ЛЕКЦИЯ № 2. Статистика населения
При изучении любого социального процесса невозможно обойтись без учета численности и структуры групп населения, которые в нем участвуют. Это обусловлено тем, что лишь для установленных групп лиц предполагаются услуги дошкольных учреждений, учебных заведений, служб трудоустройства, служб семьи, диспансеров различного профиля и т. д. К тому же и те потребности, в удовлетворении которых нуждается каждый человек (одежда, жилье и др.), также не могут быть отнесены к какому-либо человеку или к суммарной численности жителей. У разных групп населения существенно различаются и объем, и структура потребностей. Достаточно уловимая разница наблюдается между образом жизни и потребностями городских жителей и сельских.
Статистика населения представляет собой науку, исследующую явления и процессы в количественном показателе, которые протекают в обществе, в постоянной связи с их качественными показателями.
Население – совокупность людей, которые населяют землю, живут на определенной территории континента, страны, города, района, поселения. Население является предметом исследования и демографии, которая определяет общие закономерности развития, исследуя его жизнедеятельность во всех направлениях: историческом, политическом, экономическом, социальном, юридическом, медицинском и статистическом. К тому же необходимо иметь в виду, что по мере развития знаний об объекте обнаруживаются его новые стороны, которые становятся отдельным объектом познания.
Статистика населения в конкретных условиях места и времени имеет свой объект изучения, выявляя все новые формы его движения: естественное, миграционное, социальное.
Естественное движение населения представляет собой изменение численности населения в результате рождения и смерти, т. е. изменения, которые осуществляются естественным путем. При этом браки и разводы учитываются в одинаковом порядке с рождением и смертностью. Миграционное движение (или просто миграция населения) представляет собой передвижение, переселение людей с одной территории на другую через границы отдельных территорий, обычно с переменой места жительства на длительное время или навсегда.
Социальное движение – изменение социальных условий жизни населения, т. е. численности и состава социальных групп людей, имеющих общие интересы, ценности и нормы поведения, которые складываются в рамках исторически определенного общества[1].
Статистика населения решает ряд задач:
1) количественное представление численности населения. Часто требуется информация о численности населения отдельных континентов и их частей, различных государств и включенных в них административно-территориальных подразделений. Для достижения точного результата используется счет категорий населения, следовательно, статистически определяется число рождений, смертей, браков, разводов, а также численность прибывших и убывших мигрантов;
2) разграничение населения по различным признакам и установление демографических процессов. В первую очередь здесь смотрят на деление населения по полу, возрасту, уровню образования, профессиональному, производственному признаку, по принадлежности к какому-либо городскому и сельскому поселению. Структура населения по полу характеризуется: равной численностью полов, мужским или женским перевесом, степенью перевеса того или иного пола. По возрастным показателям структуру населения можно выразить посредством однолетних данных и групп возрастов, а также статистикой изменений возрастного состава. Образовательная структура выражает процент образованного населения, у которого есть определенная степень обучения на различных территориях и в разных сферах.
Профессиональная среда – среда, в которой люди распределяются согласно полученным ими в ходе обучения профессиям. Производственная среда – среда, в которой распределение людей производится по отраслям народного хозяйства. В зависимости от территориального размещения населения или его расселения. В данном случае грань различия проводится между уровнем урбанизации, установлением плотности всего населения;
3) изучение взаимосвязей, наблюдаемых в обществе между его различными группами, и исследование совместимости процессов, происходящих от факторов среды, в которой эти процессы протекают;
4) рассмотрение динамики демографических процессов. В данном случае динамику можно характеризовать как изменение численности населения и как изменение интенсивности процессов, происходящих во времени и пространстве;
5) предоставление данных о прогнозе численности населения на ближайшую и далекую перспективу.
Изучение состава населения на данном этапе развития общества производится путем использования простейших показателей: абсолютными величинами, относительными величинами, средними, рядами распределения и рядами динамики. В настоящее время наиболее актуальным является метод группировки. В его основу положены абсолютные показатели количества человек в каждой выделенной группе. Используются графики. Однако при графическом отображении структуры населения их аналитическая функция очень мала. Таким образом, графики в основном применяют в целях популяризации статистических данных. Исключением являются возрастно-половые пирамиды, так как они имеют аналитическую нагрузку.
