ЗФШТ ОБЪЯВЛЯЕТ НАБОР
Заочная физико-техническая школа (ЗФТШ) при Московском физико-техническом институте проводит набор учащихся общеобразовательных учреждений (школ, лицеев, гимназий и т. п.), расположенных на территории Российской Федерации.
Обучение в ЗФТШ для граждан, проживающих в Российской Федерации, в рамках утвержденного плана приема — бесплатное.
Цель ЗФТШ — помочь учащимся, интересующимся физикой и математикой, углубить и систематизировать свои знания по этим предметам, а также способствовать их профессиональному самоопределению.
Набор в 8, 9, 10 и 11-й классы ЗФТШ на 2002–2003 учебный год проводится на следующие отделения:
Заочное (индивидуальное обучение).
Тел.: (095) 408-51-45.
Прием на заочное отделение проводится на конкурсной основе по результатам выполнения вступительного задания по физике и математике, приведенного в данном объявлении. Полная программа обучения рассчитана на 4 года (8 — 11-й кл.), но поступать можно в любой из этих классов.
В течение учебного года, в соответствии с программой, ученик будет получать по каждой теме задания по физике и математике (по 4 задания по каждому предмету для 8-го класса, 6–7 заданий по каждому предмету для 9, 10 и 11-го кл.), а затем рекомендуемые ЗФТШ авторские решения этих заданий вместе с проверенной работой учащегося.
Очно-заочное (обучение в факультативных группах).
Тел./факс: (095) 485-42-27.
Факультативные группы могут быть организованы в любом общеобразовательном учреждении двумя преподавателями — физики и математики. Руководители факультатива принимают в них учащихся, успешно выполнивших вступительное задание ЗФТШ. Группа (не менее 8 человек) принимается, если директор общеобразовательного учреждения сообщит в ЗФТШ фамилии, имена, отчества ее руководителей и поименный алфавитный список обучающихся (Ф. И. 0. полностью с указанием класса текущего учебного года, итоговых оценок за вступительное задание по физике и математике, телефона, факса и e-mail школы). Все эти материалы и конверт с маркой достоинством 3 руб. для ответа о приеме в ЗФТШ с обратным адресом на имя одного из руководителей следует выслать до 15 июня 2002 г. по адресу: 141700, г. Долгопрудный Московской области. Институтский пер., 9, МФТИ, ЗФТШ (с указанием «Факультатив»). Тетради с роботами учощихся в ЗФТШ не высылаются. Работа руководителей факультативов может оплачиваться общеобразовательным учреждением как факультативные занятия по предоставлению ЗФТШ при МФТИ соответствующих сведений.
Руководители факультативов будут получать в течение учебного года: учебно-методические материалы ЗФТШ (программы по физике и математике, задания по темам программы, решения заданий с краткими рекомендациями по оценке работ учащихся), информационно-рекламные материалы и т. д. Работы учащихся проверяют и оценивают руководители факультативов, а в ЗФТШ ими высылаются ведомости с итоговыми оценками по каждому заданию.
Очное (обучение в вечерних консультационных пунктах).
Тел./факс: (095) 485-42-27.
Для учащихся Москвы и Московской области по программе ЗФТШ работают вечерние консультационные пункты, набор в которые проводится или по результатам выполнения вступительного задания, или по результатам собеседования по физике и математике, которое проводится в первой декаде сентября.
Программы ЗФТШ являются дополнительными образовательными программами и едины для всех отделений.
Кроме занятий по этим программам, ученикам ЗФТШ (всех отделений) предлагается участвовать в физико-математической олимпиаде «Физтех-абитуриент», которая проводится на базе МФТИ и в ряде городов России в мартовские школьные каникулы, в других очных и заочных олимпиадах МФТИ и его факультетов, а также в конкурсах и научно-технической конференции школьников «Старт в науку».
По окончании учебного года учащиеся, успешно выполнившие программу по выбранной форме обучения, переводятся в следующий класс, а выпускники (11-й кл.) получают свидетельство об окончании с итоговыми оценками по физике и математике, которое учитывается на собеседовании при поступлении в МФТИ.
Вне конкурса (без выполнения вступительного задания) в ЗФТШ принимаются победители областных, краевых, республиканских, зональных и всероссийских олимпиад по физике и математике 2001–2002 уч. г. (участие подтвердить справкой из школы, копией диплома до 15 мая 2002 г.).
Вступительное задание по физике и математике ученик выполняет самостоятельно. Работу сделайте на русском языке и аккуратно перепишите в одну школьную тетрадь. Порядок задач сохраняйте тот же, что и в задании. Тетрадь перешлите в большом конверте простой бандеролью (только не сворачивайте в трубку). Вместе с решением обязательно вышлите справку из школы, в которой учитесь, с указанием класса. Справку наклейте на внутреннюю сторону обложки тетради.
