Беседа шестая ЭЛЕКТРОМЕТРИЯ — СНИЖЕНИЕ ВЫХОДНОГО СОПРОТИВЛЕНИЯ

Становясь все более требовательным, Незнайкин хочет усовершенствовать усилитель. Он узнает, как повысить входное сопротивление почти до бесконечно большого (в схемах электрометрических усилителей) и как снизить выходное сопротивление. Попутно он обнаруживает, что оптимальное сопротивление нагрузки усилителя может очень сильно отличаться от выходного сопротивления этого усилителя.

Незнайкин — Ты научил меня, как расширить полосу пропускания усилителя в сторону высоких и в сторону низких частот, но я заметил, что ты ничего не рассказал мне об электрометрических усилителях. А это очень важно!

Входное сопротивление

Любознайкин — Я не могу сразу рассказать обо всем, но сегодня мы займемся этим вопросом. Видишь, ли, в электронике часто приходится расширять полосу пропускания усилителей, но не менее полезно повысить их входное сопротивление и снизить выходное.

Н. — Я попросил бы тебя рассказать мне, зачем и какими методами осуществляются изменения этих сопротивлений.

Л. — При работе с усилителем ты подаешь напряжение на его вход, а усиленное напряжение снимаешь с выхода. И у тебя, естественно, возникает желание, чтобы вход потреблял как можно меньший ток от источника напряжения, подлежащего усилению, следовательно, входное сопротивление должно быть высоким. Выход твоего усилителя выполняет роль источника, вырабатывающего сигнал с большим напряжением, чем поданное на вход. Для достижения хороших показателей этот источник должен вырабатывать значительный ток без существенного падения напряжения, т. е. он должен иметь небольшое внутреннее сопротивление.

Н. — Прекрасно, я понял. Значит, входное сопротивление определяется входной емкостью и частотой.

Л. — Да, это верно для высоких частот. Но на низких частотах входная емкость не оказывает никакого влияния, так как ее реактивное сопротивление составляет несколько миллионов мегом, получить которые ты безусловно не можешь.

Н. — Понятно, к чему ты подводишь: имеется резистор утечки, который нужно включить между сеткой и корпусом, чтобы отводить электроны, имевшие глупость остановиться на сетке. Я вижу, он включен параллельно входу. Не достаточно ли взять этот резистор с большим сопротивлением, чтобы получить высокое входное сопротивление?

Сеточные токи

Л. — Это невозможно без существенных осложнений. В самом деле, через резистор утечки приходится не только эвакуировать электроны, но и восполнять уходящие с сетки.

Н. — Как могут электроны уходить с сетки, ведь она не горячая.

Л. — Ты так думаешь, а ну-ка встань на место сетки…

Н. — Сжалься, там же вакуум…

Л. — Согласен. Но представь себе сетку, находящуюся на расстоянии в несколько десятых или сотых долей миллиметра от раскаленного катода, излучающего на нее тепло: предотвратить нагрев сетки очень трудно. А кроме того, не следует забывать о возможности фотоэлектронной эмиссии с сетки.

Впрочем, эту эмиссию можно существенно уменьшить, если окрасить стеклянную колбу лампы в черный цвет (правда, все равно останется свет от катода, но он, к счастью, довольно слабый).

Н. — Это любопытные, но в общем скорее полезные явления, так как они отводят электроны с сетки, тогда как другие электроны имеют тенденцию там остаться.

Л. — Но, Незнайкин, электроны остаются на сетке только при очень малом смещении. При нормальной работе с сетки уходит значительно больше электронов, чем поступает, и к тому же этот эффект усугубляется приходом на сетку положительных зарядов, приносимых ионами.

Н. — Откуда появляются ионы? Ведь в электронной лампе господствует вакуум, иначе говоря, пустота.

Л. — В нашем мире ничто, в том числе и вакуум, несовершенно. В лампе даже при хорошем вакууме остается очень большое количество молекул газа. Под воздействием электрического поля между катодом и анодом и особенно от ударов электронов молекулы газа ионизируются. В результате появляются положительные ионы, устремляющиеся к сетке и усиливающие эффект, создаваемый эмиссией электронов. Я должен сказать тебе, что создаваемый ионами ток значительно больше тока, возникающего вследствие ухода электронов.

Н. — Какое обилие причин возникновения сеточных токов! И тем более любопытно, что до сих пор они мне никогда не мешали.

