ЛЕКЦИЯ № 9. Статистика занятости и безработицы
Занятость – чрезвычайно важное явление социально-экономической жизни общества. Включает рациональное использование труда, обеспечение достойного уровня жизни работающего населения, удовлетворение потребности народного хозяйства страны в рабочей силе с учетом количества и качества ее, а также включает проблемы безработицы.
Занятость – это деятельность человека, объединенная с ублажением личных и общественных надобностей, которые не противоречат законодательству и приносят заработок. К лицам, занятым экономической деятельностью, относятся лица в возрасте от 15 до 70 лет, которые за вознаграждение работают на условиях найма или неполного рабочего времени, индивидуально или самостоятельно или у отдельных граждан-работодателей, на собственных или семейных предприятиях, и бесплатно работающие члены домохозяйства, занятые в личном подсобном, сельском хозяйстве, временно отсутствующие на работе.
Трудоспособное население – это то население, которое способно к трудовой деятельности, без учета возраста, т. е. часть населения, которая потенциально обладает трудоспособностью, иначе говоря, обладает необходимым физическим развитием, умственными способностями и знаниями для выполнения работы. Трудоспособное население включает трудоспособное население в пределах трудоспособного возраста, занятое и незанятое, а также население за пределами трудоспособного возраста, потенциально способное работать.
К экономически неактивному населению относятся:
1) лица, обучающиеся в общеобразовательных учреждениях и студенты дневной формы обучения;
2) неработающие пенсионеры по возрасту или инвалидности;
3) неработающее население, получающее доход от ценных бумаг, акций, и те, кто получает материальную помощь от обществ, организаций и частных лиц;
4) лица, оказывающие добровольные бесплатные услуги, и лица трудоспособного возраста, которые могут работать, но не ищут работу по объективным и субъективным причинам.
Общей чертой сведений, составляющих статистику, является то, что они всегда относятся не к одному единичному (индивидуальному) явлению, а к общей их комплексности.
Перед статистикой занятости и безработицы стоят следующие задачи:
1) сбор информации о численности занятых и безработных как составных частях рабочей силы;
2) измерение уровня занятости и безработицы с целью изучения состояния, тенденций на рынке труда;
3) исследование трудоустройства населения для оценки ситуации на рынке труда и ее прогнозирования;
4) изучение состава занятых и безработных с тем, чтобы разработать программу занятости;
5) изучение взаимосвязи между занятостью, доходом, содержанием и иными поощрениями труда с целью получения программы занятости.
Решение данных задач формирует условия для измерения предложения рабочей силы и ее фактического применения. Их выполнение строится на сочетании ряда источников данных.
В России для расчета общей по регионам численности занятых в течение года служат данные текущей отчетности по труду: форма 1-Т «Сведения о численности и заработной плате работников по видам деятельности» (годовая), форма унифицированной отчетности № П-4 «Сведения о численности, заработной плате и движении работников» (месячная – со среднесписочной численностью более 15 человек, квартальная – со среднесписочной численностью до 15 человек). По этим формам отчитываются все предприятия. Количество занятых для малых предприятий можно получить из квартального единовременного отчета № ПМ «Об основных показателях деятельности малого предприятия». Исследование состава занятых по отраслям народного хозяйства, секторам экономики осуществляется по балансам трудовых ресурсов, составляемых на середину (1 июля), конец (начало – 1 января) года и в среднем за год.
Существенным источником информации о численности безработицы являются данные служб занятости, соединивших в 1991 г. ранее действовавшие центры и бюро по трудоустройству граждан. Служащие сфер занятости заполняют первичную учетную документацию по трудоустройству и занятости населения, содержащую карточку персонального учета гражданина, который ищет работу, № 1 и карточку обратившегося в службу занятости за советом № 2, к тому же они ежемесячно присылают в органы государственной статистики «Отчет о трудоустройстве и занятости населения». Однако не все нуждающиеся в работе обращаются к услугам служб занятости. В них отмечается только численность официально зарегистрированных безработных (на конец периода: месяца, квартала, года). Вместе с информацией текущей отчетности для измерения совокупного количества безработных начиная с 1992 г. применяются материалы выборочного анализа населения по вопросам занятости: с 1999 г. они осуществляются ежеквартально на последней неделе второго месяца квартала. Обследуются в течение недели 60 тыс. граждан в возрасте 15-72 лет. Наивысший верхний возрастной рубеж дает возможность уточнить вероятное участие на рынке труда пенсионеров, низкий – подростков. Итоги обследования дают возможность оценить численность безработных, их распределение по обстоятельствам незанятости, по способам поиска работы. Способы поиска работы в особенности важны, так как рынок труда может функционировать как в организованной, так и в неорганизованной форме.
Применение выборочных обследований в комбинации с информацией текущей отчетности для нахождения численности безработных рекомендовано МОТ и практикуется во многих странах.
Некоторую помощь в сборе информации о занятости могут оказать и материалы выборочных обследований предприятий. С 1991 г. в нашей стране ежемесячно проводится организацией «Российский экономический барометр» (РЭБ) мониторинг предприятий и банков. На сегодняшний день РЭБ является единственной организацией, выполняющей анализ экономической ситуации в России на базе конвенциональных методов опросной статистики.