На лицевую сторону обложки наклейте лист бумаги, четко заполненный по образцу:
1. Область Магаданская
2. Фамилия, имя, отчество Матвеев Антон Сергеевич
3. Класс, в котором учитесь седьмой
4. Номер школы б/н
5. Вид школы (обычная, лицей, гимназия, с углубленным изучением предмета и т. п.) обычная
6. Подробный домашний адрес (с указанием индекса и телефона), e-mail 686135, п. Хасын Маг. обл., ул. Молодежная, 2, кв. 8 тел. 95-3-35
7. Место работы и должность родителей
отец судья, райсуд
мать учитель ин. яз., школа
8. Адрес школы и телефон факс, e-mail 686135, п. Хасын Маг. обл., ул. Геологов, 20, 95-5-50
9. Фамилия, имя, отчество преподавателей
по физике Козлова Ольга Анатольевна
по математике Савченко Елена Александровна
10. Каким образом к Вам попала эта афиша?
В ЗФТШ ежегодно приходит более 6 тысяч вступительных работ. Пожалуйста, обратите внимание на правильность заполнения анкеты! Пишите аккуратно, лучше печатными буквами.
ВНИМАНИЕ! Для получения ответа на вступительное задание и для отправки вам первых заданий обязательно вложите в тетрадь конверт с наклеенными марками на сумму 3 руб. На конверте напишите свой домашний адрес.
Ученикам, зачисленным в ЗФТШ в рамках утвержденного плана приема, необходимо будет оплатить целевой взнос для обеспечения процесса подготовки и издания учебно-методических материалов по программе ЗФТШ и рассылки их по почте адресатам. Сумма взноса будет составлять ориентировочно для учащихся заочного и очного отделений 200–350 руб. в год, для очно-заочного — 400–700 руб. (с каждой факультативной группы).
Срок отправления решения — не позднее 1 марта 2002 года.
Вступительные работы обратно не высылаются. Решение приемной комиссии будет сообщено не позднее 1 августа 2002 года.
Тетрадь с выполненными заданиями (по физике и математике) высылайте по адресу: 141700, г. Долгопрудный Московской области. Институтский пер., 9, МФТИ, ЗФТШ.
Для учащихся Украины работает Киевский филиал ЗФТШ при МФТИ (обучение платное). Желающим в него поступить следует высылать работы по адресу: 252680, г. Киев, пр. Вернадского, д. 36, Институт металлофизики. Киевский филиал ЗФТШ при МФТИ. Телефон: (044) 444-95-24.
Для учащихся из стран зарубежья возможно платное обучение на заочном и очно-заочном отделениях ЗФТШ. Условия обучения для прошедших конкурсный прием будут сообщены дополнительно.
Ниже приводятся вступительные задания по физике и математике. В задании по физике: задачи 1–5 предназначены для учащихся седьмых классов, 1, 2, 4–7 — для восьмых классов, 4, 7-12 — для девятых классов, 7, 12–17 — для десятых классов. В задании по математике: задачи 1–5 — для учащихся седьмых классов, 2–6 — для восьмых классов, 5-11 — для девятых классов, 8 — 14 — для десятых классов.
Номера классов указаны на текущий 2001–2002 учебный год.
ВСТУПИТЕЛЬНОЕ ЗАДАНИЕ ПО МАТЕМАТИКЕ
1. Вычислить число
2. Найти частное двух чисел, если оно в два раза меньше одного из них и в шесть раз больше другого.
3. На конечной остановке в трамвай вошли пассажиры, и половина их заняла места для сидения. Сколько человек вошло на конечной остановке в трамвай, если после первой остановки число пассажиров увеличилось на 8 % и известно, что трамвай вмещает не более 70 человек?
4. В треугольнике AВС проведены высота ВК и отрезок BL, перпендикулярный стороне AВ. Известно, что LALB = 45°' а точка L делит отрезок КС пополам. Найти длину стороны АС, если длина отрезка КС равна 4 см.
5. Дан угол и точки B и С, расположенные одна на одной стороне угла, другая — на другой стороне угла. Найти точку М, равноудаленную от сторон угла, такую, что MB = MС.
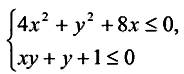
6. Найти все значения параметра, при которых система
имеет единственное решение.
7. Сумма трех чисел, составляющих арифметическую прогрессию, равна 45. Если третье число увеличить на 48, то вновь полученные числа, взятые в том же порядке, образуют геометрическую прогрессию, знаменатель которой не является целым числом. Найти исходные три числа.
8. К 22 часам 20 % не проголосовавших к 18 часам человек проголосовало, после чего процент не проголосовавших людей составил 32 %. На сколько процентов увеличилось количество проголосовавших к 22 часам по сравнению с проголосовавшими к 18 часам?
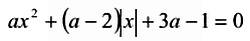
9. Найти все значения параметра а, при которых уравнение
имеет четыре различных корня.
