ГЛАВА 1 Мир электричества

Процесс популяризации электричества — пример симбиоза науки и технологии; изучение данного явления шло параллельно с развитием методов его генерации, хранения и транспортировки. С ранней молодости сербский ученый Никола Тесла демонстрировал интуитивное понимание сути электричества и его технологических характеристик, что привело изобретателя к открытию вращающегося магнитного поля. Таким образом он смог достичь невероятного для той эпохи результата — сконструировать электрический двигатель переменного тока, имевший более высокую эффективность, чем другие двигатели, существовавшие на тот момент.

В автобиографии Никола Тесла подробно останавливается на эпизоде, который произошел холодным февральским днем 1882 года в Будапеште: тогда он, еще будучи инженером-электриком, вышел на прогулку в парк Варошлигет вместе со своим другом Аниталом Сигеты. Солнце клонилось к закату, и будущий великий изобретатель, в голове которого возникали самые амбициозные планы и идеи, смотрел на линию горизонта. Он все еще чувствовал слабость после недавно перенесенной нервной болезни. Врачам не удалось поставить точный диагноз, хотя сегодня, основываясь на последних достижениях науки, мы можем сказать, что симптомы Теслы напоминают расстройство, называемое синестезией, которое заключается в том, что восприятие одного органа чувств смешивается с восприятием другого органа чувств, который в данном случае не должен быть задействован. Иногда это сопровождается сильнейшими зрительными галлюцинациями.

Возможно, в описываемый момент, в парке, у Теслы произошла одна из вспышек его болезни. Сигеты вдруг понял, что идет по парку один, и обернулся. Никола (в то время не оставлявший навязчивой мысли о создании индукционного энергетически эффективного двигателя) стоял как парализованный, с потерянным взглядом. Вдруг он очнулся от транса, принялся искать палку и, схватив ее, стал что-то рисовать на земле. Сигеты, который тоже был инженером, сразу понял, что каракули, в спешке начерченные его другом, — схема магнитного поля, образованного несколькими электрическими токами. Когда он спросил, что это значит, Никола объяснил, что обнаружил решение проблемы создания индукционного двигателя, то есть двигателя, приводимого в действие переменным током. Его изобретение было значительно более эффективным и простым, чем другие, существовавшие на тот момент в данной области.

В возрасте 26 лет этот молодой серб благодаря своему мощнейшему «больному» интеллекту разработал схему, означавшую радикальную перемену в использовании электричества как источника энергии. Правда, рассказать о простейшем принципе и невероятных возможностях переменного тока перед членами Американского института электроинженеров он смог только через шесть лет. Тогда, 16 мая 1888 года, представляя свой доклад, Тесла использовал по сути ту же схему, которую нарисовал палкой на земле в парке Варошлигет. После доклада он был уверен в своем триумфе и даже не представлял, сколько трудностей ему придется преодолеть в течение жизни вместо того, чтобы пользоваться заслуженной поддержкой и реализовывать свои гениальные идеи.

ГЕНИЙ ПРИХОДИТ В ЭТОТ МИР

Никола Тесла родился в 1856 году, в полночь с 9 на 10 июля. Он появился на свет в доме рядом с православной церковью в деревне Смилян, расположенной на горном хребте Велебит, тянущемся вдоль побережья. Хорватия на тот момент должна была превратиться в приграничную провинцию Австро-Венгерской империи Габсбургов. Отец будущего изобретателя, преподобный Милутин Тесла, служил приходским священником. Семья происходила с запада Сербии и относилась к перемещенному религиозно-этническому меньшинству.

Детство Николы прошло на фоне буколических сельских пейзажей хорватских гор, но надо сказать, что ни место, ни время его рождения не способствовали интеллектуальному развитию мальчика. Безграмотность была всеобщей, и для маленького Нико существовали три дороги: работа в поле, пополнение рядов армии или церковная карьера. При этом в его семье не было земледельцев, а самого преподобного Милутина Теслу в свое время исключили из офицерской академии за плохую дисциплину. В этой ситуации три указанные возможности сводились к одной — служению Богу.

У Нико были старший брат Дане и три сестры. Его мать, Джука Мандич, принадлежала к роду умелых мастеров, которые создавали различные механические приспособления для работы по дому и в сельском хозяйстве. От них она унаследовала талант и практическую сметку. Джука сама мастерила множество приспособлений для повседневных домашних дел. Например, одним из ее изобретений был автоматический взбиватель яиц. Вспоминая о матери, Никола Тесла всегда с горечью говорил, что при других обстоятельствах она могла бы, несомненно, далеко пойти.

Соединение этих двух разных миров (отца — образованного человека с исключительной памятью, декламировавшего длинные отрывки из классической поэзии — и умелой, своевольной матери) дало Нико большую чуткость мировосприятия и железную силу воли. Возможно, именно под влиянием матери в раннем возрасте он начал задумывать удивительные устройства, такие как безлопастное гидравлическое колесо, предшествовавшее его будущей безлопастной турбине, или двигатель, приводимый в действие жуками. Любопытство мальчика не знало границ. Чего он только ни делал: например, однажды в ветреный день попытался взлететь с крыши хлева, используя зонтик, или не раз принимался разбирать дедовские часы, чтобы потом безуспешно пытаться собрать их.

В воспоминаниях Теслы присутствует и повествование о том, как он в детстве починил новый пожарный насос, обнаружив засор в шланге, выкачивающем воду из реки. До него никто в деревне не обращал на это внимания. Обрадованные соседи носили Николу на плечах, и он был так счастлив, что решил стать инженером, хоть это решение и предвещало в дальнейшем конфликт с отцом.

