Загадки невидимого света
Спектр лучей, видимых глазом человека, не имеет резких, четко определенных границ. Со стороны фиолетового цвета одни исследователи относили границу к 4000 А, другие — к 3800, третьи сдвигали ее до 3500 и даже 3200 А. Очевидно, это объясняется различной световой чувствительностью глаз и свидетельствует о наличии области лучей, не видимых глазом человека.
Когда чувствительный термометр помещен в область спектра видимых лучей, он показывает значительное повышение температуры. Что же произойдет, если передвинуть термометр (или термопару) за пределы видимого спектра? Такие опыты были поставлены в начале XIX в. английским астрономом У. Гершелем. После многократно проведенных исследований он обнаружил, что за границей красного цвета термометр показывает повышение температуры с определенным максимумом. Это послужило для ученого доказательством существования новых лучей, названных впоследствии инфракрасными.
А что происходит за фиолетовой, коротковолновой границей спектра? И здесь под влиянием невидимых лучей обнаружено повышение температуры. Правда, выражено оно значительно слабее, чем за красной границей спектра, и скептики пытались подвергнуть сомнению существование таких лучей.
Когда же в качестве чувствительного приемника света немецкий физик И. Риттер и английский ученый У. Уолластон использовали в 1801 г. фотопластинку, реальность новых лучей, названных ультрафиолетовыми, стала неоспоримой. За фиолетовой границей спектра фотографическая пластинка чернеет даже быстрее, чем под влиянием видимых лучей. Поскольку почернение фотопластинки происходит в результате фотохимической реакции, ученые пришли к выводу, что ультрафиолетовые лучи весьма активны.
Дальнейшие исследования обнаружили любопытный факт: спектр ультрафиолетовых лучей Солнца очень узок — от 4000 (граница видимого света) до 2900—3000 А; дальшe он резко обрывается. От искусственных же источников света удается получать гораздо более широкий ультрафиолетовый спектр. В чем же дело? Может быть, Солнце не излучает свет с длиной волны короче 2900 А? С физической точки зрения такая граница была бы необъяснима.
Ответ на поставленный вопрос дал французский ученый А. Корню. Он установил, что озон поглощает ультрафиолетовые лучи короче 2950 А. Молекулы кислорода и атмосфере состоят из двух атомов; в молекуле озона их три. Если предположить, что Солнце излучает и коротковолновые ультрафиолетовые лучи, то под их воздействием молекулы кислорода должны распадаться на отдельные атомы, которые, присоединяясь к другим его молекулам, будут образовывать частицы озона. В верхних слоях атмосферы озон должен покрывать всю Землю своеобразным защитным экраном. Гипотеза Корню получила подтверждение тогда, когда люди проникли в высокие слои атмосферы. На высоте 25—30 км действительно был обнаружен слой озона.
Количество ультрафиолетовых лучей, достигающих земной поверхности, зависит от высоты стояния Солнца. С ее уменьшением от 60 до 15° над горизонтом общее количество солнечной радиации снижается всего на одну пятую, тогда как количество ультрафиолетовых лучей падает в 20 раз. При этом граница излучения сдвигается в сторону длинных волн. Когда Солнце стоит в зените |(в экваториальной области), поверхности Земли достигают лучи длиной 2900 и даже 2890 А. В средних широтах коротковолновая граница заканчивается на уровне примерно 2970 А, и то лишь в полдень в летние месяцы. При более низком стоянии Солнца граница сдвигается до 3000 А и больше. За Полярным кругом Солнце даже летом стоит так низко, что земной поверхности достигают только самые длинноволновые ультрафиолетовые лучи.
При стоянии Солнца в зените его лучи преодолевают толщу атмосферы кратчайшим путем; с уменьшением высоты Солнца над горизонтом путь их в атмосфере становится длиннее. При этом больше всего рассеиваются ультрафиолетовые лучи, хотя рассеяние синих, голубых, желтых и зеленых лучей также велико.
Интенсивное рассеяние ультрафиолетовых лучей в атмосфере дает возможность сделать два важных вывода. Во-первых, при увеличении высоты над Землей количество этих лучей должно возрастать, а граница пропускания их должна смещаться в сторону более коротких волн. Специальные опыты подтвердили, что при подъеме в гору на каждые 100 м интенсивность ультрафиолетовой радиации возрастает на 3—4%. В горах на большой высоте в составе солнечного света обнаружены лучи с длиной волны 2900 и даже 2850 А. Во-вторых, доля рассеянных лучей в общем количестве ультрафиолетовых лучей, достигающих земной поверхности, очень велика. На долю рассеянного ультрафиолета в летний полдень приходится от 46 до 70% суммарной ультрафиолетовой радиации, в течение летних месяцев — 35—56%. В остальные месяцы года рассеянная радиация также составляет значительную часть суммарной радиации. В пасмурные дни, когда диск Солнца закрыт тучами, поверхности Земли достигает главным образом рассеянная радиация. Поэтому хорошо загореть можно не только под прямыми лучами Солнца, но и в тени, и в пасмурные дни.