Группировки являются главной основой свойств состава населения, поэтому данный процесс следует рассмотреть более детально. Он связан в первую очередь с реализацией общих методических принципов, таких как типологические, структурные, аналитические. Можно выделить некоторые принципы, которые необходимы в процессе построения группировок населения. Наиболее подробный список групп имеет место в случае, если указанная характеристика является автономной и не сочетается с иными признаками. Таковы группировки населения по возрасту, группировки занятых по профессиям с детальным перечнем профессий:[2]
1) в случае комбинационных группировок применяются укрупненные интервалы во избежание чрезмерного дробления материала;
2) некоторые признаки используются как сквозные, т. е. они участвуют почти во всех комбинационных группировках состава населения. Это пол, возраст, образование (достаточно часто), а также деление населения на городское и сельское;
3) в рядах распределения значения атрибутивных признаков даются по возможности в ранжированной последовательности для обеспечения сопоставимости данных, сохраняются, насколько это возможно и целесообразно, схемы группировок предыдущих переписей населения или представляются в виде, удобном для приведения сопоставления путем укрупнения интервалов;
4) используются единые группировки при разработке данных по разным территориям страны;
5) если после проведения предыдущей переписи изменились административные границы какой-либо территории, то информация об этом дается в виде примечания. А данные сведения показываются в двух вариантах – в пересчете на единые границы и в пределах границ соответствующих лет.
В качестве основных источников информации о составе населения во всей мировой статистике представляются переписи населения, проводимые один раз в десять лет.
Переписи и другие виды специально организованного статистического наблюдения
При отсутствии каких-либо сведений в отчетности или для проверки ее данных осуществляется специально организованное наблюдение. Одним из таких наблюдений является перепись населения.
Перепись населения – процесс сбора информации о численности, составе и состоянии объекта статистического наблюдения по ряду признаков, повторяющийся, как правило, через равные промежутки времени.
Характерные особенности переписи:
1) проводится на всей территории, входящей в исследование, в одно время;
2) данная программа является единой;
3) все наблюдаемые элементы регистрируются в один критический момент времени.
Статистическое наблюдение имеет формы и виды (рис. 1).
Статистические наблюдения разделяют по времени регистрации фактов на:
1) непрерывное (текущее) – изменения относительно исследуемых явлений устанавливаются лишь по мере их наступления;
2) периодическое – данные об изменениях объекта собираются в ходе нескольких обследований. В основном осуществляются по подобным программам и инструментарию;
3) единовременное – наблюдение, направленное на получение сведений о количественных характеристиках определенного явления или процесса. Очередная регистрация может быть проведена только через какое-то время, которое заранее, как правило, не определяется, либо может не проводиться вообще.
выделяют сплошное и несплошное статистическое наблюдение.

По охвату всех единиц
Сплошное наблюдение – полный учет всех единиц изучаемой совокупности.
Однако такой вид наблюдения имеет большие минусы: немалые расходы на получение и обработку всего объема информации; большие затраты трудовых ресурсов; недостаточную оперативность информации, так как для ее сбора и обработки необходимо много времени. Никакое сплошное наблюдение не может полностью охватить все единицы совокупности. Это объясняет то, что какое-то количество единиц так или иначе останется не исследованным.
Количество и доля неохваченных единиц находятся в зависимости от следующих условий[3]:
1) вид обследования (по почте, с помощью устного опроса);
2) тип отчетной единицы;
3) квалификация регистратора;
3) содержание вопросов, предусмотренных программой наблюдения;
4) время дня или года, когда проводится обследование, и др.
Несплошное наблюдение – наблюдение, при котором учитываются части единиц совокупности, где есть вероятность получения обобщающей характеристики всей совокупности. Примерами несплошного наблюдения являются: способ основного массива, выборочные наблюдения, монографические описания. Одной из привилегий несплошных наблюдений выступает возможность получения сведений в достаточно короткие сроки и с наименьшими потерями ресурсов, нежели при сплошном наблюдении.
Существует несколько видов несплошного наблюдения:
1) выборочное наблюдение, в основе которого лежит принцип случайного отбора единиц изучаемой совокупности, подвергаемых наблюдению. Достоинство: дает достаточно точные результаты, вполне пригодные для характеристики всей исследуемой совокупности, по сравнению с другими видами несплошного наблюдения.