Когда брату будущего изобретателя, Дане, исполнилось 12 лет, он погиб из-за несчастного случая, связанного с лошадью. Эта трагедия очень травмировала маленького Николу и тревожила его всю оставшуюся жизнь. Некоторые биографы предполагают, что, возможно, Тесла был частично виноват в несчастном случае, испугав лошадь. Как бы то ни было, память о том ужасном происшествии окрасила в черный цвет его детские воспоминания и сильно повлияла на его личность. Как рассказывал сам Никола, его брат был очень умным мальчиком, гордостью родителей, и после его гибели Милутин и Джука сосредоточили все свои чаяния на образовании младшего сына, постоянно занимаясь тренировкой его памяти и дисциплиной. Нико, со своей стороны, постарался возместить им утрату и горечь несбывшихся надежд, поэтому его детство прошло под знаком невероятных усилий и постоянного недовольства собой. Впоследствии он начал отдаваться работе с поистине монашеским аскетизмом, что вкупе с его необыкновенными личностными характеристиками вызвало к жизни различные мании и фобии, близкие по своей природе к маниакальному неврозу.

Не думаю, что есть какое-либо более сильное ощущение для изобретателя, чем то, когда он видит, что его создания работают. Это ощущение заставляет забыть о еде, о сне — обо всем.

Никола Тесла

Спасением Теслы всегда было живое воображение, вероятно, связанное с его прекрасными способностями к визуализации мыслей. Ему нравилось представлять себе путешествия, в которых он знакомился с самыми разными людьми, он мог создавать у себя в голове целые вселенные. Годы спустя Тесла окажется чрезвычайно ленив в вопросах подготовки набросков и чертежей. Изобретатель заверял всех, что предпочитает совершенствовать модели в уме. То есть он обладал способностью, свойственной незаурядному интеллекту. Отвращение Теслы (имевшего фотографическую память) к планам и схемам вызывало раздражение партнеров и недоверие коллег, а также делало затруднительным процесс получения патентов на изобретения.

Уже в старости Тесла вспоминал, что его проницательный ум впервые столкнулся с явлением электричества холодным зимним вечером, когда их дом оказался засыпан снегом. Он вышел на улицу поиграть и увидел, что ходьба людей по снегу сопровождалась свечением, а бросив снежок в камень, заметил, как возникли искры, похожие на те, которые появлялись, когда его тетка большим ножом колола сахарную голову. Вернувшись домой, пока его мать готовила ужин, Тесла смотрел в окно на заснеженные поля, и его кот Мацак подкрался к нему поближе. Никола увидел, что бок животного светится, а когда погладил кота, засверкали искры. Мать сказала ему бросить играть с Мацаком, если он не хочет устроить пожар, а отец объяснил, что эти искры называются электричеством. Это объяснение очень впечатлило Нико и запомнилось ему на всю жизнь: мальчику еще не приходилось слышать о настолько могущественной невидимой силе, способной вызвать пожар в доме. Позже, когда в комнате стало совсем темно, Никола увидел, что Мацак переступает лапами так, будто движется по мокрой поверхности, а шерсть кота освещается и образует ауру.

С того далекого дня Тесла не переставал думать о силе, вызывающей столь невероятные явления. Как он вспоминал впоследствии, его мучил вопрос: нельзя ли сравнить электричество с огромным котом, прекрасным и беспомощным, но при этом страшно опасным? Способно ли электричество стать его другом, как Мацак? Мог ли он погладить его и собрать непослушные искры? Маленький Нико настолько увлекся, что начал читать книги по физике, стремясь найти ответ на самый главный вопрос, который вертелся у него в голове: что такое электричество?

ЧТО ТАКОЕ ЭЛЕКТРИЧЕСТВО

У материи есть особое свойство — электрический заряд. Он может быть двух видов — положительный и отрицательный, — и надо сказать, что разноименные электрические заряды притягиваются с необыкновенной силой, как это происходит внутри атомов. Носителем элементарного положительного заряда является протон, отрицательного заряда — электрон. Электрический заряд вызывает физические явления, в основном связанные с взаимодействием и энергией электронов и проявляющиеся в самых разных формах — термических, механических, световых, а также химических.

Обычно когда мы говорим об электричестве, то имеем в виду свойство материи. Но понятие «электричество» имеет еще два определения: форма энергии, основанная на указанном свойстве, и раздел физики, изучающий электрические явления. В любом из трех своих значений слово «электричество» играет фундаментальную роль для человеческого общества. Современный мир не был бы возможен без него. Тем не менее человечество обходилось без электричества до начала XX века.

Хотя явления, связанные с электричеством, можно наблюдать в природе, люди прошли долгий путь до полного понимания данного свойства материи и возможности контроля над ним, что позволило значительно повысить уровень жизни. Уже греки наблюдали, как один из видов ископаемой смолы приобретает свойство притягивать перья, нитки и пух при натирании его куском кожи. Этот вид смолы мы знаем сегодня как янтарь; греки же называли его электрон. В елизаветинскую эпоху англичанин Уильям Гильберт (1544-1603), исследователь магнетизма, открыл, что трение придает данное свойство и другим материалам. Именно благодаря ему в языке закрепились слова «электричество» и «электрический» — от греческого «электрон».

В 1733 году французский химик Шарль Дюфе (1698-1739) открыл, что два стержня из одного материала — янтаря или стекла — при натирании взаимно отталкиваются. При этом стержни из разных материалов притягиваются (см. рисунок 1).

РИС. 1

Поведение стержней Дюфе при натирании. Стержни из одного материала испытывают силу отталкивания (F); если материалы стержней разные, то возникает сила притяжения.

Подобным образом ведут себя и полюса магнита. Если же стержни соприкасаются, взаимодействие прекращается. Поэтому казалось, что существуют два разных вида «электричества».

Североамериканский политик, ученый и изобретатель Бенджамин Франклин (1706-1790) первым стал говорить о наличии положительного и отрицательного заряда. Когда он тер стеклянный стержень, «электричество» текло внутрь стержня, «положительно заряжая его», а при трении янтаря «электричество» выходило из него, «заряжая отрицательно». Соприкосновение стержней с противоположными зарядами заставляло перетекать положительный заряд в отрицательный до момента достижения равновесия. В 1785 году Шарль Кулон измерил отношение и величину притягивания и отталкивания зарядов. Закон Кулона утверждает, что сила обратно пропорциональна квадрату разделяющего заряды расстояния и пропорциональна величине зарядов.