Полеты на высоту в несколько десятков, сотен и даже тысяч километров над Землей позволили изучить особенности солнечного спектра вне экранирующего влияния земной атмосферы. Непрерывный спектр излучения Солнца, пересеченный линиями Фраунгофера, сохраняя полностью свой обычный характер, продолжается до волн длиной 2100 А. Еще дальше в направлении коротких волн интенсивность непрерывного спектра снижается, и на его фоне появляются уже не темные линии Фраунгофера, а яркие полосы излучения (см. рис. VI на вклейке).
Наиболее яркая линия излучения в этой области — линия водорода 1216 А (первая линия спектральной серии Лаймана). Другая очень яркая линия (с длиной волны 303,8 А) принадлежит ионизированному гелию. В интервале от 1000 до 84 А обнаружены многочисленные спектральные линии ионов гелия, кислорода, азота, Углерода, кремния и других элементов, а также все линии серии Лаймана до 919 А.
В активных участках фотосферы Солнца, особенно во время хромосферных вспышек, интенсивность ультрафиолетового излучения резко возрастает. В области линии 1216 А она увеличивается в два с лишним раза, более коротковолновое излучение возрастает значительно сильнее, а рентгеновское излучение (с длиной волны короче 20 А) усиливается в 10—100 раз. Даже небольшая хромосферная вспышка создает иногда более интенсивный поток ультрафиолетового излучения, чем обычно дает все Солнце.
Ультрафиолетовые лучи, охватывающие огромный диапазон излучений, от 4000 до 20 А, граничат с видимым светом и рентгеновскими лучами. В земных условиях ультрафиолетовая радиация Солнца ограничена озоновым порогом (2900—2950 А). Но с помощью искусственных источников ультрафиолетовых лучей (ртутно-кварцевых, водородных, дуговых ламп и др.), дающих как линейчатый, так и непрерывный спектр, можно получить ультрафиолетовые лучи с длиной волны до 1800 А. Первый вакуумный спектрограф, сконструированный немецким оптиком В. Шуманном, позволил открыть область далекого ультрафиолетового излучения, простирающуюся от 1800 до 1270 А. Эта область излучения получила название вакуумной, или шуманновской радиации. Пользуясь вогнутой дифракционной решеткой, Лайман получил в 1914 г. линию водорода с длиной волны 1216 А. В дальнейшем он исследовал область лучей до 500 А.
Какое значение для жизни на Земле имеют волны ультрафиолетового спектра? Вся наиболее коротковолновая область спектра, начиная с вакуумной радиации, легко поглощается молекулами воздуха, воды, стекла, кварца и не достигает биосферы. В диапазоне 4000—1800 А роль лучей различных участков спектра не одинакова. Наиболее богатые энергией коротковолновые лучи сыграли, как мы знаем, существенную роль в образовании первых сложных органических соединений на Земле. Однако эти лучи способствуют не только образованию, но и распаду сложных веществ. Поэтому значительный прогресс форм жизни на Земле наступил лишь после того, как благодаря деятельности зеленых растений наша атмосфера обогатилась кислородом и образовала защитный озоновый шатер. Под его сводами и развернулась эволюция живого, в которой определенную роль играют наиболее длинноволновые ультрафиолетовые лучи (4000—2950 А).
Итак, если иметь в виду не только излучение Солнца, но и земные источники ультрафиолетовых лучей, то интерес и важность для нас представляет лишь диапазон 4000—1800 А. В 1932 г. по рекомендации Второго международного конгресса по физиотерапии и фотобиологии внутри этого диапазона выделено три области: область А — 4000—3200 А, область В — 3200—2750 А, область С — 2750—1800 А. В действии волн каждого из этих диапазонов на живой организм есть существенные различия.
Ультрафиолетовые лучи действуют на вещество, в том числе и живое, по тем же законам, что и видимый свет. Какая-то часть поглощенной лучистой энергии постоянно превращается в тепло, но тепловой эффект ультрафиолетовых лучей не оказывает на организм серьезного влияния. Более распространенный и важный путь отдачи поглощенной энергии ультрафиолетовых лучей — люминесценция. Фотохимические реакции под влиянием этих лучей совершаются особенно легко. Энергия фотонов ультрафиолетового света очень велика, поэтому при их поглощении молекула может распадаться на части. Иногда фотон выбивает электрон за пределы атома. Но чаще всего происходит возбуждение атомов и молекул, облегчающее вступление их в химические реакции. При поглощении одного кванта лучей с длиной волны 2537 А энергия молекулы возрастает до уровня, соответствующего энергии теплового движения молекул при температуре 38 000° С.