Л. — Надеюсь, ты не думаешь, что сеточный ток расплавит выводы сетки? В обычной лампе (возьмем в качестве примера лампу с анодным током 4 ма) сеточный ток при отрицательном смещении находится на уровне 0,01 мка или еще меньше. На резисторе утечки 1 Мом (обычно следует ставить еще меньше) падение напряжения составит всего лишь 0,01 в, и ты не сможешь его заметить. Но если бы резистор утечки имел величину 100 или 1000 Мом, то сеточный ток превратился бы в катастрофу.

Н. — Что же тогда делать?

Электрометрическая лампа

Л. — Прежде всего мы можем использовать специальные лампы с особо глубоким вакуумом, работающие для снижения ионизации с анодным напряжением всего в несколько вольт. В качестве таких ламп часто используют тетроды, но в отличие от обычных ламп роль управляющей сетки выполняет наиболее удаленная от катода сетка. Первая отталкивает ионы, потому что на ней создают небольшой положительный потенциал.

Впрочем, когда я говорил «катод», я должен был сказать «прямонакальный катод», ибо обычно эти лампы бывают с прямым накалом, благодаря чему удается избежать нагрева сетки. Такова конструкция электрометрических ламп, т. е. ламп, позволяющих производить измерение электрических напряжений без потребления энергии.

Н. — Так вот, наконец, что представляют собой эти знаменитые электрометрические лампы, позволяющие пользоваться резисторами утечки с большим сопротивлением. Каковы их характеристики?

Л. — В некоторых моделях удалось снизить сеточные токи примерно до 10-15 а, т. е. до одной миллиардной доли микроампера. Но я должен тебе сказать, что прекрасные результаты можно получить и с обычными лампами, если их несколько меньше нагревать, чтобы снизить температуру сетки, и работать с небольшим анодным током. Таким способом можно легко добиться сеточного тока меньше 10-11 а. И, наконец, стоит сказать об очень любопытном способе получения высокого входного сопротивления — использовании метода перевернутого (обращенного) триода.

Н. — Ты ставишь его ножками вверх?

Л. — Нет, я ставлю его в схему, изображенную на рис. 46. Да, я понимаю твой ужас. Управляющее напряжение подводится отрицательным полюсом к аноду, сеточный ток служит выходным, а на сетку подается положительный потенциал +U. Чем выше отрицательный потенциал анода, тем больше мешает он электронам попасть на положительную сетку, отражая их к катоду. Положительная сетка мешает ионам достичь анода, последний, будучи холодным, не испускает электронов. Таким образом удается получить псевдотриод с чудовищным входным сопротивлением.

Рис. 46. Обращенный триод. Отрицательный анод отталкивает электроны и таким образом снижает сеточный ток ig. Это — электрометрическая схема.

Н. — А его псевдохарактеристики похожи на характеристики обычного хорошего триода?

Л. — Этого только не хватало! Его характеристики похожи на характеристики электрометрического триода, иначе говоря: очень маленькая крутизна (в среднем 0,1 ма/в); малое внутреннее сопротивление (например, 2 ком); низкий коэффициент усиления (0,2).

Усиление по напряжению и по току

Н. — Я абсолютно ничего не понимаю! Ты говоришь мне о малом внутреннем сопротивлении, когда требуются чудовищные входные сопротивления. Затем ты говоришь мне о коэффициенте усиления меньше единицы. Что же я должен делать с такой лампой?

Л. — Сначала я отвечу на твой первый вопрос. Не следует путать входное сопротивление, равное отношению входного напряжения к входному току, с внутренним сопротивлением, равным отношению изменения выходного напряжения к изменению выходного тока. В рассмотренном нами псевдотриоде изменение сеточного напряжения (выход) на 1 в влечет изменение сеточного тока (выходной ток) на 0,5 ма, чему соответствует внутреннее сопротивление 2 ком. Не смешивай с входным током. По вопросу же о коэффициенте усиления я с тобой согласен, что входной каскад на такой лампе выработает значительно меньшее напряжение, чем напряжение, поступающее на его вход.

Но важно другое: ты, например, подаешь на вход напряжение 1 в при входном токе 10-15 а, т. е. 10-15 вт, а на выходе можешь получить напряжение 0,1 в при 0,1 ма или мощность 10-5 вт, т. е. мощность на выходе в 1010 раз больше, чем на входе. Твое «усиление» в 0,1 раза по напряжению соответствует усилению в десять миллиардов раз по мощности. Тебе этого достаточно?

Н. — Я даже могу тебе сказать, что мощность на выходе на 100 дб больше, чем на входе.

Л. — О! Но тем не менее правильно!

Н. — Прошу без особых комплиментов, я всегда такой!

Дрейф

Л. — Подожди минутку, дай мне передохнуть от волнения.