Что происходило внутри стержней, которые бережно держали в руках столько знаменитых ученых? Чтобы понять это, нужно было исследовать материю, структуру атома настолько глубоко, насколько мы изучили их сегодня. В несколько упрощенном виде можно сказать, что атом состоит из ядра, в которое включены протоны и нейтроны. В ядре сконцентрирована основная часть массы атома, другую часть массы представляют электроны, вращающиеся по орбитам вокруг ядра. Структура атома является стабильной в большой степени благодаря электромагнитной силе. Общий заряд протонов положительный, у нейтронов, как следует из их названия, — нейтральный, у электронов — отрицательный. Атом в своем единстве является нейтральным. При этом в некоторых материалах электроны обладают достаточной степенью независимости от ядер и могут перемещаться относительно них.

ЭЛЕКТРИЧЕСКАЯ ПРОВОДИМОСТЬ

Кроме проводников и изоляторов, сегодня известен еще один вид материалов — полупроводники. Они могут вести себя как проводники или изоляторы при воздействии определенных обстоятельств, например давления или температуры. Полупроводники чрезвычайно важны для электронных устройств. Согласно знаменитой зонной теории энергетических уровней, орбиты электронов, вращающихся вокруг ядер, называются энергетическими «уровнями» или «слоями». Существуют три зоны уровней: зона валентности, зона проводимости и запрещенная зона. В зоне валентности вращаются электроны, которые атом может отдать в случае их привлечения зоной валентности другого ближайшего атома. В зоне проводимости находятся электроны, которые участвуют в проводимости, то есть могут перемещаться под действием электрического поля. Запрещенная зона разделяет две предыдущие, электронам нужно перескочить через нее для того, чтобы переместиться из одной зоны в другую. Речь идет не о пустом пространстве, а о необходимой энергии для разрыва связей между электронами. Количество энергии, требующееся электрону для того, чтобы перескочить через запрещенную зону, определяет электропроводимость данного материала.

У металлов нет запрещенной зоны, поэтому электроны могут свободно перепрыгивать из зоны валентности в зону проводимости.  

Зона проводимости - Пустая зона проводимости.

Запрещенная зона - В изоляторе энергия, требующаяся для перескакивания через зону (Eg), очень высока, электроны не могут ее преодолеть.

Зона валентности - Заполнена электронами, которые не могут пройти через запрещенную зону.

Зона проводимости - Со свободными электронами.

Запрещенная зона - В полупроводнике Eg низкая, атомы могут преодолеть ее при наличии дополнительной энергии, добавляющейся к собственной энергии.

Зона валентности - С дырками.

Перемещение (поток) электронов и называется электрическим током. Большая часть вариантов практического применения электричества связана с потоком электронов, который наблюдали, но не замечали первые исследователи.

После открытия базовых аспектов электричества ученым пришлось приложить много усилий, чтобы исследовать явление более глубоко. Экспериментаторы XVIII века заметили, что электричество свободно проходит через одни тела, такие как металлы (сегодня мы называем их «проводники»), и не может с легкостью пройти через другие, такие как стекло или янтарь, которые сегодня известны как «изоляторы». Возникла мысль об использовании данного свойства для того, чтобы «поймать» и, возможно, хранить электричество. Для достижения этих целей нужно было постепенно накопить большой электрический заряд в проводнике, затем изолировать его стеклом или слоем воздуха, чтобы препятствовать потерям электричества.

Прибором, отвечавшим всем перечисленным требованиям и известным сегодня как конденсатор, стала лейденская банка, которую одновременно и независимо друг от друга создали в 1745 году немецкий профессор Георг фон Клейст (1700-1748) и голландский физик Питер ван Мушенбрук (1692-1761). Сосуд — стеклянную банку — заряжали с помощью металлического стержня, проходящего через пробку; заряд накапливался в стекле. Британец Уильям Уотсон (1715-1787) добавил к этой конструкции в 1747 году еще одну деталь: он предложил оклеивать банку листами олова, что увеличивало заряд (см. рисунок 2). Благодаря сильному заряду банки восхищенные зрители могли наблюдать целый спектакль с искрами и треском, а при соприкосновении с банкой возникал разряд. Так что же происходило внутри?

РИС. 2

Элементы и устройство лейденской банки.

Лейденская банка объясняет основные электрические явления. Электроны естественным образом стремятся перейти из зоны с высокой плотностью заряда в зоны с меньшей плотностью. Сила, влекущая за собой электроны, или, другими словами, дающая импульс движению зарядов, называется «электродвижущей силой» (ЭДС), или, с позиции энергии, «электрическим потенциалом». Если электрический потенциал возрастет в достаточной степени, электроны займут пространство, разделяющее отрицательный и положительный полюса. Тогда они будут проходить по воздуху, испуская искры и издавая треск. Искры возникают из-за столкновения электронов с молекулами воздуха; звук происходит от расширения воздуха при резком нагревании. Разность потенциалов между двумя точками проводника определяется с помощью физической величины, называемой электрическим напряжением; прибор для измерения напряжения — вольтметр.

В XVIII веке, поражаясь искрам и треску, производимым лейденской банкой, немало ученых должны были задуматься, не являются ли гром и молнии явлениями того же типа. Определенно именно этот вопрос привел Бенджамина Франклина к знаменитому опыту с воздушным змеем, который лучше не пытаться повторить, так как, по словам самого ученого, самым удачным результатом было то, что ему удалось выжить.

ГРОМООТВОД ФРАНКЛИНА

Во время грозы знаменитый изобретатель Бенджамин Франклин (известный также тем, что стал одним из отцов-основателей США) запустил воздушного змея с проволокой на конце, привязав к нему шелковую нить, — внизу на нити был металлический ключ.