Разновидностью выборочного наблюдения является метод моментных наблюдений. Суть его состоит в том, что информация собирается путем регистрации значений признаков у единиц выборочной совокупности в некоторые заранее определенные моменты времени. Этот вид наблюдения применяется при проведении обследований доходов населения;
2) метод основного массива. При нем обследованию подвергаются самые существенные, обычно наиболее крупные единицы изучаемой совокупности, имеющие по основному признаку наибольший удельный вес в совокупности. Данный вид применяется для организации наблюдения за работой городских рынков;
3) монографическое обследование, при нем тщательному обследованию подвергаются отдельные единицы изучаемой совокупности. Оно проводится с целью выявления имеющихся или намечающихся тенденций в развитии данного явления. Монографическое обследование, ограничиваясь отдельными единицами наблюдения, изучает их с высокой степенью детализации, которой нельзя достигнуть при сплошном или даже выборочном обследовании[4].
Помимо переписи населения, некоторые характеристики состава населения может дать статистическая отчетность, такие как численность отдельных категорий населения и т. п. Это относится в первую очередь к таким группам, как: дети, посещающие дошкольные учреждения; учащиеся учебных заведений различного типа; пенсионеры; лица, занятые в различных отраслях народного хозяйства.
К такой отчетности относятся:
1) Отчет о численности пенсионеров и суммах назначенных месячных пенсий. Форма № 6-ПФ(к) (годовая, почтовая);
2) Отчет о численности военнослужащих, размерах денежного обеспечения и состоянии его выплаты. Форма № 2-ВС (полугодовая);
3) Отчет о деятельности концертной организации, самостоятельного профессионального коллектива за год. Форма № 12-нк (почтовая – годовая);
4) Отчет о деятельности театра за год. Форма № 9-нк (почтовая – годовая);
5) Отчет о деятельности музея. Форма № 8-нк (почтовая – годовая) и др.
Отчетность заключает в себе информацию о численности посетителей музеев, зрелищных учреждений, объемах пассажирских перевозок различными видами транспорта. Данные сведения имеют особенность и ограниченность в том, что они отражают в основном общую численность лиц без каких-либо характеристик их состава.
Методы исследования, применяемые в статистике населения
В широком смысле понятие метода означает совокупность приемов и способов регулирования отношений, необходимых для достижения цели. Метод конкретной науки представляет собой совокупность приемов теоретического и практического исследования действительности. Статистика населения выступает в качестве отраслевой статистики, и базой ее методологии служит статистическая методология.
Важнейшим методом получения информации об изучаемых процессах и явлениях является статистическое наблюдение. К методам статистики относят и принцип самостоятельности отнесения каждого переписываемого лица к определенной группе – принцип самоопределения. Наиболее распространенный метод – группировка. Применение метода группировок и классификаций, получивших в статистике населения название типологических и структурных, необходимо для познания структуры населения с выделением признаков группировки и классификации, например по атрибутивным, количественным, результативным, факторным признакам. Благодаря данным группировкам появляется возможность построить систему уравнений, которая необходима для нахождения параметров уравнения регрессии и определения, насколько тесны связи, при помощи расчета коэффициентов корреляции. Широко применяются в изучении населения динамика, графики, индексный, выборочный и балансовый методы.
Следовательно, статистика населения применяет для изучения своего объекта все возможные статистические методы и принципы. Помимо этого, используются и методы, разработанные только для изучения населения, т. е. методы реального поколения и условного поколения. Первый дает возможность увидеть изменения в естественном движении ровесников (родившихся в одном году) – продольный анализ; второй производит анализ естественного движения сверстников (живущих в одно и то же время) – поперечный анализ.
При сравнении развития отношений в обществе, особенностей, присущих определенной группе общества, и процессов, происходящих в обществе существуют условия для сравнения данных не одинаковых между собой. Путем реального взвешивания при расчете обобщающих средних величин был разработан метод стандартизации, который позволяет исключать влияние разных возрастных характеристик населения.
Применение абстрактных математических методов в статистике населения дает возможность статистически смоделировать процессы, которые происходят в населении. Надобность в моделировании появляется в случае невозможности исследования самого объекта, в основном используется для характеристики динамики населения. Различают экспоненциальные и логистические модели. Модели стационарного и стабильного населения имеют особое значение в прогнозе населения на периоды в перспективе, которые определяют сложившийся в данных условиях тип населения и строятся на основе характеристик интенсивности его развития.