Ну вот, я почти пришел в себя. Теперь, чтобы закончить с этим вопросом, я скажу тебе, что обычно после электрометрических ламп ставят усилители постоянного тока, основная трудность использования которых связана с явлением дрейфа. Если ты не подаешь на вход никакого напряжения, то анодный ток первой лампы может немного измениться из-за изменения накала, напряжения питания, даже из-за старения самой лампы или изменения температуры окружающей среды. В результате происходит медленное изменение выходного напряжения. Обычно его характеризуют дрейфом, приведенным ко входу, т. е. напряжением, которое необходимо подать на вход, чтобы без каких-либо иных причин вызвать наблюдаемое изменение выходного напряжения.

Н. — А сильно ли мешает этот дрейф?

Л. — О, да! И особенно, когда хотят измерить входное напряжение с точностью до милливольта или еще точней (например, в случае измерения pH). Для борьбы с дрейфом пользуются симметричными усилителями.

Н. — Пушпульного типа?

Л. — Довольно похожего. Таким образом удается достаточно хорошо компенсировать дрейф, вызываемый изменением нагрева или напряжения питания, потому что эти изменения одинаково воздействуют на обе лампы каскада, а используется разность их анодных токов. Для получения лучших результатов имеется большое количество усовершенствованных схем, которые ты несомненно увидишь в журнальных статьях. Например, делают усилитель (как с электрометрической, так и с обычной лампой на входе), у которого после 15-минутного прогрева, необходимого для стабилизации режимов, приведенный к входу дрейф меньше 0,1 мв за 24 ч.

Н. — Ну, так эти знаменитые электрометрические усилители не столь уж сложны: специальная лампа на входе (или обычная, но включенная по специальной схеме)… и дело в шляпе.

Проблема изоляции

Л. — Верно, сложность не так велика. Но такие схемы при монтаже требуют аккуратности и соответствующих мер предосторожности. Чтобы при напряжении 1 в токи утечки не превышали 10-15 а, требуется изоляция 1015 ом, а это, позволю тебе заметить, не так легко сделать. Не может быть и речи об использовании в качестве изоляционных материалов бакелита, картона и других широко применяемых материалов. Требуются кварц, хорошее стекло, плексиглас и некоторые пластмассы (полиэтилен, фторопласт). Особенно непримиримо нужно бороться с влажностью. Часто всю электронную часть помещают в герметизированную коробку, содержащую влагопоглотитель; выводы усилителя выходят из этой коробки через изоляционные бусины.

Мне представляется полезным сказать тебе, что коаксиальный кабель с полиэтиленовой изоляцией, если он хорошего качества, обладает достаточной изоляцией для большинства электрометрических измерений. Все другие способы подключения, кроме голого провода, укрепленного на прекрасных изоляторах, следует признать негодными.

А теперь подготовься к эффектному прыжку: с миллиардов мегом на входе до нескольких ом на выходе.

Снижение выходного сопротивления

Н. — Но это «прыжок смерти» или я сам себя не знаю. Как же ты снизишь выходное сопротивление до нескольких ом? С помощью трансформатора?

Л. — В некоторых случаях это возможно, но, как правило, усилители должны иметь такую полосу пропускания, которая исключает использование трансформатора, в особенности, у усилителей постоянного тока. Немного позже ты увидишь, как использование отрицательной обратной связи помогает значительно снизить выходное внутреннее сопротивление усилителя; а пока мы ограничимся лишь одним из способов ее использования, а именно, включением нагрузки в цепь катода или, как иначе называют эту схему, — катодный повторитель.

Н. — О, я достаточно хорошо знаю эту схему в фазосдвигающей системе возбуждения пушпульного каскада. Но я не вижу, как…

Л. — Не торопись, Незнайкин. Речь идет об одном частном случае применения схемы катодного повторителя. Однако изображенная на рис. 47 схема существенно отличается от обычной.

Рис. 47. Катодный повторитель. Результирующее напряжение между сеткой и катодом лампы равно разности входного Uвх и выходного Uвых напряжений.

Как ты видишь, анод лампы непосредственно соединен с положительным полюсом источника питания, между катодом и корпусом включен резистор (с выводов этого резистора я и снимаю выходное напряжение Uвых). Входное напряжение Uвх прикладывается между сеткой и корпусом, создавая на сетке положительное напряжение относительно корпуса и…

Н. — Какой ужас! Положительная сетка!

Л. — Не беспокойся. Сетка действительно положительная относительно корпуса, но катод будет еще более положительным вследствие вызываемого катодным током лампы падения напряжения на резисторе R. Следовательно, положительная относительно корпуса сетка будет отрицательной по отношению к катоду, «как принято в лучших домах» (именно так выразился бы один мой приятель).

