Рост растения

Целлюлоза является примером стандартизованного производства в природе. Функции и общий вид молекул целлюлозы во всех, даже весьма сильно отличающихся одно от другого растениях, одинаковы. Правда, молекулы могут быть несколько разной длины, могут по-разному комбинироваться, но все это детали - химическая суть их всегда одна.

Все достаточно развитые растения содержат пустотелые вытянутые веретенообразные клетки-ячейки, стенки которых состоят в основном из целлюлозы. (Вот откуда и название “целлюлоза”: cell - ячейка, клетка, а суффикс ose - общий для всех сахаров, например фруктоза - фруктовый сахар и т. д.) Эти пустотелые веретена оказываются волокнами, которые принимают на себя механические нагрузки, обеспечивая прочность.

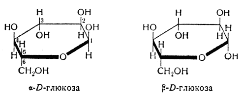
Рис. 36. Молекула глюкозы.

Вначале в листьях растений из атмосферного углекислого газа CO2 и воды под действием солнечного света образуется простой сахар-глюкоза (рис. 36). Подобно другим простым сахарам, глюкоза хорошо растворяется в воде (кстати, поэтому она легко усваивается организмом) благодаря ее пяти гидроксильным группам, которые притягивают молекулы воды, а также тому, что молекулы глюкозы физически достаточно малы и могут свободно блуждать в объеме воды, конечно, при условии, что их там не слишком много. Концентрированный раствор глюкозы напоминает патоку.

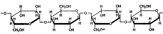
Рис. 37. Ячейки целлюлозной цепочки; обычно цепочка содержит несколько сотен таких ячеек

Растворенная в соке растения глюкоза проходит по его внутренним каналам и поднимается к растущей клетке. В стенке этой клетки молекулы глюкозы своими концами соединяются между собой (рис. 37). Соответствующая химическая реакция известна как реакция конденсации: -ОН + НО- ? -O- + Н2O

В результате образуется кислородная связь (-O-) и молекула воды, которая уходит в сок. Всем этим процессом в растении управляет вещество, которое называется ауксин; но как это происходит, в настоящее время не ясно. Кислородная связь между кольцами cахаров все-таки остается уязвимым звеном в целлюлозной молекуле, которая может достигать в длину нескольких сотен глюкозных ячеек. Именно эта связь разрушается с помощью ферментов в желудках жвачных животных, благодаря чему они могут усваивать целлюлозу; она же разрушается, когда дерево атакуют различного рода грибки. Та же связь рвется под воздействием простых химикалиев; так разрушает ее отбеливающий порошок, используемый в прачечных, что оказывается причиной постепенного старения и износа рубашек после многих стирок[36].

Длинные целлюлозные цепочки откладываются в стенках клеток более или менее параллельно клеткам или волокнам, то есть, можно сказать, в направлении приложенной нагрузки. Процесс роста целлюлозы в целом весьма примечателен. Обычное дерево в возрасте нескольких лет имеет ствол с несколькими отходящими от него небольшими веточками. Каждая из этих веточек по существу представляет собой консольную балку, изгибаемую собственным весом (глава 1). Это значит, что верхние слои веток нагружены растяжением, а нижние - сжатием. Сук становится все толще и длиннее, а стало быть, и тяжелее, поэтому напряжения в верхних и нижних волокнах, в том месте где сук выходит из ствола, увеличиваются. Как и ствол, ветка растет: с каждым годом на ее поверхности под корой слой за слоем откладывается новый материал. Если бы очередной слой откладывался каждое лето в свободном от механических напряжений состоянии, то ветка, или балка, провисала бы все больше и больше, и все деревья должны были бы уподобиться плакучей иве. Однако с большинством деревьев такого не случается. Сучья растут примерно под одним и тем же углом к стволу в течение всей жизни дерева, так что молодое деревце можно считать геометрически подобным взрослому дереву. Так получается потому, что у большинства пород новая целлюлоза откладывается уже во вполне определенном напряженном и деформированном состоянии.