Так как размер безработицы широко применяется в международной практике в качестве общего показателя текущего состояния экономики страны, то, разумеется, необходимо включение в программы информации обследований вопросов, уточняющих ситуацию на рынке труда и разрешающих прогнозировать ее. Из-за существенности данной информации Правительством РФ было утверждено 22 марта 1995 г. Положение о всероссийском мониторинге социально-трудовой сферы. Осуществляют организацию и проведение мониторинга социально-трудовой сферы Министерство труда РФ и Госкомстат России при участии Министерства экономики, Министерства социальной защиты населения, Федеральной миграционной службы России, Федеральной службы занятости.
Обстановка на рынке труда в ряде районов регулярно просматривается научными центрами по трудоустройству населения, например благодаря телефонным опросам населения города по вопросам занятости и качества жизни производится мониторинг социально-экономической обстановки и состояния рынка труда. Направление населения на рынке труда является объектом международного сравнительного обследования, проводимого в рамках проекта ISSP (International Social Science Program).
Уровни занятости и безработицы
Занятость – это деятельность населения, которая связана с удовлетворением личных и общественных потребностей, не противоречащая законодательству и приносящая, как правило, заработок, трудовой доход.
Под безработицей понимается социально-экономическая обстановка, при которой доля инициативного, трудоспособного населения не в состоянии найти работу, которую данные люди могут выполнить. Безработица определена превышением количества людей, стремящихся найти работу, над количеством имеющихся рабочих мест, отвечающих профилю и квалификации претендентов на эти места. Безработные – это трудоспособные граждане, которые ищут работу, стоят на бирже труда и не имеют истинной возможности получить работу согласно своему образованию, трудовым навыкам, профилю. Во многих странах сегодняшнего мира отмечается уровень безработицы, составляющий примерно 5% от общего числа занятых.
Согласно рекомендациям МОТ статистика рассматривает численность занятых и безработных как две составные части экономически активного населения, т. е. рабочей силы. Ее измерение дает возможность осуществлять макроэкономические мониторинга и разрабатывать стратегию занятости.
Под рабочей силой (экономически активным населением) понимается часть населения в работоспособном возрасте от 16 лет и до принятого возраста выхода на пенсию, работающих или безработных, исключением являются недееспособные. Она обеспечивает предложение рабочей силы для производства товаров и услуг и включена в Систему национальных счетов ООН. Различают общую рабочую силу, которая включает лиц, находящихся на военной службе, и гражданскую, за минусом лиц, находящихся на истинной военной службе.
Количество экономически энергичного населения определяется по отношению к установленному времени и включает занятых и безработных, а также оценивается по сведениям выборочных анализов населения по вопросам занятости. При измерении экономически энергичного населения в международных стандартах советуют указывать минимальный возраст. Он может быть взят на уровне 6 лет (Египет), 10 лет (Бразилия) и увеличиваться до 16 лет (США, Швеция). Во многих странах он составляет 14-15 лет. В некоторых странах рассматривается два минимальных предела: более низкий – для получения данных об экономической деятельности и несколько более высокий – для классификации экономически активного населения: например, в Канаде – 14 и 15 лет, Индии – 5 и 15, Венесуэле – 10 и 15, в России – 15 и 16 лет.
Кроме минимального, в ряде стран определен максимальный возраст, т. е. лица старше его исключаются из расчета численности экономически активного населения. Например, в Дании, Финляндии, Швеции, Норвегии принят верхний предел в 74 года, а в России ограничиваются возрастом в 72 года. В то же время при дальнейшей классификации населения на занятых и безработных, как и в большинстве стран, предельный возраст не установлен. Чтобы получить представление об уровне экономической активности населения страны (региона), обусловливается доля экономически активного населения в общей численности населения. В 2006 г., согласно опубликованному ежегодному докладу Международного бюро труда «Глобальные тенденции в сфере занятости» число безработных в глобальном масштабе 195,2 млн чел., или 6,3% от общего числа людей трудоспособного возраста. Следовательно, в общей численности населения в глобальном масштабе 2903,2 млн чел., или 93,7%, составляют жители, обеспечивающие предложение рабочей силы.
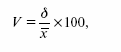
Наиболее достоверно уровень экономической активности населения находится как отношение численности экономически активного населения к численности населения в возрасте от 15 до 72 лет, вследствие того что эта возрастная группа участвует в выборочных обследованиях. Самой большой трудовой активностью располагают люди трудоспособного возраста (в России женщины 16-54 лет и мужчины 16-59 лет). Поэтому находится также уровень экономической активности населения в трудоспособном возрасте как отношение численности экономически активного населения трудоспособного возраста к численности населения в трудоспособном возрасте.
Каждой возрастной группе свойственен свой уровень экономической активности, т. е. желание работать регулярно возрастает до возраста 35-39 лет (в некоторые годы до 40-44 лет) и далее понемногу убывает.
Хотя возраст влияет на уровень экономической активности, но для мужчин и в старших возрастных группах он остается достаточно высоким. Согласно этому возрастная вариация уровня экономической активности у мужчин ниже на 10 процентных пунктов.
Расчет коэффициентов вариации осуществляется по формуле:

Где x – средний уровень экономической активности в целом по всем возрастным группам;
? – среднеквадритическое отклонение, характеризующее колебания уровня экономической активности по возрастам.
Верное определение экономически активного населения зависит от точности нахождения его двух компонентов: занятых и безработных.
Занятым населением являются мужчины и женщины в возрасте 16 лет и старше, а также лица младших возрастов, которые в изучаемый период:
1) осуществляли работу по найму за плату (на условиях полного или частичного рабочего времени), а также другую дающую доход работу (самостоятельно либо у некоторых граждан);
2) временно не находились на работе из-за травмы, болезни, по случаю отпуска и иным причинам;
3) осуществляли работу без вознаграждения на семейном предприятии.
Безработным населением являются лица 16 лет и старше, которые в изучаемый период:
1) не располагали работой (прибыльным занятием);
2) занимались поиском работы (обращались к администрации предприятия, в службу занятости, применяли личные связи, размещали объявления в печати и др.) или предпринимали шаги к организации собственного дела;
3) находились в готовности приступить к работе.
При причислении к безработным должны наличествовать все три критерии, перечисленные выше. К безработным относятся также лица, которые обучаются по направлению служб занятости или выполняют оплачиваемые общественные работы, получаемые через службы занятости.
К безработным, по методологии МОТ, можно причислить и студентов, учащихся, инвалидов и пенсионеров, если они осуществляли поиск работы и находились в готовности к ней приступить.
В состав безработных входят лица, не занятые трудовой деятельностью, зарегистрированные в службе занятости в качестве ищущих работу, а также определенные как безработные.
Для характеристики состояния рынка труда статистика преимущественно дает данные об абсолютной численности занятых и безработных в стране и по регионам. Для России 1990-х гг. XX в. было характерно направление уменьшения количества занятого населения. Данная направленность хорошо аппроксимируется показательной кривой вида:
у = 76,07x0,981t,
где t принимает значения 1,2,3,…,10.
Обстановка на рынке труда оценивается не только через абсолютную численность занятых и безработных, но и через уровень безработицы и уровень занятости, которые находятся как удельный вес соответствующей категории рабочей силы в численности экономически активного населения на начало (конец) периода или в среднем за год:

Уровень занятости можно найти и как долю занятых среди населения установленной возрастной группы. Эти два показателя занятости имеют между собой взаимосвязь:

Уровень занятости определяет степень применения трудоспособного населения в сфере общественно полезного труда. Величина этого показателя отображает сформировавшуюся экономическую обстановку в стране, которая зависит от формирования научно-технического прогресса в обществе, производительных сил, уровня обеспеченности населения. Занятость бывает полная, частичная и скрытая.
Полная занятость рассчитывает на формирование таких условий жизни, которые дают возможность выбора каждому активному человеку при его желании быть занятым или незанятым. Полная занятость не означает, что все трудоспособное население в трудоспособном возрасте должно быть непременно занятым. Исходя из ряда обстоятельств, некоторые активные лица в процессе труда могут и не участвовать (люди, не работающие только из-за желания сменить профессию; женщины, ухаживающие за детьми, и др.). Полная занятость достаточно редкое явление в обстановке рыночной экономики и получается при совпадении спроса на рабочую силу с ее предложением.
Частичная занятость выступает как заранее определенная работа в течение неполного рабочего дня, неполной рабочей недели. Она свойственна странам с высоким уровнем экономического развития, где уровень науки создает экономические условия для частичной занятости.
Неполный рабочий день (неделя) может более широко применяться и в нашей стране, в особенности среди женщин, не как вынужденная, а как сознательно выбранная форма организации труда.
Особого внимания заслуживает скрытая занятость (потенциальная безработица), при которой работники трудятся не по своему желанию в режиме неполной занятости, пользуются отпусками по инициативе администрации без сохранения или с частичным сохранением заработной платы. Подобная неполная видимая занятость преуменьшает действительное число безработных.
Занятые и безработные (экономически активное население) определяют составную часть трудовых ресурсов региона. Вследствие этого в печатных изданиях зачастую уровни занятости и безработицы рассчитываются как удельный вес занятых и удельный вес безработных в общем объеме трудовых ресурсов. Полученные так показатели уровней занятости и безработицы по своим величинам оказываются ниже проанализированных ранее (в % к экономически активному населению). Между ними имеется примерно следующая связь:

Рассмотренные взаимосвязи показателей верны лишь в целом. В некоторых ситуациях вероятны их нарушения, если в составе безработных будет огромна доля лиц нетрудоспособного возраста (например, пенсионеров, ищущих работу и готовых к ней приступить), так как возрастные границы для категорий «трудовые ресурсы» и «экономически активное население» не совпадают. Тем не менее в большинстве случаев рассмотренные равенства имеют место.
К экономически неактивному населению в трудоспособном возрасте, т. е. населению, которое не входит в состав рабочей силы, относятся:
1) учащиеся и студенты, слушатели и курсанты, посещающие дневные учебные заведения и не занятые никакой деятельностью, кроме учебы;
2) лица, занятые ведением домашнего хозяйства, уходом за детьми, больными, родственниками и т. п.;
3) лица, прекратившие поиск работы, исчерпав все возможности ее получения, но они могут и готовы работать;
4) лица, которым нет необходимости работать, независимо от источника их дохода.
Экономически неактивное население, по методологии Международной организации труда (МОТ), включает еще две категории, не входящие в состав трудовых ресурсов:
1) лица, получающие пенсии (по старости, на льготных условиях, по потере кормильца) и не занятые никакой деятельностью;
2) инвалиды, получающие пенсии и не занятые никакой деятельностью.
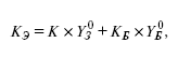
Так как численность экономически активного населения, численность занятых и безработных связаны, динамика данных показателей определяется следующим образом:

где КЭ – коэффициент роста численности экономически активного населения;
КЗи КБ – коэффициенты роста численности занятых и безработных;
YЗ и YБ – уровни занятости и безработицы в базисном периоде.
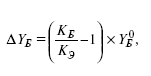
Установить изменение в местах уровня безработицы (занятости) можно, основываясь на модели динамики численности экономически активного населения:

где?YБ– абсолютное изменение уровня безработицы, выраженное в процентных пунктах.
Положено отличать фактическую безработицу, которая рассчитана по методологии МОТ на основе выборочных обследований, от официально зарегистрированной в органах Государственной службы занятости РФ.
Выделяется три группы граждан, которые обратились в службы занятости с просьбой о трудоустройстве:
1) трудящиеся, но стремящиеся поменять место работы или работать по совместительству в свободное от основной работы время;
2) учащиеся общеобразовательных школ и других учебных заведений, студенты, которые хотят трудиться в свободное от учебы время;
3) свободные в момент поиска работы.
Для оптимизирования в районе степени безработицы максимальный интерес имеет третья группа граждан, которые обратились в службу занятости с просьбой о трудоустройстве. Основная часть этих граждан относится к официально признанным законодательным путем безработным.
В основном уровень безработицы, найденный по данным выборочного обследования, в 3-6 раз выше уровня, зафиксированного в органах Государственной службы занятости РФ. Разница этих показателей еще более ощутима, если учесть состав безработных по полу.
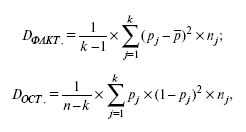
Значительность различия по полу в доле безработных, которые обращались в службу занятости, может быть оценена с помощью F-критерия Фишера:

где DфАКТ и D0CT. – факторная и остаточная дисперсии на одну степень свободы.
Для нахождения этих дисперсий можно применять следующие формулы, которые учитывают правило сложения дисперсий альтернативного признака:

где k– число групп населения по полу;
pj – доля безработных, обратившихся в службу занятости, в общей численности безработных (отдельно среди мужчин и среди женщин);
р – средняя доля безработных, обратившихся в службу занятости, в целом по обследованию;
nj – численность безработных – отдельно для мужчин и женщин;
п – общая численность безработных.
Информация текущей статистики службы занятости о трудоустройстве населения применяется для оценки общей численности безработных в периоды между обследованиями населения по проблемам занятости. Для определения количества безработных в месяцы между двумя анализами используется интерполяция соотношения количества безработных, которое получено по сведениям изучения, и количества незанятого населения, которое учтено в службе занятости на определенную дату. Методика аналогичных расчетов может быть различной в зависимости от принятого построения интерполяции.
Первоначально находится, как трансформировалось за время между двумя последними анализами соотношение совокупного количества безработных, которое получено по сведениям обследования, и количества незанятого населения, находящегося на учете в службе занятости. Допустим, что по данным последнего обследования численность безработных в регионе составила 240 тыс. человек (хп), в службе занятости на конец месяца обследования числилось 30 тыс. человек (уп). Таким образом, соотношение численности безработных по двум источникам информации составило 8: 1 (Сn).
Подобным образом по результатам предыдущего обследования численность безработных 200 тыс. человек (х0), в службах занятости состояло на конец месяца, в котором проводилось обследование, 50 тыс. человек (у0), соотношение этих данных равно 4 (С0). Изменение этих соотношений между двумя последними обследованиями:

где t – число месяцев между двумя смежными обследованиями.
Если проводится обследование раз в квартал, то t = 3 и ? = 4/3 = 1,333. Если допустить, что ежемесячно это соотношение увеличивается на одно и то же значение, то совокупное количество безработных на конец анализируемого месяца сформируется как:
х1 = Yt х (С0 + ? х t),
где t – порядковый номер месяца после даты предыдущего обследования;
Yt – численность незанятого населения, состоящего на учете в органах службы занятости на конец рассматриваемого месяца t.
Вероятен и другой метод интерполяции численности безработных между двумя датами обследования, если допустить, что ежемесячно анализируемое соотношение двух источников данных о численности безработных меняется не в арифметической, а в геометрической прогрессии (в одно и то же число раз). С данной целью найдем общий коэффициент роста этого соотношения:

т. е. коэффициент роста соотношения информации за период между двумя смежными обследованиями. В нашем примере он составит к0 = 8/4 = 2.
Средний ежемесячный коэффициент роста этого соотношения найдем как:

Оба варианта интерполирования теоретически равны, хотя на практике отдается предпочтение первому методу как более простому.
Трудоустройство населения
В органы Федеральной службы занятости в поисках работы обращаются как занятые, так и не занятые трудовой деятельностью граждане. Для оценки обстановки на рынке труда преимущественно определяется численность зарегистрированных Государственной службой занятости РФ граждан, которые не заняты трудовой деятельностью. Наряду с этим при предположении, каково будет состояние рынка труда, очень существенна информация и о количестве граждан, занятых трудовой деятельностью, но стремящихся поменять место работы, которые, к примеру, боятся потенциального сокращения в своих организациях и в связи с этим направляются за помощью в трудоустройстве. Статистика исследует, помимо численности, и структуру обратившихся в Государственную службу занятости РФ за помощью в трудоустройстве по следующим категориям:
1) занятые трудовой деятельностью;
2) учащиеся;
3) не занятые трудовой деятельностью;
4) пенсионеры.
С увеличением экономической нестабильности в стране возможно возрастание числа лиц, которые заняты трудовой деятельностью, но стремятся поменять место работы. Следовательно, может расти и число пенсионеров, которые желают на поприще труда поправить свое материальное положение.
Статистика исследует структуру населения, которое ищет работу и обратилось в органы службы занятости, по возрасту, полу и образованию, где больше половины составляют женщины. Их доля наиболее высока среди лиц, не занятых трудовой деятельностью, а также среди пенсионеров. Из общей численности обратившихся отмечается молодежь в возрасте до 30 лет, среди которой доминирует доля женщин.
Как следствие деятельности службы занятости находится численность трудоустроенных ее органами граждан в общей численности обратившихся. На сегодняшний день наблюдается увеличение числа трудоустроенных лиц среди тех, которые обратились в поисках работы в органы службы занятости, главным образом среди учащихся.
Максимальный удельный вес среди работающих имеют свободные от трудовой деятельности граждане как особо нуждающиеся в помощи лица, а также очень большой процент трудоустройства молодежи.
Данные о людях, нуждающихся в работе, предусматриваются в разрезе отраслей и секторов экономики, что дает возможность изучать предложения рабочей силы: межотраслевое и межсекторное. Для исследования изменения трудоустроенных людей по отраслям экономики формируется таблица 10.