10. В ромбе ABCD из вершины на сторону AD опущен перпендикуляр BE. Найти углы ромба, если
11. Решить неравенство
12. В трапеции с основаниями 3 см и 4 см диагональ имеет длину 6 см и является биссектрисой одного из углов. Может ли эта трапеция быть равнобокой?
13. Решить систему неравенств
14. Рассматриваются всевозможные параболы, ветви которых направлены вниз, касающиеся оси OX и прямой 
Найти уравнение той из них, для которой сумма расстояний от начала координат до точек пересечения параболы с осями координат минимальна.
ВСТУПИТЕЛЬНОЕ ЗАДАНИЕ ПО ФИЗИКЕ
1. На первую треть пути автомобиль затратил четверть всего времени, а оставшееся расстояние он проехал со скоростью 40 км/ч. Какова средняя скорость автомобиля?
2. Рычаг с тремя грузами находится в равновесии. Масса правого груза 5 кг, левого — 1 кг. Найдите массу среднего груза, если массой остальных элементов конструкции можно пренебречь.
3. Ученик измеряет плотность тела, не подозревая, что оно изготовлено из равных масс двух материалов с плотностями 3 г/см3 и 6 г/см3. Какой результат он получит?
4. В воде плавает тело массой 1 кг и объемом 3 литра. Найдите выталкивающую силу и минимальную силу, которую надо приложить к телу, чтобы полностью погрузить его под воду.
5. Из материала с плотностью, вдвое большей плотности воды, изготовили полый шар объемом 8 литров. Найдите объем полости внутри шара, если он плавает в воде, погрузившись ровно наполовину.
6. В термос поместили 1 кг воды при температуре +50 °C и некоторое количество льда при температуре —20 °C. Сколько могло быть льда, если в итоге в термосе установилась температура 0 °C.
7. Найти показание амперметра в схеме на рисунке, если вольтметр показывает 6 В? Сопротивления резисторов указаны в Омах. Измерительные приборы можно считать идеальными.
8. Тело свободно падает с высоты 90 м. Разделить эту высоту на три части так, чтобы на прохождение каждой из них потребовалось одно и то же время.
9. Тело, имея начальную скорость V0 = 1 м/c, двигалось равноускоренно и, пройдя некоторое расстояние, приобрело скорость V = 7 м/с. Какова была скорость тела на половине этого расстояния?
10. Груз массой m = 20 кг можно поднимать с помощью системы из подвижного и неподвижного блоков. С какой постоянной силой F надо тянуть веревку, чтобы за время подъема t = 0,5 c груз из состояния покоя достиг скорости V = 2 м/с? Массами веревки, блоков и трением в осях блоков пренебречь.
11. Шайба, брошенная вверх вдоль наклонной плоскости, скользит по ней и через некоторое время возвращается в точку бросания. При каком угле наклона наклонной плоскости шайба возвратится, имея втрое меньшую скорость, чем при бросании? Коэффициент трения скольжения между шайбой и наклонной плоскостью ? = 0,3.
12. Вокруг вертикально расположенного стержня вращается насаженный на него диск. На диске находится шарик, прикрепленный к стержню нитью длиной l и составляющей угол ? со стержнем. С каким периодом должна вращаться система, чтобы шарик не отрывался от диска?
13. Деформация вертикально расположенной легкой пружины, удерживающей гирю, составляет х = 4 см. Чтобы увеличить деформацию пружины на 50 %, медленно надавливая на груз в вертикальном направлении, надо затратить работу А = 0,3 Дж. Найти жесткость К пружины.
14. Протон, пролетая мимо первоначально покоившегося ядра неизвестного химического элемента, отклонился на угол ? (cos ? = 4/15), потеряв 10 % своей скорости. Найти массовое число химического элемента.
15. Вертикальный цилиндрический сосуд сечения S = 10 см2 закрыт массивным поршнем. При подъеме сосуда с ускорением 2g объем газа под поршнем уменьшается в 1,5 раза. Найти массу поршня, считая температуру газа постоянной. Внешнее давление Р0 = 105 Па. Трением поршня о стенки сосуда пренебречь.
16. В цилиндре под поршнем находится n = 2 моля идеального газа. Определить начальную температуру газа, если при сообщении ему тепла Q = 18 кДж объем увеличился в 2,5 раза. Молярная теплоемкость газа при постоянном давлении Ср = 21 Дж/моль К.
17. В закрытом сосуде находится воздух с относительной влажностью 60 % и температурой 27 °C. Какой станет относительная влажность воздуха в сосуде, если его нагреть на 73 °C? Давление насыщенных паров воды при температуре 27 °C равно 3,4 кПа.
Более 800 000 книг и аудиокниг! 📚
Получи 2 месяца Литрес Подписки в подарок и наслаждайся неограниченным чтением
ПОЛУЧИТЬ ПОДАРОК