Когда он приближал руку к ключу, от ключа летели искры; это доказывало, что электричество проходит по нити. С помощью такой процедуры он заряжал лейденские банки. Испытывая тот же детский восторг, с каким столетие спустя маленький сербский мальчик Никола Тесла наблюдал статическое электричество на снегу и на шерсти кота, Бенджамин Франклин открыл, что молния и гром являются эффектами от некоего подобия космической лейденской банки, в которой электрически заряженные грозовые облака — один из полюсов, а земля — другой. Так совершился решительный шаг на пути к пониманию электрических явлений, хотя путь этот будет еще долгим.

МЕЧТЫ ОБ ЭЛЕКТРИЧЕСТВЕ

Благодаря неутомимому любопытству и способности к самостоятельному обучению в шесть лет Нико уже знал примитивные основы электрических явлений. Как раз тогда его отца перевели в Госпич, главный город провинции, и вся семья перебралась туда вместе с ним. В школе в Госпиче таланты и интеллект Нико расцвели, особенно его отличали по математике. Поступив в десять лет в реальную гимназию, он смог позволить себе не сдерживать своей природной склонности к физике — благодаря не только поддержке преподавателей, но и наличию хорошо оснащенной лаборатории. (Позже в мемуарах Тесла писал, что мечты об экзотических приключениях были забыты ради таких необыкновенных понятий, как энергия, сила природы, ветер, солнце, вода...) Прочитав про Ниагарский водопад, Нико представил своей семье проект турбины, которая позволила бы воспользоваться природной мощью воды; он утверждал также, что однажды поедет строить эту турбину в Америку. Вряд ли мальчик тогда мог представить, что через 30 лет его «американская мечта» сбудется.

В детстве Нико часто болел. А в дни школьных каникул он тосковал по учебе и с жадностью проглатывал попадавшиеся ему книги вместо того, чтобы дать своему разуму отдохнуть. У него началось странное расстройство зрения: в моменты сильного напряжения или эйфории его посещали видения. Тесла говорил, что видит вспышки, световые контуры и фантастические объекты, при этом видения для него становились частью реального мира. Возможно, гиперчувствительность болезненного мальчика и повышенная мозговая активность, длившаяся до поздней ночи, — одно из объяснений данных эпизодов.

Видения и образы еще долго преследовали его: Никола часто пытался записать то, что видел, но эти записи носят довольно путаный характер, и им сложно дать однозначную оценку.

Также мы не обладаем достоверными медицинскими сведениями, потому что лечившие его в юности врачи не смогли поставить диагноз. Как уже замечалось ранее, некоторые подобные симптомы свойственны синестезии.

Для продолжения учебы в 1870 году родители отправили Теслу в реальное училище Карловаца, за 150 км от дома. Там он жил в доме одной из теток, вышедшей замуж за полковника Бранковича. Учился Тесла прекрасно: решающее влияние на мальчика оказал преподаватель по математике и физике, открыв для него чудесный мир электричества, а также продемонстрировав собственные изобретения. Блестящий ученик Нико закончил четырехлетний курс всего за три года. По его собственным воспоминаниям, тетка кормила его «как канарейку», а когда полковник предлагал ему какое-нибудь изысканное сочное блюдо, она укоряла его: «Нико такой хрупкий». Действительно, Тесла неоднократно болел малярией и не отличался крепким здоровьем. Однако в Карловаце, вдали от родительского влияния, мальчик впервые осознал, что сможет быть счастливым, если получит возможность заниматься экспериментами. Чтобы добиться своего, требовалось заставить отца переменить свою точку зрения.

Эта идея пришла мне в голову как вспышка молнии, истина раскрылась передо мной в одно мгновение.

Никола Тесла

Парадоксально, но союзником на пути к достижению цели стала его болезнь. Вопреки предупреждениям семьи, Нико вернулся домой в разгар эпидемии холеры, бушевавшей в тех местах, и заразился. Он не вставал с постели в течение долгих девяти месяцев, и все это время врачи боялись за его жизнь. Сломленные горем родители постоянно находились рядом.

Тесла воспользовался этой ситуацией и вырвал у них обещание: если он переживет болезнь, то ему позволят учиться инженерному делу. «Если ты поправишься, обещаю отправить тебя в самую лучшую в мире техническую школу», — ответил отец.

Но все было не так просто. В 1874 году, едва оправившись, Никола был призван в армию, и служить он должен был три года. Если в чем-то и совпадали взгляды отца и сына, так это в неприязни к армии. Милутин отправил его пожить в горы в Томингай, постаравшись предпринять все возможное, чтобы Николу освободили от службы по состоянию здоровья. Следуя наставлениям отца, Тесла посвятил свое изгнание, проходившее на фоне буколических пейзажей, физическим тренировкам. Кроме того, в это время у него родились новые идеи. Они представлялись совершенно невозможными, но в них улавливалась некая интуитивная догадка. Никола придумал туннель под Атлантикой для почтовой связи Америки и Европы, и даже более того — гигантское кольцо по экватору Земли, которое должно было вращаться со скоростью нашей планеты и превратиться в гигантскую цепь коммуникационных станций. В таком виде эта идея напоминает современные геостационарные спутники, однако проект Теслы был еще более масштабным: если бы к кольцу была приложена сила, имеющая противоположный знак по отношению к вращению планеты, кольцо было бы зафиксировано, что позволило бы совершать быстрые перемещения. По расчетам юного изобретателя, с помощью такой системы возможно осуществить кругосветное путешествие всего за один день. Кипучее воображение Теслы нельзя было назвать его хорошим союзником.

Спустя несколько месяцев, уже в 1875 году, благодаря стипендии пограничной военной службы Никола Тесла поступил в Технический университет Граца. Ему исполнилось 19 лет, и он оказался за 360 километров от родительского дома: Тесла уезжал все дальше, это было предвосхищением его будущих путешествий. Наконец-то он начал заниматься инженерным делом, получил возможность понять все секреты электричества, прочесть книги великих ученых и исследователей — от Гальвани до Максвелла, не забывая, конечно, о Фарадее. Никола жаждал глубоко изучить не только теорию, но и практическое применение электричества, разобрав собственными руками устройства, занимавшие его деятельный ум: электромагниты, динамо-машины, двигатели...

Батарейка Вольты (Вольтов столб).