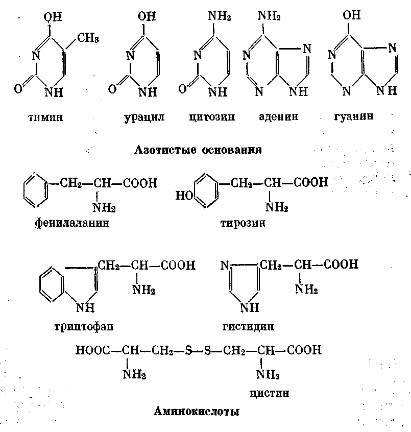
В живых организмах нас больше всего интересует влияние ультрафиолетовых лучей на биополимеры — белки и нуклеиновые кислоты. Участие фотосенсибилизаторов в этом случае пока точно не установлено. Вероятно, оно невелико, ибо белки и нуклеиновые кислоты сами интенсивно поглощают ультрафиолетовые лучи. Очень хорошо поглощают свет молекулы, в которых атомы углерода и азота образуют кольцевые структуры. Такие кольца имеются и в молекулах биополимеров. В нуклеиновых кислотах — это азотистые основания, в первую очередь пиримидиновые (тимин, урацил, цитозин) и пуриновые (аденин, гуанин), поглощающие в основном лучи с длиной волны 2600—2650 А. В белках циклические аминокислоты триптофан, тирозин, фенилаланин, гистидин хорошо поглощают лучи длиной 2800 А.
Группировки атомов

образующие пептидные связи между аминокислотами, поглощают более коротковолновые лучи (1800—2300 А), а дисульфидные мостики цистина — лучи промежуточной энергии — 2537 А.

Поглощенная энергия может мигрировать (перемещаться) по цепи атомов, образующих данную молекулу, без существенной потери, пока не достигнет слабых связей между атомами. Мигрирующая энергия расходуется на разрыв слабых связей. При разрыве пептидных и дисульфидных связей размеры молекулы белка уменьшаются. В ходе данного процесса, называемого фотолизом, образуются осколки молекул, оказывающие сильное действие на организм. Так, из аминокислоты гистидина после отделения группировки — СОО— образуется гистамин — вещество, расширяющее кровеносные капилляры и увеличивающее их проницаемость. Образование гистамина, по-видимому, играет важную роль в действии ультрафиолетовых лучей на организм.
Кроме фотолиза в биополимерах под действием ультрафиолетовых лучей происходят и другие изменения. Обычно молекулы белка имеют одинаковый электрический заряд. При облучении заряд молекул уменьшается, они легко слипаются, выпадают в осадок, теряют свою активность — ферментную, гормональную, антигенную и др. Все эти сдвиги, вместе взятые, носят название денатурации.
Процессы фотолиза и денатурации белков идут параллельно и независимо друг от друга. Они вызываются ультрафиолетовыми лучами разной длины волны: лучи 2800—3020 А вызывают главным образом фотолиз, лучи 2500—2650 А — преимущественно денатурацию. Различное сочетание этих процессов определяет картину действия на организм ультрафиолетовых лучей.
Самая чувствительная к действию ультрафиолетовых лучей функция клетки — деление. Лучи в дозе 10 эрг/мм2 уже вызывают остановку деления примерно 90% бактериальных клеток. Но рост и жизнедеятельность клеток при этом не прекращаются. Со временем восстанавливается и деление. Чтобы вызвать гибель 90% клеток, подавление синтеза нуклеиновых кислот и белков, образование мутаций, нужно довести дозу излучения до 100 эрг/мм2.
На рис. 16 видно, что кривые бактерицидного и генетического действия ультрафиолетовых лучей, их влияния на рост и деление клеток очень сходны между собой и почти совпадают с кривой поглощения лучей нуклеиновыми кислотами. Значит, ультрафиолетовые лучи вызывают в нуклеиновых кислотах изменения, которые влияют и на рост, и на деление, и на наследственность клеток, и на их существование, т. е. на основные проявления жизнедеятельности клеток. Как известно, действуют на организм, клетку, вещество только то излучение, только те фотоны света, которые поглощаются этим веществом (клеткой, организмом). А нуклеиновые кислоты поглощают кванты невидимого ультрафиолетового излучения гораздо сильнее, чем белки, даже в области максимума адсорбции света белками (около 2800 А). Не удивительно, что именно в нуклеиновых кислотах происходят наиболее важные процессы, характеризующие биологическое действие ультрафиолетовых лучей.