Н. — Уф, я вновь начинаю дышать. Но скажи мне, пожалуйста, как понять, что катод будет более положительным, чем сетка?

Л. — Нет, только чуть-чуть, в противном случае смещение на лампе оказалось бы чрезмерным и не пропустило бы в резистор R тока, необходимого для создания на катоде потенциала Uвых выше, чем Uвх.

Н. — Кое-что в твоем ответе меня заинтриговало. Если потенциал катода поднимется слишком высоко, смещение лампы окажется очень большим и анодный ток уменьшится, что вызовет снижение потенциала катода. И наоборот, если этот потенциал снизится очень сильно, например ниже Uвх, то смещение лампы упадет (даже до нуля), а ток лампы вновь повысится и повысит потенциал катода. Ведь тогда схема должна генерировать, разве не так?

Катодный повторитель

Л. — Никоим образом. Вспомни принцип работы гетеродина: колебания возникают потому, что контур через цепь обратной связи так воздействует на себя, что любое возмущение имеет тенденцию усилиться (например, увеличение анодного тока делает сетку положительной). Здесь же все наоборот.

Обратная связь у нас не положительная (как в гетеродине), а отрицательная, и генерации колебаний поэтому не происходит. Но твоя реплика показала мне, что ты очень легко поймешь, какой интерес представляет эта схема. А чтобы тебе было легче рассуждать, возьмем конкретный пример: лампа 12АТ7 (крутизна 7 ма/в); анодное напряжение +300 в, Uвх = 50 в и R = 5 ком.

Если Uвых будет близко к 50 в, то проходящий по резистору R ток будет близок к 10 ма, а напряжение анод — катод будет около 250 в. Возьми семейство анодных характеристик лампы (рис. 48) и скажи мне, каким должно быть смещение, чтобы пропустить ток около 10 ма при напряжении на аноде 250 в?

Рис. 48. Это семейство кривых позволяет найти рабочую точку лампы в режиме катодного повторителя.

Н. — Подожди минутку, вот, нашел — ровно — 2 в.

Л. — Следовательно, наше напряжение Uвых будет 50 в + 2 в = 52 в и…

Н. — Но этого не может быть, Любознайкин; если на катоде будет 52 в, то тогда, во-первых, напряжение анод — катод было бы не 250 в, а 248 в, а, во-вторых, катодный ток был бы не 10 ма, а 52 в: 5 ком = 10,4 ма!

Л. — Если рассуждать со всей строгостью, ты, Незнайкин, прав. Вооружившись этими уточненными значениями, ты можешь еще раз заглянуть в семейство характеристик и посмотреть, какое напряжение смещения соответствует анодному току 10,4 ма при напряжении анод — катод 248 в; если взять точные цифры, то смещение будет 1,92 в вместо 2 в. Разница столь мала, что в дальнейшем в подобном уточнении значений нет надобности. Ты, надеюсь, не станешь придираться ко мне из-за одной десятой вольта?

Н. — Хорошо. Но что ты будешь делать с этими 51,92 в на выходе (чтобы доставить тебе удовольствие, скажу 52 в)?

Л. — Следи повнимательнее за моими рассуждениями. Предположим, что от этого источника 52 в я хочу потребить ток 2 ма. Что произойдет?

Н. — Я предполагаю, что выходное напряжение Uвых снизится, как напряжение любого источника, ток которого я потребляю.

Л. — Совершенно верно. А теперь меня интересует, насколько понизится это напряжение? Падение напряжения, обозначенное Uпад (иначе говоря, Uвых), соответствующее отсутствию потребления, равно 52 в, снижается до (52 в — Uпад), когда в цепочку, обозначенную на рис. 47 пунктиром, будет ответвляться ток 2 ма. Откуда поступают эти 2 ма?

Н. — Конечно из лампы.

Л. — Да, в значительной части. Раз потенциал катода снизился на Uпад, то соответственно снизилось и смещение.

Позволь напомнить тебе, что крутизна лампы 7 ма/в. Следовательно, анодный ток увеличится на: S х Uпад (крутизна лампы S = 0,007 a/в). Но ток в обозначенную пунктиром цепочку пойдет не только из этого источника. В самом деле, анодный ток лампы, несомненно, увеличился, но ток в R уменьшился, ибо Uвых снизилось: этот ток уже не 52 в/R, а (52 в — Uпад)/R, иначе говоря, проходящий по резистору R ток уменьшился на Uпад/R и этот ток тоже войдет составной частью в ток I = 2 ма, который я потребляю в нагрузке каскада. Следовательно, мы будем иметь:

подставив наши значения, получим:

откуда Uпад = 2:7,5 = 0,28 в.