Соединение двух разных металлов вызывает поток электронов, перемещающихся между блоками через картон или сукно, смоченные в электролите.

ОТ СТАТИЧЕСКОГО ЭЛЕКТРИЧЕСТВА К ЭЛЕКТРИЧЕСКОМУ ТОКУ

Пионеры, посвятившие себя мистическому явлению под названием «электричество», начали его изу-чение со статических проявлений. Однако история электричества была «запущена» еще в 1791 году, когда анатом Луиджи Гальвани (1737-1798) занимался вскрытием лягушки. Итальянец заметил, что мышцы лапок лягушки сокращаются, если к ним одновременно подносить два разных металла, будто их приводит в движение лейденская банка. Гальвани решил, что в мускулах должно содержаться в каком-то виде «электричество», проявляющее свои свойства при контакте с металлом.

Соотечественник Гальвани, физик Алессандро Вольта (1745-1827), не был согласен с такой трактовкой, пребывая в уверенности, что заряд возникает не в мышцах животного, а при соединении двух металлов, и попытался доказать это в 1800 году. Вольта экспериментировал с разными металлами, которые контактировали у него без мышечных волокон, посредством растворов. Он помещал металлы в сосуды с водой, где была высокая концентрация соли, и складывал их один на другой.

Чтобы жидкость не проливалась, он заполнял сосуды чередующимися дисками из меди и цинка, между которыми помещал прокладки из картона или сукна, пропитанные электролитом. Вольта обнаружил, что эти сосуды дают постоянный ток, в отличие от лейденской банки, где заряд накапливается и происходит мгновенная разрядка. Батареи Вольты, как их назвали в честь изобретателя, стали первым устройством в истории для получения электрической энергии. Напряжение батареи измеряется в вольтах (тоже в честь изобретателя).

МАГНИТНОЕ ПОЛЕ

Понятие магнитного поля — одно из основных в физике. Оно возникло в силу необходимости объяснить взаимодействие на расстоянии между телами. Вначале его определяли как пространство, в котором распространяются потенциальные силы, проявляющие себя при особых обстоятельствах. Фарадей предложил эту идею для объяснения действия магнита. Наблюдая за мгновенным распределением железных опилок, рассыпанных вокруг магнита, он подумал, что в пространстве должны существовать невидимые силы, готовые проявиться. После этого данная идея стала применяться ко всем дистанционно действующим силам: Земля образует вокруг себя гравитационное и магнитное поля, электрический заряд образует электрическое поле и так далее.

В середине XIX века английский изобретатель-самоучка Майкл Фарадей (1791-1867) сделал решительный шаг к пониманию электрических явлений. На основе экспериментальных данных, без опоры на математику, он связал электричество с магнетизмом — прежде данные явления изучались отдельно. Фарадей открыл электромагнитную индукцию, позволившую создать генераторы и электрические двигатели, а также законы электролиза. В результате его считают отцом электромагнетизма и электрохимии.

РИС. 3

Эффект Эрстеда, согласно которому при прохождении тока по проводнику рядом с компасом стрелка компаса отклоняется в направлении проводника. Фарадей и Ампер частично основывали свои работы на открытии датского ученого, установившего связь электричества и магнетизма.

Фарадей изучил старый опыт, который до сих пор показывают на уроках физики: если рассыпать железные опилки на бумаге, расположенной над магнитом, то они образуют кривые линии, соединяющие полюсы магнита. Фарадей заявил, что эти силовые магнетические линии — визуальный образ магнитного поля. С другой стороны, Фарадей знал об открытом датским ученым свойстве, которое устанавливало несомненную связь электричества и магнетизма. В 1811 году Ханс Кристиан Эрстед (1777-1851) увидел, что при расположении компаса возле провода, по которому пропускается электрический ток, стрелка отклоняется, занимая перпендикулярное положение к проводу (см. рисунок 3). Фарадей догадался, что электрический ток тоже может образовывать магнитные силовые линии вокруг провода.

Эти догадки смог подтвердить Андре-Мари Ампер (1775— 1836), продолживший исследования Эрстеда. В своих опытах Ампер увидел, что провод, по которому течет электрический ток, ведет себя как магнит: два параллельных провода, по которым ток проходит в одном направлении, взаимно притягиваются, а когда направление тока противоположное, провода взаимно отталкиваются. Французский ученый открыл, что провод, намотанный на катушку, при прохождении по нему электрического тока подобен магниту. Именно он впервые использовал понятие «электромагнетизм».

РИС. 4

В динамо-машине Фарадея кинетическая энергия движения вращающегося медного диска превращается в электричество, так как диск пересекает силовые линии магнита, индуцируя электрический ток.

Таким образом, базовым принципом электромагнетизма является следующее: когда два электрических заряда находятся в движении, между ними возникает магнитная сила (кроме электростатической силы, которая, согласно закону Кулона, имеется между двумя зарядами в состоянии покоя). Все проявления магнитных феноменов могут быть объяснены силой, возникающей между движущимися зарядами.

После этого Фарадей задался вопросом: а может ли все быть наоборот? Способен ли магнит вызывать электрический ток такой же, как от батарейки? Он поставил 29 августа 1831 года решающий эксперимент: ученый вращал намотанный на катушку провод вокруг магнитного сердечника и действительно добился возникновения электрического тока (см. рисунок 4). Исследуя данный феномен, он понял, что ток появляется из-за пересечения проводом магнитных силовых линий. Так он открыл принцип электрической индукции: переменное магнитное поле индуцирует электродвижущую силу. Закон Фарадея гласит, что величина ЭДС пропорциональна скорости изменения магнитного потока. Кроме того, Фарадею удалось создать первый электрический генератор, или динамо-машину (от греческого dinamis — «сила»), в которой электричество возникало от механического движения.

РИС. 5

Вертикальные магниты (С и D) притягивают горизонтальные (А и В), обмотанные медной проволокой. Движение толкает металлические зонды (о-p и q-r) к латунным наконечникам (1-т и s-t) наполненным ртутью и прикрепленным к цинковой и медной пластинам, погруженным в раствор кислоты (F). Ток проходит по обмотке горизонтального электромагнита, заставляя его качаться, притягиваясь поочередно то к С, то к D.