Работая с гидрохиноном и другими довольно простыми растворимыми веществами, я выращивал длинные игловидные кристаллы, усы (глава 3), которые утолщались путем как бы натягивания на поверхность новых слоев материала, что геометрически похоже на растущие слои в дереве. Исходные усы, тонкие волоконца, часто были в высшей степени изогнутыми, и можно было заметить, что растущие слои оказывали на них сильное выпрямляющее воздействие, отчего волнистые зародыши, вырастая до миллиметровой толщины, всегда становились очень прямыми. Отсюда ясно, что растущие слои этих кристаллов формировались под значительным механическим напряжением и эти напряжения выпрямляли волокна. Подобные явления встречаются довольно часто в простых небиологических системах, в этих случаях ни о каких дополнительных управляющих веществах или биологических механизмах и речи быть не может. Мы могли бы поэтому предположить, что прямой, без провисания рост ветки идет под механическим напряжением тоже без участия какого-либо биологического механизма. Но не все растения ведут себя подобным образом, и с помощью прививки можно заставить нормально растущее дерево стать похожим на плакучую иву. Есть предположения, что ауксин, управляющий синтезом целлюлозы, под действием тяжести концентрируется в нижних слоях ветки и, следовательно, внизу целлюлозы откладывается больше. Мне кажется, однако, что это далеко не полный ответ.

Целлюлозные цепочки всегда представляют собой простые нитевидные молекулы, которые не переплетаются с соседними нитями путем образования кислородных связей на боковых сторонах сахарных колец, как это делают другие более слабые полисахариды, например крахмал. Растительная клетка имеет форму трубки, стенки которой образованы длинными, уложенными приблизительно параллельно нитевидными молекулами целлюлозы. В природной целлюлозе имеются области, где молекулы-цепочки уложены идеально в параллельные пряди-кристаллы, они удерживаются в таком порядке с помощью гидроксильных связей по боковым сторонам молекул. Такие образования можно считать вполне добротными кристаллами с той удивительной особенностью, что они короче образующих их молекулярных цепочек (рис. 38). Каждый такой кристаллит заканчивается пучком распушенных цепочек, напоминающим по форме помазок для бритья, в котором волоконца уже не очень параллельны. Молекулы могут в дальнейшем вновь собраться в параллельный пучок и образовать новый кристаллит, так что одна молекула иногда тянется через несколько кристаллитов.

Рис. 38. Кристаллически-аморфная структура целлюлозы

Итак, кристаллические области образуются с помощью гидроксильных групп, которые избавились от плотно прилегающих к ним молекул воды; такая жесткая кристаллическая система оказывается недоступной для воды. Мы знаем об этом по рентгеновским измерениям: когда целлюлоза набухает в воде, расстояния между молекулами в кристалле не изменяются. С другой стороны, целлюлоза очень интенсивно притягивает жидкость и атмосферную влагу, и это с инженерной точки зрения ее самый большой порок.

Доля кристаллического материала в натуральной целлюлозе может быть очень различна, но в среднем она составляет 30-40%. Некристаллическая, то есть аморфная, целлюлоза не имеет никакой защиты своих гидроксильных групп от влаги, Поскольку большинство этих групп со своими соседями жестко не связано, они подхватывают любую доступную им молекулу воды, образуя вокруг себя водную оболочку. Это, естественно, снижает взаимное притяжение гидроксилов. Силы, сохраняющие целостность клеточной стенки в боковом направлении, падают, и клетка разбухает. Целлюлоза полностью не переходит в раствор отчасти благодаря большому размеру своих молекул, а главным образом потому, что система в целом механически связана присутствием кристаллических областей, непроницаемых для воды и составляющих значительную часть общей массы. Так называемая “регенерированная целлюлоза”, целлофан, получается путем растворения натуральной целлюлозы химическими методами, разрушающими кристаллиты. Затем полученный раствор осаждается, образуется прозрачная пленка, состоящая в основном из перепутанных отдельных молекул и намного меньшей доли кристаллитов. Намокая, такая пленка становится очень рыхлой и теряет всю свою прочность; целлофан может использоваться в качестве оберточно-упаковочного материала (это его основное назначение) лишь потому, что на него с двух сторон нанесена очень тонкая непроницаемая для воды лаковая пленка. Однако после продолжительного замачивания материалы такого типа становятся безнадежно слабыми, в то время как натуральная целлюлоза сохраняет довольно большую часть своей прочности.

Используемые нами натуральные сорта целлюлозы - это древесина, бамбук, тростник, лен, конопля, хлопок, рамп, сизал, эспарто и т.д. Однако, как и следует того ожидать, их механические свойства, и особенно разбухание в воде, зависимость прочности от температуры и содержания влаги отличаются лишь в деталях. Общая же картина для всех целлюлоз одинакова.

Более 800 000 книг и аудиокниг! 📚

Получи 2 месяца Литрес Подписки в подарок и наслаждайся неограниченным чтением

ПОЛУЧИТЬ ПОДАРОК