Н. — Но это совсем мало!

Л. — Этим-то и интересна схема: она может выдавать ток на выходе без ощутимого снижения напряжения, иначе говоря, у нее низкое выходное внутреннее сопротивление.

Н. — А каково значение этого сопротивления?

Л. — Его очень просто рассчитать. Если ты потребляешь ток I от источника, то падение напряжения на его зажимах составит:

U = rвн·I

где rвн — внутреннее сопротивление источника. Следовательно, rвн = U/I или в нашем случае 0,28 в:0,002 а = 140 ом.

Лучше пользоваться формулой  что при делении обеих частей уравнения на Uпад дает но левая часть равенства  а правую часть я могу записать в следующем виде  Таким образом

Как видишь, внутреннее сопротивление катодного повторителя эквивалентно параллельно соединенным R и 1/S.

Н. — Довольно необычно рассматривать 1/S как сопротивление!

Л. — Не очень. Ведь S — крутизна, и, следовательно, она выражается в амперах на вольт (вернее в миллиамперах на вольт). А значит, обратная ей величина 1/S выражается в вольтах на ампер, а что мы получим, разделив вольты на амперы?

Просто-напросто омы. Например, в рассмотренном нами случае S = 7 ма/в, следовательно, 1/S = 1: 0,007 = 143 ом; как ты сам понимаешь, при параллельном включении резистора R = 5 ком он не оказывает сколько-нибудь заметного влияния, так как его сопротивление в 35 раз больше сопротивления другой ветви.

Как ты видишь, Незнайкин, наша схема катодного повторителя имеет внутреннее выходное сопротивление 140 ом, тогда как каскад обычного типа, например с анодной нагрузкой 20 ком, имел бы внутреннее выходное сопротивление от 5 до 10 ком, так как нужно учитывать внутреннее сопротивление лампы, которое при расчете выходного сопротивления должно рассматриваться включенным параллельно с сопротивлением анодной нагрузки.

Достоинства низкого выходного сопротивления

Н. — Твои доводы я понял. Но я хочу задать один вопрос, который тебе, несомненно, покажется глупым: что ты выиграл от снижения выходного сопротивления своего каскада?

Л. — В твоем вопросе абсолютно нет ничего глупого. Я вновь все объясню, но скажи мне, пожалуйста, Незнайкин, зачем нужно тебе выходное напряжение?

Н. — Хм… да чтобы использовать его!

Л. — Совершенно верно. Однако «использовать» напряжение означает получать с его помощью ток. Если у источника напряжения (на выходе твоего усилителя) низкое внутреннее сопротивление, ты можешь забрать у него значительный ток без снижения напряжения.

Выходное напряжение, вырабатываемое источником с низким внутренним сопротивлением, мало чувствительно к различным помехам, как внешним, так и вызываемым изменением тока в цепи, подключенной к источнику. Так, например, в моей установке высококачественного воспроизведения звука насчитывается семь каскадов, собранных по схеме катодного повторителя. Один такой каскад установлен на самом выходе моего ЧМ-приемника; напряжение звуковой частоты (не более 1 в) поступает с источника, внутреннее сопротивление которого всего лишь 140 ом (а без этого каскада оно было бы не менее 10 ком). В этих условиях я могу позволить себе передавать низкочастотный сигнал по длинным проводам, например, к установленному на другой стороне дополнительному громкоговорителю. Их можно прокладывать рядом с трансформаторами питания, ибо провода, по которым идет низкочастотный сигнал, не «ухватят» никаких помех от сети 50 гц. Если бы, например, я захотел передать этот сигнал на сотню метров по экранированному проводу, то емкость провода из-за экрана составила бы около 10 000 пф.

А для самых высоких передаваемых частот (максимальная интересующая нас частота 20 кгц) реактивное сопротивление этого провода составляет около 800 ом. Для сигнала, поступающего от источника с внутренним сопротивлением 10 ком, эти 800 ом явились бы почти коротким замыканием, что привело бы к полной потере всех высоких частот и сильному искажению воспроизводимого звука. При моем же каскаде — катодном повторителе с его внутренним сопротивлением 140 ом эти 800 ом — можно просто не принимать во внимание: они внесут некоторый сдвиг фазы, ноне вызовут никакого ощутимого ослабления звука.

Н. — Да, но скажи мне… ведь твой каскад с катодной связью напряжения не усиливает?

