р {s(?) < S} называется функцией распределения случайной величины s.
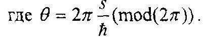
Если свойства состояний системы являются периодическими функциями от s, с периодом h, то назовём величину s действием и вместо величины s введём спиральную переменную, путём отображения прямой линии s на цилиндрическую круговую спираль с основанием цилиндра единичного радиуса.
Точка на этой спирали может быть описана спиральным комплексным числом с единичным модулем e2ms/h. Проекцией каждого такого числа на комплексную плоскость является точка на окружности единичного радиуса, описываемая алгебраическим комплексным числом e i?.

Как величина действия s. так и величина периода действия h, могут быть приняты в качестве параметра целого при исследовании системы на ранних стадиях.
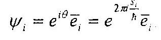
Следующим шагом в анализе бифуркационного события является введение в рассмотрение, по аналогии с действительным вектором вероятности, комплексного волнового вектора ?.
Рассмотрим первоначально компоненты этого вектора. Каждому элементарному исходу бифуркационного события (каждому элементу ?i) сопоставим единичный вектор ej направленный вдоль оси абсцисс комплексной плоскости zi.. В этом случае можно ввести собственный волновой вектор данного исхода бифуркационного события

принимающий значения в любой точке единичного круга комплексной области zi, включая его центр (в случае невозможности данного исхода) и окружность единичного радиуса (в случае неотвратимости наступления события). Наряду с этим вводим единичный комплексный собственный вектор.

Сумма комплексных волновых векторов для всего конечного множества возможных исходов формирует полный волновой вектор бифуркационного события, или волновой вектор возможных состояний системы.
4. Энтропия будущего и информация о прошлом бифуркационного события
В синергетической методологии существенную роль играют логарифмы вероятностей исходов бифуркационного события, совокупность которых для данной системы можно представить в виде собственных чисел некоторого оператора, названного нами оператором энтропии.
Осреднение собственных чисел оператора энтропии по всему пространству возможных исходов бифуркационного события позволяет получить некоторое число, которое может быть названо энтропией будущего этого события.
Это число даёт общее представление о степени неопределённости исходов бифуркационного событии и является важной характеристикой исследуемой системы.
Однако, величина энтропии зависит от нашего произвола в выборе вариантов элементарных исходов события, особенно в случае, если пространство возможных исходов представляет собой континуум. Поэтому этот параметр должен быть использован достаточно осторожно.
Более разумно принять несколько вариантов разбиений пространства возможных исходов события.
Для каждого варианта разбиения можно подсчитать своё значение энтропии и максимальное её значение, соответствующее равномерному распределению вероятностей различных вариантов исходов.
Различие между полученным значением энтропии для данной системы и максимальным её значением при данном числе разбиений характеризует доступную нам информацию о возможном поведении системы.
В качестве пространства разбиений для системы, поведение которой нельзя считать детерминированным, можно на первом этапе исследований принять область значений параметра целого. Если поведение системы с некоторым приближением можно считать детерминированным, то энтропия события, в котором участвует система, может быть принята равной нулю, и мы можем вернуться к исследованию объекта как детерминированной динамической системы.
При вычислении энтропии бифуркационного события необходимо рассматривать несколько возможных вариантов.
Первый вариант соответствует наличию дискретного набора возможных состояний системы после совершения события. Если вероятности каждого из вариантов заданы или определены эмпирически, то энтропия события определяется однозначно.
В случае, если возможные исходы бифуркационного события до его свершения составляют континуум и плотность вероятности является гладкой функцией от меры, такой подход невозможен, так как величина энтропии зависит от числа разбиений континуального множества и стремится к бесконечности при увеличении числа элементов разбиения. Однако в этом случае энтропия события может быть представлена в виде двух составляющих, одна из которых стремится к бесконечности, сохраняя универсальный закон зависимости от числа разбиений, а другая в пределе не зависит от числа разбиений, а лишь от формы кривой распределения плотности вероятности по пространству возможных состояний. Эту последнюю часть и можно принять за энтропию события в этом случае.
После свершения бифуркационного события система оказывается в некотором определённом состоянии. Её энтропия обращается в нуль. А наблюдатель получает количество информации, равное энтропии события до его свершения.
5. Граф структур и событий. Бифуркационная координата. Переходные матрицы и дифференциальные уравнения
У исследуемой системы можно выделить два характерных типа поведения.
Периоды сравнительно плавных изменений, когда система может быть приближённо описана как детерминированная и для её описания пригодны методы теории динамических систем (русла в терминологии Г.Г.Малинецкого). Этим периодам соответствуют рёбра графа структур и событий.
Периоды резких бифуркационных изменений — бифуркационные события — (джокеры в терминологии Г. Г. Малинецкого), в результате которых система может оказаться не в одном детерминированном, а с различной степенью вероятности в каждом из спектра возможных состояний, выбор одного из которых заранее не предрешён.
Приближённое графическое представление последовательности связанных между собой бифуркационных событий, которые уже произошли и которые ещё могут произойти, мы назвали графом структур и событий.
В графе структур и событий особо следует выделить текущий момент времени.
Позади него прошлое, события в котором уже свершились, впереди — будущее, которое должно быть предсказано с той или иной степенью вероятности. Предсказание будущего, получение знания о будущем — основная задача исследователя.
При анализе графа целесообразно выделить в качестве опорных два предельных случая.
Граф с бесконечной памятью
Пусть система устроена таким образом, что после каждого бифуркационного события она может оказываться только в новых состояниях, отличных от предыдущих. Причём, время и относительные вероятности реализации этих состояний известны.
Граф становится «математическим деревом».
Вероятность и амплитуду вероятности для каждого состояния в будущем можно вычислить как произведение относительных вероятностей или амплитуд по единственному пути, ведущему к данному состоянию в соответствии с рассмотренными выше формулами элементарной теории вероятностей.
Если мы знаем, в каком состоянии оказалась система в данный момент, то можем определить не только всю цепочку бифуркационных событий, которую она прошла, но и все их исходы. Поэтому такой граф назван нами графом с бесконечной памятью.
Однако, определение относительных вероятностей и моментов свершения будущих бифуркационных событий представляет отдельную задачу, решение которой относится к проблеме получения знаний. В случае графа с бесконечной памятью она практически неразрешима, если знания о будущем не даны нам априори.
Граф системы с конечным числом состояний
В этом случае появляется зависящая от времени матрица вероятностей перехода из одного состояния в другое при совершении серии бифуркационных событий. Если бифуркационные события происходят регулярно, то могут быть рассчитаны асимптотические статистические распределения вероятностей и определено асимптотическое значение энтропии системы в будущем.
Если частота бифуркационных событий в выбранном нами масштабе времени стремится к бесконечности, а число состояний системы становится большим, что чаще всего происходит в системах состоящих из большого числа элементов, то к исследованию графа структур и событий можно применять методы случайных процессов. Можно считать происходящие процессы непрерывными и для их изучения использовать стохастические и детерминированные уравнения сплошной среды.
Более 800 000 книг и аудиокниг! 📚
Получи 2 месяца Литрес Подписки в подарок и наслаждайся неограниченным чтением
ПОЛУЧИТЬ ПОДАРОК