Среди секторов экономики различаются: государственные и муниципальные предприятия и организации, общественные организации и фонды, частные предприятия, совместные предприятия, предприятия смешанной формы собственности.
Чаще всего обращаются в органы Государственной службы занятости РФ граждане, которые работали раньше в государственном и частном секторах экономики, что определено преобладанием предприятий этих форм собственности в национальной экономике. Безусловное большинство из работавших прежде в государственном секторе трудоустраивается через службу занятости также в государственный сектор. Другими словами, состав трудоустроенных по отраслям экономики немного изменен по местам бывшей трудовой деятельности лиц.
Разделение на трудоустроенных и на обратившихся за помощью по трудоустройству по сферам экономики дает возможность видеть, в какой степени увеличение количества кадров происходит за счет прежде всего внутриотраслевого наплыва рабочей силы и за счет межотраслевой подвижности кадров. Максимальные вероятности для трудоустройства через органы службы занятости в 1990-е гг. имели граждане, которые работали раньше на транспорте, в торговле и общественном питании, строительстве, в сфере управления, в промышленности, а минимальными – уволившиеся из науки и научного обслуживания.
Межотраслевое течение кадров, граждан, которые трудоустроены через органы службы занятости, нередко случается в бытовом обслуживании населения, жилищно-коммунальном хозяйстве и в управлении.
Структурная перестройка, связанная с формированием рыночных отношений в экономике, привела к трансформации спроса и предложения на рабочую силу как в отраслевом сечении, так и по сферам экономики. Разнообразные организационно-правовые нормы предприятий (государственные, акционерные, частные и др.) дают различные возможности решения проблемы занятости: они дифференцированы по степени эффективности производства, резервам его роста, доходам работающих, а следовательно, и по перспективам развития.
В составляемом отчете о трудоустройстве граждан регистрируется количество лиц, отправленных на профессиональное обучение из доли свободных от трудовой деятельности и пока не трудоустроенных, а также количество граждан, которые получили консультации: по профессиональному обучению, по выбору профессии, по смене места работы, по законодательству о труде и занятости и др.
Статистика исследует продолжительность поиска работы. С данной целью по карточкам персонального учета граждан, которые обратились за поддержкой в трудоустройстве, может быть установлена совокупная продолжительность трудоустройства граждан (человеко-дней). Продолжительность трудоустройства определяют по всем гражданам, трудоустроенным в отчетном году, отталкиваясь от информации о дате снятия с учета по причине трудоустройства и о дне регистрации обратившегося за трудоустройством. Согласно этому показателю есть возможность найти среднюю продолжительность трудоустройства граждан за год, применяя формулу:

Подобным образом по всем безработным, трудоустроенным в отчетном году, определяется общая продолжительность трудоустройства безработных (человеко-дней). К тому же длительность поиска работы любого гражданина рассчитывается со дня фиксирования человека как безработного до момента снятия его с учета по факту трудоустройства. Дальше данный показатель может применяться для расчета средней продолжительности трудоустройства безработных в днях (путем деления его на общее число безработных, трудоустроенных в отчетном году).
В целях предполагаемых расчетов количества безработных рассматривается степень обращаемости граждан в службы занятости. Напряженность спроса на рабочую силу будет оценена через число обращений по вопросам трудоустройства на 1000 человек трудоспособного населения в трудоспособном возрасте, т. е.:

Эффективность работы органов служб занятости по трудоустройству населения во многом зависит от достоверности и своевременности данных от предприятий о надобности в рабочей силе, о вакансиях на рабочие места. Сейчас по регионам России устанавливается нагрузка незанятого населения на одну вакансию:

Однако в действительности этот показатель выше, так как в центры занятости обращаются не все граждане, потерявшие (не имевшие) работу. Данный показатель закрепляет масштаб напряженности на рынке труда.
Состав безработных
Социальный состав безработных орудиями статистики получают при анализе информации выборочного исследования по проблемам занятости и от органов службы занятости по приложению к форме № 1-Т (трудоустройство) «Отчет о трудоустройстве и занятости населения» за год. В этом Отчете содержатся данные о качественном составе безработных (распределение их по полу, возрасту, уровню образования, наличию детей, причинам увольнения, профессии, специальности). Исследование качественного состава безработных помогает разработке более эффективной политики занятости (субсидии на расширение рабочих мест, система подготовки и переподготовки рабочей силы, поощрение предпринимательской деятельности и др.).
Чтобы верно оценить обстановку на рынке труда, нужно рассмотреть причины, приведшие граждан к статусу безработных.
Среди причин потери работы значительную роль играло не только освобождение работников в связи реорганизацией производства, но и их увольнение по собственному желанию, за которым зачастую прячется не только неудовлетворенность содержанием и условиями труда, его оплатой, но и структурные изменения в производстве. Огромна и доля лиц, уволившихся по прочим причинам, не выявляемым на сегодняшний день статистикой.
Среди безработных, зафиксированных в органах службы занятости, превалируют женщины, в общей же численности бездетных, определенной по методологии МОТ, – мужчины. По причинам незанятости среди мужчин в большей степени распространено увольнение по собственному желанию.
В России образовательный уровень безработных один из самых высоких в мире. Безработные женщины обычно обладают более высоким уровнем образования, чем мужчины. Разница в доле лиц с высшим образованием в составе экономически активного населения – занятых и безработных – значительна. Следовательно, образование выступает немаловажным фактором занятости.
Вместе с тем в России образование не является фактором социальной защиты от безработицы. Впоследствии можно ожидать роста стабильности положения работника на производстве с ростом его образовательного уровня. Данную тенденцию можно отметить в западных странах.
С позиции профессионального направления безработных нужно исследование их возрастного состава. Главную часть безработных в России составляют люди зрелого возраста. Возраст, возможно, будет учитываться и при определении непосредственных мер содействия безработным.
В ряде регионов страны за трудоустройство молодежи берутся наравне с Государственной службой занятости РФ молодежные биржи труда, а также Межрегиональный центр занятости.
Услуга временного персонала, которая получила немалое распространение в последние несколько лет, хоть и не решает проблему полностью, зато дает молодым людям возможность попробовать свои силы, получить некоторый опыт в той или иной компании. Здесь подразумевается почасовая ставка. Срок реализации заказа по услуге обеспечения временного персонала может составлять считанные часы. Собственно за это время провайдер – специализированное кадровое агентство – обязан предоставить клиенту персонал на какой-то небольшой срок.
На Западе юридически закреплена практика привлечения временного персонала. Наличествуют отчетливо прописанные законодательные положения, назначающие и регулирующие взаимоотношения сторон при найме временного персонала[62] Поэтому в иностранных компаниях широко применяется практика найма временного персонала, так называемых контрактеров. В отдельных фирмах, в особенности японских, временный персонал может составлять до 90% от всех сотрудников компании. В России для привлечения временного персонала в компанию законодательной базы пока нет, услуга по обеспечению временного персонала только начинает развиваться как бизнес-практика. Ясных терминов для такого рода явлений также пока не предусмотрено. Данные вопросы обсуждаются и в Государственной Думе представителями АКПП – Ассоциации консультантов по подбору персонала, и на страницах литературы. Но все равно рынок услуг временного персонала растет быстрыми темпами.
Чтобы предсказать занятость и безработицу, необходимы данные о длительности безработицы. Аналогичного рода информация применяется в большинстве стран мира. Значительная доля лиц, которые не имели работу меньше 1 месяца, означает, что безработица не ведет к социальным взрывам в обществе. Напротив, высокий процент лиц со статусом безработных более 1 года – один из симптомов хронической безработицы.
На базе анализируемого распределения безработных можно приблизительно установить среднюю продолжительность безработицы как среднюю арифметическую взвешенную:

где Ti – время отсутствия работы в i-й группе;
Ni – численность безработных i-й группы.
Поскольку время отсутствия работы задано в интервалах, то в расчете в качестве применяется середина интервала, т. е. 0,5; 2,0; 4,5; 7,5; 10,5 и 13,5 месяца. Так как применяются неодинаковые интервалы времени в качестве веса для расчета средней продолжительности безработицы, правильнее использовать не исходную информацию о числе безработных в каждой группе, а относительные плотности распределения, т. е. пересчитанные по группам проценты безработных на одну и ту же величину интервала времени безработицы, например на 1 месяца. Возможно установить сравнительные плотности разделения, предусматривая 4 месяца, следовательно, пересчитываться будет лишь процент безработных первой и второй групп. Тем не менее ввиду огромного «веса» для последней группы с открытым интервалом данный расчет дает неточный результат.
Если же применять в качестве «веса» начальную информацию вариационного ряда, следовательно, средняя длительность безработицы будет равна 9 месяцев, что немного ниже ее действительного значения 9,7 месяца Медиана длительности безработицы равна 11,2 месяцев, при этом расчет медианы осуществлен по формуле:

где х0 – нижняя граница медианного интервала, т. е. первого интервала с накопленной частотой 50% и более;
i – величина медианного интервала;
NMе – порядковый номер медианы;
SMе-1 -накопленная частота предмедианного интервала;
fMe – локальная частота медианного интервала.
Время поиска работы довольно тесно связано с возрастом безработных и значительно различается по полу. Большая длительность среднего времени поиска работы замечается у безработных старших возрастных групп. Сила и теснота этой взаимосвязи также отличаются по полу.
Коэффициенты корреляции говорят о довольно тесной связи, так как их значения близки к 1 (особенно у женщин). Коэффициенты детерминации показывают зависимость на 89% вариации среднего периода поиска работы у женщин от изменения возраста, а данный показатель для мужчин ниже – 75%. Отличаются по полу и коэффициенты регрессии: с увеличением возраста на 1 год для мужчин средняя длительность безработицы увеличивается на 0,064 месяца, т. е. на 1,9 дня, для женщин – на 0,093 месяца, или 2,8 дня.
Значительность этих различий подтверждается величиной F-критерия Фишера, которая для всех уравнений выше табличного значения. Расчет F-критерия производится по формуле:

где п – число возрастных групп.
Нахождение величины и построение уравнения регрессии осуществляется согласно с методами, изложенными в теории статистики.
Подобным образом можно исследовать состав безработных по длительности получения пособия по безработице.
С 1994 г. в статистической отчетности существуют данные о длительности безработицы инвалидов как одного из социально незащищенных слоев населения, требующего своеобразной заботы со стороны государства. Средний этап безработицы у инвалидов продолжительнее, чем в целом по всей совокупности безработных. Для оказания инвалидам действительной помощи в трудоустройстве во многих странах (Франция, Германия) предприятия должны установленную часть рабочих мест предоставлять инвалидам (квотирование рабочих мест) или отчислять соответствующие суммы в фонд помощи инвалидам. В России предприятия, в численности занятых которых инвалиды составляют не менее 50%, имеют некоторые льготы по налогообложению[63]. При трудоустройстве инвалидов нужно учитывать как состояние их здоровья, так и трудовые рекомендации МСЭ. Помимо этого, в организации, куда направляется инвалид, должны быть организованы условия труда, содействующие его реабилитации. При этом показанный инвалиду по состоянию здоровья труд должен совмещаться с мерами лечебно-восстановительного характера для достижения в исходном счете его профессиональной реабилитации.
В России имевшееся ранее в ФЗ «О социальной защите инвалидов в РФ» правило о внесении работодателем обязательной платы в случае невыполнения или невозможности выполнения квоты в настоящее время отменено. Не определено внесение обязательной платы и Законом о занятости. Вместе с тем во многих субъектах РФ (например, в Краснодарском крае, Брянской, Архангельской, Владимирской, Вологодской, Иркутской, Новгородской, Тамбовской, Тверской, Челябинской и других областях, городах Санкт-Петербурге и Москве) приняты законы о квотировании рабочих мест, сохранившие правило об обязательных платежах в случае невыполнения или невозможности выполнения установленной организациям квоты.
В международном праве предусматривается помощь в трудоустройстве инвалидов как на открытом (свободном) рынке труда, так и на закрытом (в специализированных организациях, определенных для лиц с ограниченными возможностями).
МОТ дает рекомендации по формированию возможностей трудоустройства инвалидов на свободном рынке труда, в том числе по финансовому стимулированию предпринимателей для мотивации их деятельности по организации профессионального обучения и последующей занятости инвалидов, рациональному приспособлению рабочих мест, трудовых операций, инструментов, оборудования и организации труда, чтобы облегчить такое обучение и занятость инвалидов, а также по оказанию правительством помощи в создании специализированных предприятий для инвалидов, не имеющих действительной возможности получить работу в неспециализированных организациях.
Генеральная Ассамблея ООН в декабре 2006 г. приняла всеобъемлющую и единую Конвенцию о защите и поощрении прав и достоинства инвалидов, которая открыта с 30 марта 2007 г. для подписания и утверждения (ратификации) государствами-участниками и должна стать первым международным договором о правах человека в XXI в. Согласно этиму актому дискриминация по признаку инвалидности обозначает любое различие, исключение или ограничение по признаку инвалидности, целью или результатом которого является преуменьшение или отрицание признания, применения или осуществления наравне с другими всех прав человека и основных свобод в политической, социальной, экономической, культурной или любой иной области.
По официальной информации, численность российских инвалидов превышает 11 млн человек, и только 15% инвалидов трудоспособного возраста «вовлечено в профессиональную деятельность». На базе системы многопрофильной реабилитации инвалидов в Федеральной целевой программе «Социальная поддержка инвалидов на 2006-2010 гг.» намечено замедлить процесс инвалидизации населения, возвратить к профессиональной, общественной, бытовой деятельности около 800 тыс. инвалидов, тогда как в течение 2000-2005 гг. были реабилитированы 571,2 тыс. человек. Предполагается увеличение производственных мощностей, упрочнение материально-технической базы и техническое перевооружение, модернизация предприятий Всероссийского общества инвалидов, Всероссийского общества глухих, Всероссийского общества слепых, Общероссийской организации инвалидов войны в Афганистане, создание на предприятиях, находящихся в собственности общероссийских организаций инвалидов, не менее 4250 рабочих мест за счет федерального бюджета и внебюджетных средств.
Состав занятых
В статистике накоплен немалый опыт исследования состава занятых. Главным образом анализируется отраслевой состав занятых как в общем по стране, так и в некоторых ее областях. С данной целью общая численность занятых в экономике берется за 100% и определяется удельный вес численности занятых в соответствующих отраслях.
Напряженность структурных сдвигов можно определить, используя квадратический коэффициент абсолютных структурных сдвигов, который вычисляется по формуле:

где W1 и W0 – удельные веса численности занятых в отдельных отраслях народного хозяйства за отчетный и базисный периоды;
k – число групп, принятых в отраслевой классификации.
При исследовании состава занятых статистика следует Международной классификации статуса в занятости (МКСЗ).
Статус в занятости находится для экономически активного населения, т. е. как для занятых, так и для безработных. Для безработных, которые ранее имели работу, статус определяется по их предыдущей занятости.
МКСЗ производит группировку некоторых лиц в соответствии с их действительной или предстоящей связью с работой. Принята она была Международной конференцией статистиков труда и состоит из следующих групп:
1) наемные работники;
2) работодатели;
3) лица, которые работают за свой счет;
4) члены производственных кооперативов;
5) помогающие члены семьи;
6) работники, не классифицируемые по статусу[64].
Согласно МКСЗ Госкомстат России утвердил и ввел в действие с 1 июня 1993 г. основные методологические положения по классификации статистической информации о составе рабочей силы, экономической активности и статусу в занятости. В нем группировка по статусу в занятости включает следующие категории:
1) наемные работники;
2) лица, работающие на индивидуальной основе;
3) работодатели;
4) неоплачиваемые работники семейных предприятий;
5) члены коллективных предприятий;
6) лица, не поддающиеся классификации по статусу.
Сейчас в России 93% – это наемные работники, т. е. лица наемного труда, которые заключили трудовой договор, контракт с руководителем предприятия или устное соглашение с отдельным лицом об условиях трудовой деятельности и размере оплаты труда. Сюда же относятся лица, которые назначены на оплачиваемую должность, включая руководителей предприятий и организаций.
К лицам, которые трудятся на личной базе, имеют отношение граждане, которые выполняют самостоятельно работу, дающую доход, не применяя при этом наемный труд (исключением являются случайные или сезонные работы).
К работодателям относятся лица, управляющие собственным частным (семейным) предприятием, фермой или работающие самостоятельно, но постоянно использующие труд наемных работников. В общей численности предпринимателей, реализовывающих свой бизнес, превалируют мужчины, хотя постепенно и женщины все чаще занимаются им, т. е. «в бизнесе нет мужчин и женщин, есть только деловые партнеры».
Неоплачиваемые работники семейных предприятий – это лица, которые работают без оплаты на частном семейном предприятии, владелец которого родственник.[65]
Членами коллективного предприятия являются лица, которые работают на этом предприятии и выступают как собственники, его совладельцы. Они принимают прямое участие в решении всех вопросов, связанных с деятельностью предприятия, разделением его доходов среди членов коллектива.
Лицами, не поддающимися классификации по статусу в занятости, выступают лица, данных о которых недостаточно и (или) которые не могут быть причислены ни к одной из перечисленных категорий.
Статистика для наемных работников осваивает социальную структуру занятых, распределяя работающих на рабочих и служащих.
Рабочие – работники, занятые конкретно в ходе образования материальных ценностей, а также осуществляющие перемещение грузов, пассажиров, ремонтные работы, оказание материальных услуг.
Среди служащих выделяются следующие три группы: руководители, специалисты и другие служащие. Разделение работников на эти группы на уровне предприятий осуществляется на базе Общероссийского классификатора профессий, должностей, тарифных разрядов (ОКПДТР).
Группа руководителей включает работников, которые занимают должности руководителей предприятий и их структурных подразделений. Данная группа обладает в классификаторе кодом 1 и охватывает глав администраций, министров, директоров, управляющих, начальников, менеджеров.
Группа специалистов состоит из занятых агрономическими, инженерно-техническими, экономическими работами. В нее входят: инженеры, бухгалтеры, экономисты, диспетчеры, механики, учителя, врачи и др. Группа содержит в ОКПДТР код 2.
Группа прочих служащих включает в себя лиц, которые подготавливают и составляют документы, выполняют учет, хозяйственное обслуживание, контроль. К таким относятся: агенты, архивариусы, делопроизводители, дежурные, секретари-машинистки, кассиры, коменданты, смотрители, статистики, стенографистки, табельщики, учетчики, чертежники. Группа числится в классификаторе под кодом 3.
Все работающие согласно виду исполняемой работы и уровню квалификации распределяются при исследовании состава занятых по видам занятий в соответствии с Общероссийским классификатором занятости (ОКЗ), разработанным на базе Международной стандартной классификации занятий (МСКЗ).
По информации ОКЗ есть вероятность получить сведения, которые дают возможность вводить международные сравнения в сфере занятости. Этот классификатор отличается от ОКПДТР тем, что охватывает не только граждан, которые работают по найму, но и выступающих в роли работодателей, независимо занятых, членов производственных кооперативов, а также не получающих вознаграждение семейных работников. ОКЗ состоит из 9 укрупненных групп.
Согласно наличию возможной безработицы статистика фиксирует первичную и вторичную занятость. Сейчас существует вторичная занятость населения, т. е. численность лиц, которые не ограничиваются только одним местом работы.
Содержание труда
Одним из обстоятельств формирования уровня занятости является содержание труда, предуготовляющее удовлетворенность работников в труде. Если еще совершенно недавно, в конце 1990– х гг., оплата труда, уверенность в завтрашнем дне и социальная защита захватывали высшие позиции в иерархии трудовой мотивации российского населения, то в настоящее время на первый план уже стали выходить содержание труда и возможность профессионального и карьерного роста. Даже при неимении работы большинство граждан, располагая некоторым уровнем обеспеченности в семье, находятся в поиске не работы вообще, а места применения своих сил согласно полученной специальности, профессии, квалификации, а также духовным запросам. Такая форма занятости наиболее рациональна, так как востребованы знания, на которые были потрачены материальные и духовные силы общества, точно использован его интеллектуальный потенциал.
Содержание труда олицетворяет комплекс характеристик определенного полезного труда, которые связаны с его технологической основой при обусловленной насыщенности орудиями труда, степени механизации и автоматизации трудовых функций и организации производства. Модифицирование содержания труда прямо связано с развитием производительных сил общества и зависит от трех групп факторов:
1) технологии производства;
2) механизации и автоматизации производства;
3) организации производства.
К определению «содержание труда» присоединяется другое имеющее существенное значение для характеристики конкретных трудовых функций, – содержательность труда. Они соединены между собой как общее и частное. Содержание труда передает обобщенное представление о труде как о трудовом процессе в целом и определенной сфере человеческой деятельности. Содержательность труда представляет собой характеристику работы определенных категорий работников: оператора, мастера, бригадира, может быть, и производственного коллектива. Оценка содержательности труда представляет собой подробное рассмотрение осуществляемых работниками функций, применяемых ими данных. Для изучения конкретных технических новшеств с учетом их влияния на изменения в функциях труда приоритет должен быть передан изучению содержательности труда.
Понятие «содержание труда» как социально-экономическая категория многосторонне и по емкости приближается к таким понятиям, как «уровень жизни», «образ жизни», отражая содержательную сторону конкретного труда, формирующего конкретные потребительные стоимости, комплекс характеристик, включаемых в понятие «содержание труда».
Сюда входят:
1) функции труда;
2) способы их исполнения (ручной или механизированный);
3) сложность труда;
4) его тяжесть;
5) монотонность;
6) напряженность;
7) интенсивность;
8) организация.
Данные компоненты взаимосвязаны друг с другом. Суть содержания труда открывается прямо через функции труда (управление, контроль, подсобные работы и т. д.). В то же время научно-технический прогресс трансформирует не только функции труда, но и такие его параметры, как тяжесть, сложность, интенсивность. Значительное влияние на сочетание функций труда рабочих оказывают и формы организации труда.
Изменения, которые происходят с функциями труда, означают сдвиг в профессионально-квалификационной структуре занятых к разделению их по типам труда с многообразным содержанием: ручным – механизированным, физическим – умственным, тяжелым – нетяжелым, монотонным – разнообразным. Исследование рациональных структурных соотношении в составе занятых по видам труда и выступает как задача социальной статистики в изучении содержания труда.
Изучение трансформаций в профессиональном, функциональном, квалификационном составе работников, а также в их разделении по видам труда выступает как сущность статистического исследования трансформаций в содержании труда. Объект учета в данном случае представляет собой не процесс труда, а обобщенность работников и рабочих мест, на которых они осуществляют работу.
Набор потребностей, которые люди стремятся удовлетворить на работе, может изменяться не только в зависимости от профессиональной группы, внешних условий, но и от возраста работника, его семейного положения, этапа карьеры. Если на первом этапе работы в организации для работника на первый план могут выходить мотивы, которые связаны с ориентацией в работе, с установлением личных контактов с коллегами, то в дальнейшем, когда новичок акклиматизировался в полной мере, может возрастать значение мотивов, связанных с потребностью в должностном и профессиональном росте. Точно также рост оплаты труда, улучшение социальных условий способно значительно отразиться на иерархии трудовых мотивов работников.
Сравнение потребностей работников в начале и в середине карьеры приведены в таблице 11.

Ведущая фирма по консультированию в сфере компенсаций Watson-Wyatt произвела опрос разных групп сотрудников относительно льгот, которые они предпочитают. Итоги представлены в таблице 12. Например, оказалось, что для тех, кому за 50, на первом месте стоит совокупный доход (оклад плюс бонус), превышающий средний уровень. Те, кому нет 30, больше всего ценят потенциал профессионального роста, развитие мастерства и гибкий рабочий график. Итак, видно, что эти предпочтения видоизменяются со временем, а также в зависимости от экономических и личных обстоятельств работников.


Содержание труда не представляет собой единственный фактор образования уровня занятости на территории. Состояние рынка труда характеризуется зависимостью от благосостояния граждан, от уровня доходов, получаемых ими за соответствующую работу. Соответственно, низкий уровень вознаграждения за труд определяет вторичную занятость, ведет к низкой интенсивности труда.
Более 800 000 книг и аудиокниг! 📚
Получи 2 месяца Литрес Подписки в подарок и наслаждайся неограниченным чтением
ПОЛУЧИТЬ ПОДАРОК