Л. — Ты прав. Каскад с катодной связью не дает никакого усиления по напряжению (коэффициент усиления даже немного, меньше единицы), но «переписывает» входное напряжение, получаемое от генератора с очень большим внутренним сопротивлением, не способным давать большой ток; в результате мы получаем выходное напряжение, «обросшее мышцами», т. е. равное или почти равное входному напряжению, но в отличие от него способное давать значительный ток без ущерба для себя. Выходное напряжение стало «невозмутимым» — оно мало подвержено влиянию помех.

Биологическая аналогия

Н. — Совсем как мышь, ведущая слона на поводке!

Л. — Конечно, это очень модно! Только что в Булонском лесу я видел трех таких мышей, гуляющих со своими слонами!

Н. — Ты напрасно смеешься надо мной. Дай мне закончить, Любознайкин. Я вспомнил один цирковой номер, который мне однажды довелось видеть. Мышь бежала по бортику манежа и тащила тончайший поводок, завязанный на шее слона. А слон шел за мышью и старался удерживать без изменения натяжение поводка: шел быстрее, когда поводок натягивался, и замедлял шаг, если он провисал. Слон шел с такой же скоростью, что и мышь, но он даже не почувствовал бы препятствия, которое остановило бы его поводыря. Зрителям же казалось, что мышь тащит толстокожего ленивца, и они хохотали до упаду.

Л. — Я подозреваю, что эта история придумана тобою для пользы дела… Во всяком случае она показывает, что благодаря «слону-повторителю», ты хорошо понял принцип катодного повторителя.

Схемы на транзисторах

Н. — Это схема, которую можно сделать только на лампах — транзисторы здесь не годятся, потому что у них нет катода.

Л. — Нет, но у них есть эмиттер, выполняющий роль катода, и довольно часто делают схему с общим коллектором (рис. 49), которую также называют «эмиттерным повторителем». Я нарисовал схему для транзистора р-n-р. Для транзистора n-р-n нужно поменять напряжения на обратные, и мы получим схему, более похожую на ламповую.

Рис. 49. Каскад с нагрузкой в цепи эмиттера (схема с общим коллектором или эмиттерный повторитель) — транзисторный эквивалент ламповой схемы катодного повторителя.

Н. — Значит, по своим параметрам эта схема строго идентична схеме, приведенной на рис. 47?

Л. — Нет, только аналогична. В изображенной на рис. 47 схеме сетку обычно делают отрицательной относительно катода. Следовательно, никакого сеточного тока нет и возможное внутреннее сопротивление источника, дающего входное напряжение Uвх не учитывается.

В транзисторе имеется ток базы; он в β раз меньше тока коллектора (с приемлемой точностью можно сказать, что он также в β раз меньше тока эмиттера, так как последний очень близок к току коллектора). Если изменять ток эмиттера, то будет изменяться и ток базы; изменения последнего, естественно, будут в β раз меньше. Если дающий напряжение U источник имеет внутреннее сопротивление, то получаемый от него ток может вызвать изменение напряжения U. Следовательно, в эмиттерном повторителе выходное сопротивление зависит от выходного сопротивления источника, подающего в схему сигнал.

Можно сказать, что выходное сопротивление изображенной на рис. 49 схемы равно обратной величине крутизны транзистора (крутизна транзистора представляет собой частное от деления усиления по току на его выходное сопротивление при включении по схеме с общим эмиттером), увеличенной на частное от деления его усиления по току β на выходное сопротивление генератора, вырабатывающего напряжение U.

Н. — Вот это да! Как это сложно!

Пример эмиттерного повторителя

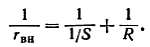
Л. — Совсем нет. И ты в этом сейчас убедишься на конкретном примере с числовыми значениями. Предположим, что внутреннее сопротивление транзистора, включенного по схеме с общим эмиттером, равно 1 ком, а усиление по току β = 60. Следовательно, крутизна этого транзистора равна 60: 1000 или 60 ма/в. Если напряжение U подается от источника с низким выходным сопротивлением, то при изменении тока базы оно не будет изменяться. Выходное сопротивление, как и в ламповой схеме, будет величиной, обратной крутизне, т. е. 16,7 ом (я не учитываю сопротивление резистора R, которое следует рассматривать как включенное параллельно этому сопротивлению 16,7 ом).

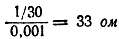
Но если выходное сопротивление источника, дающего напряжение U, равно 2 ком, то на каждый израсходованный на эмиттере миллиампер расход на базе составит 1/60 ма, вследствие чего напряжение U снизится на

Это отразится на выходе (усиление по напряжению почти равно единице), и выходное сопротивление увеличится на , (напряжение снижается на 1/30 в на каждый потребленный миллиампер).