Значение нуклеинового компонента в механизме действия этих лучей на организм объясняется особой ролью нуклеиновых кислот в клетке. Если любой белок присутствует в клетке в виде десятков и сотен совершенно одинаковых молекул, то каждая молекула ДНК (дезоксирибонуклеиновой кислоты) уникальна. ДНК — это наследственная память клетки. В структуре ее молекул зашифрована информация о строении и свойствах всех клеточных белков, а значит — об устройстве клетки в целом, о характере и направлении процессов обмена веществ в ней. Понятно, что нарушения структуры молекул ДНК особенно важны, особенно опасны, выход из строя любого участка «наследственной» молекулы может оказаться непоправимым или привести к серьезному нарушению жизнедеятельности.

Рис. 16. Кривые поглощения ультрафиолетовых лучей нуклеиновыми кислотами (1), торможения клеточного деления (2) и мутагенного действия ультрафиолетовых лучей (3)
Итак, повреждение ДНК — главное в механизме действия ультрафиолетовых лучей. Но какова природа этих изменений? Мы уже знаем, что поглощают ультрафиолет циклические структуры азотистых оснований, входящих в состав ДНК. Если основную цепочку — нить этой молекулы, самой большой в органическом мире (молекулярный вес ДНК достигает 12—30 млн.), образуют чередующиеся группировки сахара-дезоксирибозы и фосфорной кислоты, то азотистые основания присоединены к каждому звену этой цепи, образуя как бы ступеньки лестницы. Молекула ДНК состоит из двух нитей, спирально закрученных друг возле друга. Лестница, таким образом, витая. А ступеньки ее — это пары азотистых оснований. Они-то и связывают нити ДНК непрочными, но зато многочисленными водородными связями. При самоудвоении ДНК (а именно с него начинается деление клетки) водородные связи разрываются, и каждая из двух нитей ДНК достраивает недостающую часть.
Квант ультрафиолетового излучения приносит с собой столь значительный запас энергии, что прежняя структура азотистого основания становится «тесной» для него. Обычно избыток энергии расходуется на разрыв двойной связи в наиболее слабом месте молекулы — между 5 и 6 атомами углерода в тимине. В результате образуются две свободные валентности, которые нуждаются в заполнении. Чаще всего разорванная двойная связь восстанавливается. Но если разрыв произойдет одновременно в двух расположенных по соседству азотистых основаниях — валентные связи могут замкнуться не внутри оснований, а между ними. И тогда возникает димер тимина — основной фотопродукт облучения ДНК. Если уподобить двойную спираль ДНК застежке-молнии, то каждый димер будет соответствовать слившимся зубцам застежки, препятствующим расхождению нитей. В результате нарушается процесс удвоения ДНК, а затем и деление клеток. С увеличением дозы облучения растет количество димеров, а с ним и нарушения жизнедеятельности, которые на определенном уровне становятся несовместимыми с жизнью. Наряду с образованием димеров определенное значение имеет и окислительное разрушение, дезаминиро-вание азотистых оснований, например превращение аде-нина в гипоксантин под влиянием ультрафиолета, что также искажает смысл наследственной информации.
В отличие от других физических и химических агентов ультрафиолетовые лучи даже в больших дозах не убивают облученную клетку сразу. Обычно клетка на некоторое время (на 1—2 суток) теряет способность к делению. Затем наступает мнимое выздоровление, и клетка успевает 2—4 раза разделиться, прежде чем наступает окончательная гибель.
Процесс образования димеров (тимина, а также цитозина, димеров тимин-цитозин) лежит в основе не только задержки роста и деления, не только гибели клеток, но и мутагенного, генетического действия. Возникновение прочных валентных связей между азотистыми основаниями нарушает генетический код, искажает смысл наследственной информации. Ведь наследственный язык клетки — четырехбуквенный, именно азотистые основания — его буквы. Точнее, тройка (триплет) азотистых оснований — простейшая единица генетического кода. Если прочная связь возникает (благодаря энергии ультрафиолета) между соседними тиминами в пределах одной нити ДНК, то процесс самоудвоения ДНК и деления клетки не нарушается. Зато дочерние клетки получат по наследству шифровку с опечатками — их жизненная программа будет запутана, опасные абракадабры могут послужить и причиной смерти где-то через 2—3 поколения, либо жизнедеятельность клетки окажется серьезно нарушенной. Так атомно-молекулярные перегруппировки, ставшие возможными благодаря избыточной энергии квантов ультрафиолетовых лучей, сами становятся причиной нарушения жизни клеток, тканей, органов, всего организма.

Процесс, начавшийся с поглощения фотонов ультрафиолетовых лучей биополимерами, по мере своего развития приводит к таким знакомым всем сдвигам в организме, как покраснение кожи (эритема), ее потемнение (загар, пигментация), антирахитическое, обеззараживающее действие и др.
Более 800 000 книг и аудиокниг! 📚
Получи 2 месяца Литрес Подписки в подарок и наслаждайся неограниченным чтением
ПОЛУЧИТЬ ПОДАРОК