Многие группировки включают разграничение на городских и сельских жителей. Этот показатель является одним из наиболее динамичных и информационно емких.
Наиболее интересны данные, которые представляет региональная статистика, так как территория России отличается редким разнообразием природно-климатических, географических, этносоциальных, историко-культурных и экономических факторов. Результатом данного многообразия факторов является обширная территориальная дифференциация демографических показателей.
Демографическим определением является возрастно-половая группировка населения. Наиболее характерными бывают возрастные интервалы: одногодичные, пятилетние, десятилетние. Помимо этого, выделяются группы лиц моложе трудоспособного возраста, трудоспособного и старше трудоспособного возраста, к которым строятся специальные графики – возрастно-половые пирамиды (см. табл. 1).
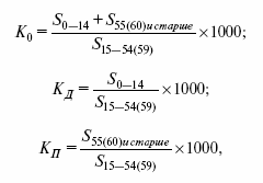
В статистике обобщающие показатели состава населения используются и на уровне высокой степени сложности. Особенно важными являются показатели демографической нагрузки населения трудоспособного возраста.
Расчет данных показателей осуществляется по следующим формулам:

где K0 – общая демографическая нагрузка населения трудоспособного возраста;
S0-14,S15-54(59),S55(60) – численность населения в соответствующих возрастных группах;
KД – демографическая нагрузка детьми;
KП - демографическая нагрузка пожилыми.
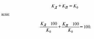
Связь между этими показателями может быть выражена следующим образом:

С ростом социальной мобильности населения наиболее жизненно важными становятся вопросы систематизирования соответствующих статистических показателей, которые представляют собой матрицы с главных социальных потоков по направленности (вертикальная и горизонтальная, внутрипоколенная и межпоколенная и др.).
Показатели интенсивности социальной мобильности включают:
1) среднее число перемещений на одного человека;
2) вероятность изменения социального статуса.
Данные показатели разумно устанавливать дифференцированно по отдельным демографическим, социально-экономическим, территориальным, этническим группам.
Также вычисляется и средний возраст в момент определенной очередности смены социального статуса[5].
Традиционно в переписях этнические характеристики населения России отображались данными о национальности, родном языке и свободном владении языками народов СССР. От одной переписи до другой происходят изменения в учете этнического состава населения России, что подтверждают Программы микропереписи 1994 г. и переписи 2002 г. Характеризуются эти изменения следующим:
1) кроме национальности теперь принимаются во внимание также народность и этническая группа;
2) расширяются сведения о языках. Например, учитываются и родной язык, и другой язык, которым свободно владеет опрашиваемый.
Национальная принадлежность определяется преимущественно следующими показателями:
1) числом лиц каждой национальности;
2) числом лиц каждой национальности на 100 000 человек населения;
3) долей лиц коренной национальности в регионе;
4) долей лиц коренной национальности, живущих за пределами своего региона.
За 5 лет (1989-1994 гг.) произошли значительные изменения в национальном составе населения России[6]. В составе населения России на 20-30% сократился удельный вес украинцев, белорусов, евреев, и на 10% и более увеличилась доля армян, аварцев, осетин, якутов, лезгин. Данные изменения прежде всего связаны с вынужденной иммиграцией из стран ближнего зарубежья, кроме того, с эмиграцией в государства дальнего зарубежья, процессами ассимиляции и естественной убыли населения.
Регулярно при проведении переписей осуществляется учет данных о родном языке. Эта информация отображает уровень национального самосознания, степень приверженности к национальной культуре. Необходима она также при планировании работы органов народного образования, издательского дела и др.
Между социально-политическими процессами и миграцией населения существует достаточно тесная связь. Следовательно, здесь значителен состав населения по продолжительности проживания в месте постоянного жительства. При переписи населения более детально отображаются миграционные характеристики населения, соответственно в ней учитывались: место рождения, продолжительность непрерывного проживания в месте постоянного жительства, а также указывались все причины последнего переезда на новое место жительства.
В программе микропереписи 1994 г. предлагался следующий перечень возможных причин переезда:
1) в связи с учебой;
2) в связи с переменой места работы;
3) из-за невозможности устроиться на работу;
4) не было возможности заниматься самостоятельно сельским хозяйством;
5) не было возможности заниматься предпринимательством или индивидуальной трудовой деятельностью;
6) из-за межнациональных отношений;
7) в связи с обязательным знанием языка коренной национальности;
8) из-за обострения криминогенной обстановки;
9) из-за неустроенности быта;
10) из-за смены климата в связи с состоянием здоровья;
11) не удовлетворяли экологические условия;
12) в связи с аварией на Чернобыльской АЭС;
13) нежелание жить в селе (городе);
14) по семейным обстоятельствам;
15) иная причина (указать какая).