Следовательно, выходное сопротивление будет:

16,7 oм + 38 ом ~= 50 ом.

Н. — Значит, в схеме эмиттерного повторителя выходное сопротивление зависит от выходного сопротивления!

Л. — Схема эмиттерного повторителя значительно уменьшает эту зависимость, но не устраняет ее полностью как катодный повторитель.

Н. — Ну вот, видишь, транзисторы значительно уступают лампам.

Суперэмиттерный повторитель

Л. — Незнайкин!.. Если ты еще раз скажешь такую безобразную нелепость, я выставлю тебя за дверь и не покажу тебе транзисторной схемы «суперэмиттерного повторителя», не имеющего себе равного на лампах.

Н. — Как она устроена?

Л. — Схему я нарисовал тебе на рис. 50, а на рис. 51 схематически изобразил двухкаскадный усилитель, изучение которого поможет тебе понять схему на рис. 50. Ты видишь, что на схеме рис. 51 ток базы транзистора Т1 (транзистор типа n-р-n) направлен от источника напряжения U; его величина Iб1. Ток коллектора Iк1 транзистора Т1 идет в обратном направлении (оно показано стрелкой и соответствует условному направлению движения тока); следовательно, его можно взять непосредственно с базы транзистора Т2 (Iк1 = Iб2) (транзистор типа р-n-р). Ток коллектора Iк2 транзистора Т2 проходит по резистору R и создает выходное напряжение Uвых.

Рис. 50. Двухкаскадный вариант устройства с малым выходным сопротивлением.

Рис. 51. Двухкаскадный усилитель с большим коэффициентом усиления.

Н. — Должен признаться, что меня соблазняет простота схемы — один резистор на целых два транзистора.

Л. — Изображенная на рис. 51 схема дает очень большое усиление по напряжению. Коэффициент усиления легко подсчитать по формуле

k = S1β2R,

где S1 — крутизна характеристики транзистора T1, β2 — усиление по току транзистора Т2.

Например, при S1 = 12 ма/в, β2 = 50 и R = 500 ом коэффициент усиления по напряжению составит 300.

Если мы вычтем из напряжения U все выходное напряжение Uвых, чтобы приложить между эмиттером и базой транзистора T1 только напряжение U' = U — Uвых, то получим усилитель с коэффициентом отрицательной обратной связи (мы к этому вернемся), равным 300; схема такого усилителя показана на рис. 50.

Входное сопротивление усилителя приближается к мегому (чудовищная величина для классических транзисторных схем), а выходное сопротивление меньше 1,5 ом; коэффициент передачи по напряжению достигает 0,997 (в лучших каскадах, собранных по схеме катодного повторителя, с трудом удается поднять этот показатель до 0,95).

Н. — В самом деле очень соблазнительно, однако эта история для меня не очень ясна. Почему раньше не сделали ее эквивалента в схемах на лампах?

Л. — Незнайкин, найди мне «лампу р-n-р», и я покажу тебе такую схему, но боюсь, что тебе придется очень долго искать. По правде говоря, на лампах можно сделать одну очень сложную схему, основанную на этом же принципе, и которая тоже дает интересные результаты.

Н. — Значит изображенная на рис. 50 схема называется «суперэмиттерный повторитель»?

Л. — Честно говоря, это название дал схеме я сам. Впрочем оно малоизвестно, и я подумываю, не дать ли ей новое и более выразительное название.

Если хотят изменить полярность

Н. — Но мне кажется, что все эти «суперэмиттерные повторители» наделены одним общим недостатком: их выходное напряжение может устанавливаться только в одном направлении; иначе говоря, его нельзя сделать положительным или отрицательным, как нельзя изменить и направление тока, который это напряжение может дать (ведь нельзя же изменить направление тока в лампе или в транзисторе).

Л. — Абсолютно верно, Незнайкин. Следует сказать, что во многих случаях приходится иметь дело с напряжениями, всегда имеющими одну полярность. Если ты пожелаешь сделать лучше, можно использовать «последовательную пушпульную схему». Я не стану описывать эту систему (схему) во всех подробностях, а объясню лишь ее принцип.

Два транзистора включаются последовательно (рис. 52): на коллектор транзистора Т1 подается напряжение питания —Е, а на эмиттер транзистора Т2 — напряжение +E. Со специального фазовращателя на базы подаются соответствующие токи так, чтобы, например, сумма токов коллекторов транзисторов Т1 и Т2 оставалась постоянной. Разность этих токов I1 — I2 проходит через нагрузку, создает напряжение Uвых. Эта разность может быть как положительной, так и отрицательной.