В то же время по другую сторону Атлантики американец Джозеф Генри (1797-1878), также самоучка, независимо и параллельно с Фарадеем открыл электрическую индукцию, следуя шаг за шагом за датчанином Эрстедом. Генри был идеалистом и считал, что должен разделить свои знания со всем миром, что привело его к потере патента на телеграф, который удалось зарегистрировать Сэмюэлю Морзе (1791-1872). В 1831 году, когда Фарадей создавал первый электрогенератор, Генри завершал свои опыты с электромагнитами и разработал устройство, дополняющее то, что придумал его английский коллега: Генри использовал электрический ток с целью заставить поворачиваться колесо. Он изобрел электрический двигатель (см. рисунок 5). Если в динамо-машине ротор — вращающаяся часть устройства — преобразует механическое движение в электричество, то в двигателе ротор трансформирует электричество в механическое движение.

УРАВНЕНИЯ МАКСВЕЛЛА

Джеймс Клерк Максвелл внес значительный вклад в науку, но его главным достижением было описание посредством системы четырех уравнений свойств электромагнитного поля и его взаимодействия стелами, имеющими электрический заряд. Впоследствии было установлено, что уравнения Максвелла — лишь приближение уравнений, составляющих фундаментальные основы квантовой электродинамики. В большинстве случаев расхождения между квантовой электродинамикой и уравнениями Максвелла слишком малы для того, чтобы измерить их, и неактуальны. Но в случаях, когда свет ведет себя как частица, или для очень интенсивных полей они становятся важны. В дифференциальном виде уравнения Максвелла для макроскопического мира выглядят следующим образом.

— Закон Гаусса:

где ?D — электрическая индукция, ? — плотность электрического заряда в вакууме ( перевернутая ? —дифференциальный оператор). Этот закон описывает электрическое поле, создаваемое зарядом. Электрический заряд создает электрическое поле. Ток электрического поля в закрытом контуре пропорционален заряду контура. На рисунке 1 показано электрическое поле, создаваемое одним зарядом.

— Закон Гаусса для магнитного поля:

где ?В — магнитная индукция. Данный закон описывает магнитное поле, создаваемое магнитом. В отличие от электрического поля, не существует понятия «магнитного заряда» и монополярного магнита; магнитное поле возникаете биполярной конфигурацией. Это объясняет, почему силовые линии магнитного поля замкнуты (см. рисунок 2), и магнитный поток, проходящий по контуру, равен нулю.

— Закон Максвелла-Фарадея (сформулированный на основе закона индукции Фарадея):

где ?Е — напряженность электрического поля, t — время (перевернутая ? х — ротор, векторный оператор и ?/?t — частная производная от времени). Закон Фарадея описывает, как переменное магнитное поле во времени индуцирует электрическое поле. Это явление применяется для генерирования электричества (см. рисунок 3): при вращении магнита создается электрический ток в ближайшем проводнике.

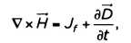
— Закон Ампера (исправленный Максвеллом):

где ?Н — напряженность магнитного поля, a J — плотность электрического тока. В первоначальном законе Ампера описывается, как электрический ток может вызывать появление магнитного поля (см. рисунок 4). Кроме того, магнитные поля могут возникать от переменных электрических полей. Это второе явление, имеющее огромную важность, и есть дополнение Максвелла к закону Ампера. Так Максвелл дал объяснение распространению электромагнитных волн и установил фундаментальную связь между оптикой и электромагнетизмом, осознав, что обе дисциплины изучают виды электромагнитного излучения, такие как радиоволны, рентгеновские лучи, видимый свет и тому подобное.

РИС. 1

РИС. 2

РИС.З

РИС. 4

Двигатель Генри можно было перевозить с достаточной легкостью из-за компактного размера; кроме того, он мог работать с большей скоростью, чем паровая машина Джеймса Ватта (1736-1819). Последней, прежде чем начать работать, требовалось достаточно много времени для создания необходимого давления пара. С другой стороны, двигатель Генри создавал очевидную проблему: электричество для него должно было поступать с генераторной станции. Вопрос снабжения, то есть доставки энергии удобным способом, стал новым вызовом для исследователей электричества.

Таким образом, электричество не выходило на сцену во время первого этапа промышленной революции, но сыграло главную роль во втором этапе. Фарадей не смог математически изложить свои теории о силовых линиях, поэтому его не могли понять до середины 1870-х годов — именно тогда шотландский физик Джеймс Клерк Максвелл (1831-1879) представил их в математическом виде. Максвелл свел все электрические и магнитные явления к четырем уравнениям, осуществив важнейшую в истории физики операцию по синтезу данных.

НИКОЛА ТЕСЛА, ИГРОК

Джеймс Клерк Максвелл опубликовал свои уравнения в 1873 году. В то время молодой Никола Тесла боролся с холерой за свою жизнь. Два года спустя, когда он приехал в Грац, работа шотландского ученого «Трактат об электричестве и магнетизме» еще считалась достаточно свежей, но ее важность уже не так сильно ощущалась. В университете Никола с большим энтузиазмом читал объяснения Максвелла, хотя в это время и был погружен в лихорадочную гонку за знаниями. Полученная им стипендия покрывала только первый год обучения. Зная об этом, Тесла не отрывался от книг и практически не спал — чтобы сдать два курса за один год. На первом курсе он не пропустил ни одного занятия, получил высшие оценки, основал клуб сербской культуры, добавил к своим занятиям физикой и математикой инженерную механику.

Динамо-машина, разработанная Зенобом Граммом: первый электрический генератор для промышленного применения.