В данной программе для лиц, не имеющих места жительства между переписями 1989 и 1994 гг., указывался тот год, с которого человек проживает в данном месте; места предыдущего его жительства; тип населенного пункта, откуда прибыл (из городского, сельского); является беженцем или вынужденным переселенцем[7].
В настоящее время учет осуществляется по составу и направленности потоков беженцев и вынужденных переселенцев. В целом по России поток беженцев и вынужденных переселенцев значительно сократился по сравнению с 1990 г.
Плотность потоков переселенцев и беженцев определяется с помощью коэффициента интенсивности:

Показатели миграции населения. Выделяют следующие виды миграции:
1) внутренняя – перемена постоянного места жительства в рамках страны;
2) внешняя – перемена постоянного места жительства посредством въезда и выезда из страны;
3) сезонная – численность населения меняется в определенные периоды года;
4) маятниковая – каждодневные перемещения людей от места их жительства к месту работы или обучения и обратно.
Для оценки механического движения применяются относительные и абсолютные показатели миграции.
Абсолютные показатели:
1) численность прибывших в населенный пункт П;
2) численность выбывших из населенного пункта В;
3) абсолютный миграционный (механический) прирост (П-В)[8].
Относительные показатели, характеризующие интенсивность миграционных процессов:
1) коэффициент прибытия;
2) коэффициент выбытия;
3) коэффициент миграционного (механического) прироста.
Распад СССР и происходящие социально-экономические изменения существенно повлияли на расселение людей, спровоцировали интенсивные миграционные потоки, привели к увеличению доли беженцев и вынужденных переселенцев в общем числе мигрантов. Сведения о беженцах и вынужденных переселенцах собирает Федеральная миграционная служба России по представлению органов государственной статистики.
Увеличение численности беженцев и вынужденных переселенцев приводит к большим трудностям по их трудоустройству, обеспечению жильем, организации социальной поддержки и медицинской помощи. По программе произведенной в октябре 2002 г. переписи населения было предусмотрено сделать оценку вынужденных мигрантов с социально-демографической позиции. Это должно было помочь повысить обоснованность мер, принятие которых необходимо для регулирования миграционных процессов.
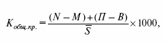
Для определения изменения численности населения как за счет демографических факторов (рождаемости и смертности), так и за счет миграции исчисляется коэффициент общего прироста населения. Он может быть исчислен несколькими способами:


При изучении различных процессов в обществе статистический анализ социальной структуры и социальной мобильности населения развивается и усложняется, стремительно увеличивается число демографических научно-исследовательских институтов, периодических изданий и международных организаций, занимающихся изучением в сфере данной социальной статистики. Основой исследований в данной области служат данные переписей населения. Поэтому для новой России чрезвычайно важным событием стало проведение переписи населения в октябре 2002 г[9].
Коэффициенты обновления и выбытия населения строятся по аналогии с коэффициентами обновления (выбытия) основных фондов.
Коэффициент обновления (выбытия) состава j-й социальной группы выглядит следующим образом:

где Nj1, Nj0 – численность j-й социальной группы на конец (1) и начало (0) изучаемого периода.
Если Nj1,» Nj0 то Kj » 0, в противном случае Kj «0. При Kj ? 0 значительно изменяется состав данной социальной группы.
Оценку изменения всей социальной структуры можно осуществить с помощью любого из показателей динамики структуры, например такого, как:

где Wj1, Wj0 – удельные веса группы в отчетной и базисной структуре соответственно;
т – число групп.
К» 3 процентных пунктов показывает весомость структурных сдвигов.
В случае нахождения определяющих условий изменения и построения установленной модели, при помощи которой можно дать оценку роли каждого из условий эффекта их взаимосвязи, задача анализа состава населения решена.
Основные демографические показатели приведены в таблице 1.

Более 800 000 книг и аудиокниг! 📚
Получи 2 месяца Литрес Подписки в подарок и наслаждайся неограниченным чтением
ПОЛУЧИТЬ ПОДАРОК