Рис. 52. Последовательный пушпульный каскад. В нагрузку поступает разность токов двух транзисторов.

Н. — Очень ловко придумано. А разве нельзя сделать аналогичное устройство на лампах?

Транзистор-пентод (без экранных сеток)

Л. — Можно, но не так легко. Чтобы лампы работали с хорошей отдачей, рекомендуется использовать пентоды, но возникают проблемы питания цепей экранных сеток. В схеме на транзисторах удается получить еще более низкие выходные сопротивления: при желании можно получить несколько ампер при низком напряжении. Я использовал эту схему для изменения направления вращения ротора маленького двигателя, установленного на управляемой по радио модели корабля. Эту же схему я использовал в своей установке высококачественного воспроизведения звука и получил нужную мощность, которая без выходного трансформатора подается непосредственно на 15-омный громкоговоритель. Если бы ты знал, как я был доволен, когда мне удалось убрать из схемы трансформаторы. Ведь они стоят ужасно дорого, весят много и занимают много места, не говоря уже о вносимых ими искажениях.

Выходное сопротивление и оптимальная нагрузка

Н. — Мы заканчиваем рассмотрение систем, снижающих выходное сопротивление, и я хотел бы задать тебе вопрос. Если выходное сопротивление каскада снизили, например, до одного ома, нужно ли нагрузить его одним омом, т. е. сделать так, чтобы он отдавал свою мощность в нагрузку с сопротивлением 1 ом. Вероятно, сделать такие низкоомные нагрузки трудно?

Л. — Незнайкин, ты меня радуешь. Ты в очень четких выражениях сформулировал ошибочное представление, сложившееся у многих радистов. Твое замечание порождено следующим рассуждением: если от генератора с внутренним сопротивлением rвн хотят получить максимально возможную мощность, то к нему нужно подключить внешнюю нагрузку с точно таким же сопротивлением. Но очень часто случается так, что применить нагрузку Rн = rвн невозможно — генератор ее не выдерживает. Так, например, батарея с электродвижущей силой 4 в и внутренним сопротивлением 10 ом отдает наибольшую мощность, если к ней подключают лампу, которая в нагретом состоянии имеет сопротивление 10 ом. Напряжение на клеммах батареи упадет до 2 в, по цепи пойдет ток 0,2 а и потребляемая лампой мощность составит 0,4 вт. При подключении другой лампы с сопротивлением меньше или больше 10 ом отдаваемая батареей мощность будет меньше 0,4 вт.

Но рассмотрим случай с аккумуляторной батареей — ее э. д. с. 6 в, а внутреннее сопротивление 0,03 ом (наиболее распространенные значения). Ты не можешь подключить нагрузку с сопротивлением 0,03 ом, так как в этом случае ток должен был бы достичь 100 а (напряжение на клеммах равнялось бы 3 в), а батарея этого не выдержит.

Ты подключишь, например, нагрузку 1 ом, которая потребует б а, а это вполне нормальный ток для аккумуляторной батареи.

Н. — Иначе говоря, в этом случае сопротивление оптимальной нагрузки не равно внутреннему сопротивлению: нагрузка определяется напряжением батареи и максимальным током, который она может дать.

Л. — Абсолютно верно. Ты усвоил принцип, и я могу уточнить некоторые моменты. Так, например, если усилитель, снабженный снижающим выходное сопротивление каскадом, имеет выходное внутреннее сопротивление 1 ом (или меньше), то на каждый отданный в нагрузку ампер выходное напряжение снизится на 1 в (или меньше). Но этот усилитель может быть рассчитан на работу с большим нагрузочным сопротивлением. Например, если его выходное напряжение 15 в, а максимальный допустимый ток 2 а, то для получения максимальной мощности, т. е. тока 2 а при напряжении 15 в, требуется нагрузка сопротивления 7,5 ом.

А когда на сцену выходит отрицательная обратная связь [особенно в каскадах, собранных по схеме катодного (эмиттерного) повторителя], нужно четко разделять: выходное сопротивление, представляющее собой частное от деления изменения напряжения, вызываемого потреблением энергии, на изменение выходного тока; оптимальное сопротивление нагрузки, которое обычно значительно превышает выходное сопротивление и определяется путем деления выходного напряжения на максимально допустимый выходной ток.

Н. — Понял, он должен признаться, что мое собственное внутреннее сопротивление несколько минут тому назад резко повысилось, и я предлагаю перенести продолжение нашей беседы на следующий раз.

Более 800 000 книг и аудиокниг! 📚

Получи 2 месяца Литрес Подписки в подарок и наслаждайся неограниченным чтением

ПОЛУЧИТЬ ПОДАРОК