На уроках по теоретической и экспериментальной физике Никола исследовал динамомашину, разработанную бельгийским инженером Зенобом Граммом (1826-1901), — первый электрический генератор для промышленного применения, который можно было также использовать как двигатель. Первые динамо-машины, приводимые в действие вручную, вызывали перепады напряжения и неизбежный переменный ток. Но постепенно они эволюционировали: появлялись новые элементы, среди которых — устройство для превращения тока в постоянный. Испытав машину Грамма на занятии, Тесла заметил, что от преобразователя переменного тока в постоянный летят искры, и однажды он даже взорвался. Преподаватель объяснил, что такое неизбежно у данных устройств. Проблемы можно было уменьшить, но использование подобных приспособлений не позволяло окончательно их устранить. Приборы используют постоянный ток, а динамо-машина вырабатывает ток переменный, поэтому преобразователь — неотъемлемая часть устройства. Тесла заявил: это происходит потому, что его действие ограничено используемым током, и работа устройства была бы более эффективной, если бы можно было использовать переменный ток. Согласно большей части биографических исследований, преподаватель ответил, что такую идею мог породить только фантазер: «Господин Тесла, безусловно, сможет совершить великие деяния, но осуществить именно это у него не получится». С тех пор в голове у Теслы поселилась навязчивая идея доказать, что его преподаватель ошибался.

Следующий курс обучения уже не был столь идиллическим. В конце второго года стало понятно, что скудного жалованья священника Милутина Теслы не хватит, чтобы оплатить образование сына. Никола начал играть сначала в шахматы, затем в бильярд, а потом в карты, раскрыв в себе — к собственному удивлению — хорошие способности к игре. В конце третьего года он перестал посещать занятия, а на следующий год оставил учебу. Это было началом периода в его жизни, о котором ему не нравилось вспоминать. Наиболее романтически настроенные биографы Теслы пишут, что он стал игроком, стремясь найти средства к существованию; другие, напротив, указывают на тот факт, что его исключили из университета за распутное поведение, что вызвало гнев отца, вероятно позабывшего о собственном исключении из военной академии за нарушение дисциплины. Сам Тесла признавался Джону О’Ниллу (автору книги Prodigal genius («Блудный гений») и единственному биографу, который был с ним знаком при жизни), что начал играть, желая расслабиться и смягчить давление от той кипучей деятельности, которую он сам себе навязывал.

Как бы то ни было, Никола отдалился от семьи — возможно, из-за стыда. Он перебрался в город Марибор в Словении, где нашел свою первую работу инженером на одном предприятии, а в свободное время продолжал играть в карты и шахматы в местной таверне. Милутин отправился на поиски сына и умолял его вернуться домой, но Никола отказался. Однако довольно скоро словенская полиция депортировала его из-за отсутствия вида на жительство, и Николе пришлось вернуться. Не прошло и месяца, как из-за скоротечной болезни в возрасте 60 лет умер его отец. Неожиданный удар положил конец юношеским метаниям Николы, он бросил игру, а вместе с ней табак, кофе и даже чай, без каких-либо уступок и оговорок (что было ему свойственно).

ВРАЩАЮЩЕЕСЯ МАГНИТНОЕ ПОЛЕ

Для того чтобы объяснить свою идею вращающегося магнитного поля неспециализированной публике, Тесла часто прибегал к аналогии в гидравлике, а именно к движению лопастей мельничного колеса под действием текущей воды: в данном примере эквивалентом воды был электрический ток. Так в его автобиографии появилась глава «Мои изобретения» (1919).

Вращающееся магнитное поле основано на последовательном действии нескольких катушек. Для трехфазного вращающегося магнитного поля (см. рисунок) необходимо расположить три катушки под углом 120° друг к другу. К каждой из них подводится переменный ток со сдвигом по фазе соответственно смещению катушек. Каждая катушка образует в пространстве статическое магнитное поле. Амплитуда этого поля направлена на магнитную ось катушки и изменяется стечением времени по синусоиде. Комбинация пульсирующих полей, производимых тремя токами с разной фазой по времени, циркулирующих по трем катушкам с разной фазой в пространстве, переходит в магнитное поле, распространяющееся в пространстве по синусоиде и вращающееся со скоростью изменения токов во времени.

После смерти отца Никола получил место преподавателя в школе в Госпиче, где учился сам. Эту работу помог ему найти бывший одноклассник, сам теперь преподававший в школе. Тесле нравилось прививать юношам любовь к науке, но он чувствовал, что не сможет долго оставаться в таком качестве. И тогда ему помогли его дяди, Петар и Павел: они дали племяннику денег, чтобы он продолжил свою учебу в Праге.

Никола прибыл в Пражский университет в январе 1880 года, посередине курса, слишком поздно, чтобы быть зачисленным. Однако даже если бы Тесла приехал вовремя, его все равно не приняли бы, потому что он не изучал греческий и не говорил на чешском. Никола начал посещать занятия как вольный слушатель и заниматься в университетской библиотеке. Бывая в Cafe Popular, он лично познакомился с австрийским физиком Эрнстом Махом (1838-1916) и увлекся его работами. (Важнейшие открытия Маха в области термодинамики впоследствии повлияли на другого молодого студента по имени Альберт Эйнштейн.) Тем не менее, несмотря на прикладываемые усилия, Николе Тесле так и не удалось получить никакого академического звания.

ТЕСЛА ИНЖЕНЕР: РАЗОЧАРОВАНИЯ И НАДЕЖДЫ

В 1881 году провидение вновь послало изобретателю помощь в лице его дяди Павла. Тот нашел работу племяннику в Телефонной службе Будапешта — компании, которая занималась установкой первой венгерской телефонной сети. Никола поступил на работу как начальник электриков и подчинялся пионеру телефонной связи Тивадару Пушкашу (1844-1893). Наконец Тесла занимался тем, о чем так долго мечтал, — изобретательством. Он начал совершенствовать имевшееся оборудование, изобрел усилитель голоса, который и не думал патентовать, хотя многие считают это изобретение первым громкоговорителем. В его голове возникали все новые идеи.

Отец Николы, Милутин Тесла, приходской священник в хорватской деревне Смилян.

Мать, Джука Мандич, обладавшая острым умом и имевшая большое влияние на формирование будущего изобретателя.

Дом, где родился Тесла. Сегодня — музей.

Тесла в 1879 году.

В ту эпоху Тесла пережил один из своих кризисов, во время которых сильные шумы и свет вызывали у него особые психосоматические явления, уже описанные нами ранее. Врачи смотрели на него озадаченно, и помощи от них было немного. Только участие доброго друга помогло ему восстановить здоровье. Коллега Теслы, механик Анитал Сигеты, увлекавшийся спортом, смог заставить его тоже заняться физическими упражнениями. Именно тогда в феврале 1882 года, во время оздоровительной прогулки по Варошлигету в сопровождении Анитала, Тесла в уме разрешил проблему двигателя переменного тока с помощью вращающегося магнитного поля.

Никола в течение нескольких беспокойных лет вынашивал эту идею, совершенствуя ее до тех пор, пока она не обрела достаточную ясность для представления ее публике и получения патента. В то же время он продолжал работать в Будапеште, а в свободные часы разрабатывал разные виды двигателей и механизмов на переменном токе. Тесла хотел сам создать интегральную систему для распределения и превращения электричества в механическую энергию. Постоянному току нужны были генераторы через каждые несколько километров, что делало их чрезвычайно дорогими. Система Теслы позволила бы получить более высокое напряжение, а также привести электричество в любую точку планеты. Это было окно в новый мир, но у него не существовало ни малейшей надежды на финансовую поддержку для создания прототипов.

Тесла и Сигеты устроились работать в Континентальную компанию Эдисона, в европейский филиал предприятия, основанного великим американским изобретателем, который только что открыл отделение в Париже. Оба друга с большой радостью перебрались в одну из самых космополитичных столиц планеты, в этот вечно бурлящий город. Тесла был уверен, что смог убедить руководителей компании в неоспоримом преимуществе использования переменного тока. Однако вскоре он понял, что Эдисон был против идеи переменного тока. Тем не менее Тесле пришлось на какое-то время ограничить свои амбиции и заниматься предложенной работой.

В эти годы Никола Тесла трудился под начальством английского инженера Чарльза Бэчлора, близкого друга Эдисона и одного из его ранних сотрудников в лаборатории, открытой несколько лет назад в Ньюарке, Нью-Джерси. Вместе с Бэчлором Тесла работал над значительными проектами, например над системой освещения в Парижской опере, и превратился в доверенного сотрудника, разрешавшего все чрезвычайные ситуации на разных объектах, которыми занимались французские и немецкие отделения компании. В это же время Тесла воспользовался материалами, находившимися в его распоряжении, и сделал первый прототип своего двигателя. Ободренный успехом, он представил план улучшений динамо-машин Эдисона, и данный план был принят. Тесла ожидал заслуженного вознаграждения, но вместо этого его отправили в Страсбург с деликатной миссией. Там во время запуска электростанции, которая должна была служить для освещения немецкой железной дороги, из-за короткого замыкания произошел взрыв и обрушился кусок стены, все это — в присутствии престарелого императора Вильгельма I. Немецкое правительство отзывало заказ, и компания терпела огромные убытки. Как указывается во всех биографиях Теслы, руководство пообещало ему значительное вознаграждение за усовершенствование динамо-машин той станции.

Тесла решил все технические проблемы и, кроме того, благодаря своему беглому немецкому языку получил поддержку местного мэра для поиска инвесторов, заинтересованных в его двигателе. Богатые местные предприниматели присутствовали на демонстрации, но не поняли всех возможностей изобретения. Все, что получил Тесла, — несколько бутылок прекрасного вина. Однако он подумал, что, возможно, у него самого получится собрать необходимые средства для проекта, так как в Париже изобретатель ждал обещанного вознаграждения.

После его возвращения руководство всячески уходило от разговора о вознаграждении до тех пор, пока Тесла не понял, что его обманули и он не получит решительно ничего. Тогда Никола подал в отставку. Чарльз Бэчлор, с первого момента осознавший его гениальность, посоветовал ему поискать счастья в Америке и даже приготовил ему рекомендательное письмо. Для Николы Теслы это был драматичный момент, но наступил он вполне вовремя. Тесла продал все, что у него было, заказал билеты на деньги, взятые в долг у родственников, и собрал чемоданы.

Как и многие обстоятельства в его жизни, это путешествие Теслы к будущему было наполнено странными и неожиданными событиями. Джон О’Нилл в книге Prodigal genius пишет, что на вокзале, за несколько секунд до отправления, у него украли багаж вместе с билетом на поезд и на трансатлантический рейс. Ввиду возможной перспективы не успеть на пересадку Тесла бросился на поезд с тем, что у него было. К счастью, сумма, которую он смог набрать у себя в карманах, оказалась достаточной для оплаты билета на поезд. Так Тесла добрался до порта, и там ему даже удалось отплыть к американским землям. Изобретателю разрешили сесть на корабль, так как он объяснил ситуацию и показал документы, а на момент отплытия никто не занял его место. Длительное плавание оказалось для него неудобным, учитывая, что у Теслы совсем не было сменной одежды. Кроме того, посередине Атлантики на корабле поднялся бунт, и его чуть не выкинули за борт.

В возрасте 28 лет, 6 июня 1884 года, Никола Тесла сошел с корабля «Сатурния» и направился по скользкому и грязному пирсу в сторону иммиграционной службы Кастл Гарден. Он был на Манхэттене. За два года до того, как Франция подарила США величественную статую, выполненную скульптором Бартольди и инженером Эйфелем, названную «Свобода, освещающая мир», молодой Никола приехал из Парижа, пострадав как раз во Франции от мошенничества и кражи. У него было с собой несколько монет, стихи, научные статьи и несколько листов с расчетами и схемами летательного аппарата. На следующий день он уже пожимал руку гениальному изобретателю Томасу Альве Эдисону, не подозревая, что совсем скоро этот человек, которым он так восхищался, превратится в его врага.

Более 800 000 книг и аудиокниг! 📚

Получи 2 месяца Литрес Подписки в подарок и наслаждайся неограниченным чтением

ПОЛУЧИТЬ ПОДАРОК