ЛЕКЦИЯ № 3. Структура семей и домохозяйств
Одной из важнейших предпосылок решения социальных задач является изучение семьи и семейной структуры населения. Общепринятым является следующее определение семьи. Семья – это основанная на браке или кровном родстве малая группа, члены которой связаны общностью быта, взаимной помощью, моральной и правовой ответственностью.
Однако экономисты добавили в него свои аспекты, и у них появилось такое определение. Семья – это группа лиц, живущих вместе на одной жилой площади, ведущих совместное хозяйство и находящихся в отношениях родства, брака или опекунства[10].
В переписях населения СССР семья определялась как группа из двух и более лиц, связанных отношениями родства или свойства, совместно проживающих и имеющих общий бюджет. Люди, живущие вне семьи, подразделялись на две категории – одиночек и лиц, живущих отдельно от своих семей. Различие между ними зависело от того, имеет ли данный человек регулярную материальную связь с кем-либо из своих родственников. Люди, имеющие такую связь (хотя это понятие не было определено), считались членами семей, проживающими отдельно, не имеющие ее – одиночками.
Такое деление было введено при переписи населения 1939 г. и сохранялось до переписи 1989 г. включительно. Оно не давало возможности выделить в материалах переписи категорию так называемого институционального населения. Смешивались и не могли быть разделены две совершенно различные категории людей: живущие самостоятельно, образующие домохозяйства из одного человека, и лица, постоянно проживающие совместно, но не ведущие общего хозяйства, а находящиеся на полном или частичном обеспечении государства, общественных или религиозных организаций (т. е. в таких учреждениях, как дома для престарелых, дома для инвалидов, детские дома, больницы для хроников, монастыри, казармы, пенитенциарные и другие учреждения)[11].
Плавный переход статистики на определение домохозяйства произошел в 1994 г. В этот период статистика перешла на критерии и определения, соответствующие международным рекомендациям.
Было принято следующее развернутое определение домохозяйства: домохозяйство – социально-экономическая ячейка, которая объединяет людей отношениями, возникающими при организации их совместного быта, т. е. ведении общего домашнего хозяйства, совместном проживании и т. д.[12]
Домохозяйством считается:
1) несколько человек, совместно проживающих в одном жилом помещении, которые ведут общее хозяйство, совместно обеспечивают себя самым необходимым, объединяя средства для ведения общего хозяйства;
2) один человек, который соответственно проживает один и обеспечивает полностью себя сам.
В домохозяйство могут входить лица, которые связаны родственными отношениями, отношениями вытекающими из брака, а также совершенно не связанные такими отношениями, либо и те и другие.
Если лицо снимает жилое помещение у отдельных граждан, оно не входит в состав того домохозяйства, где непосредственно снимает жилое помещение. Это будет считаться самостоятельным домохозяйством из одного или нескольких человек.
В рекомендациях Статистической и Экономической комиссий ООН дано определение семьи. Семья – супружеская пара без детей или с детьми любого возраста либо один из родителей с детьми любого возраста, которые не состоят в браке и не имеют собственных детей. Факт совместного проживания или совместного ведения домашнего хозяйства в данном определении отсутствует.
Однако домохозяйство имеет еще ряд определений, так, например, в зависимости от уровня жизни оно также может иметь название «домашнее хозяйство».
Домашнее хозяйство – небольшая группа людей, которые проживают в одном и том же жилом помещении, объединяют часть или весь свой доход и имущество и совместно потребляют определенные типы продуктов и услуг, прежде всего жилищные услуги и продукты питания[13].
Функции семьи, помимо общественных отношений, отражают также и отношения семьи и личности. К числу наиболее важных функций семьи относятся: первичная социализация и воспитание детей, организация быта, организация личного потребления, психологическая и материально-бытовая поддержка пожилых, инвалидов, нетрудоспособных членов семьи. Более полная классификация функций семьи разработана М. С. Мацковским, которая представлена в таблице 2.[14]


Типология семей и домохозяйств
Состав семей разнообразен, это различие числом членов семей, их половозрастными характеристиками, образованием, профессиями и родами занятий, реже национальностями. Вследствие этого появляется необходимость в систематизации информации о семье, достигаемой путем классификации семей. В первую очередь семьи подразделяются на типы по демографическому составу и по размеру семьи. Помимо этого, классификация семей осуществляется по числу занятых членов семьи, по социальной и национальной принадлежности и др.
Классификация по демографическому составу семьи происходит с учетом пола, возраста, отношений родства. Исходя из истории развития демографической статистики видно, что как Россия, так и зарубежье обладают достаточно богатым опытом разработки подобных классификаций.
Различные подходы к решению этой задачи определялись и программами переписей населения, и оригинальностью фактического состава населения, и направлением на практическое использование данных о структуре семей.
Классификация семьи была сформирована по степени сложности семейной структуры следующим образом:
1) брачная пара с детьми и без детей;
2) брачная пара с детьми и без детей, с одним из родителей супругов;
3) брачная пара с детьми и без детей, с одним из родителей супругов (без него), с другими родственниками;
4) две или более брачных пар с детьми и без детей, с одним из родителей супругов (без него), с другими родственниками (без них);
5) матери (отцы) с детьми;
6) матери с детьми, с одним из родителей матери (отца);
7) отец с детьми, с одним из родителей отца (матери);
8) прочие семьи.
Также существует другая классификация семьи, которая содержит обобщающие показатели:
1) полная семья (брачная пара с детьми или без);
2) неполная семья (одна мать или один отец с детьми).
Классификация семей по числу членов выделяет малые, средние и крупные семьи. Осуществляется комбинационная группировка семей по числу членов и по демографическому составу. Это позволяет определить средний размер семей в каждой группе.
Указанная типология семей и домохозяйств имеет большое значение, так как используется при разработке материалов для переписи населения.
Однако выделяют также специализированные группировки, которые предназначены для изучения частных вопросов.
Классификация домохозяйств
Выделялись типы домохозяйств[15]:
1) домохозяйства, состоящие из одного человека;
2) домохозяйства, состоящие из одной супружеской пары:
а) домохозяйства, состоящие из супружеской пары с детьми и без детей;
б) домохозяйства, состоящие из супружеской пары с детьми и без детей, с одним из родителей супругов;
в) домохозяйства, состоящие из супружеской пары с детьми и без детей и матери с детьми;
г) домохозяйства, состоящие из супружеской пары с детьми и без детей и отца с детьми;
д) домохозяйства, состоящие из супружеской пары с детьми и без детей, с одним из родителей супругов (без него), с матерью (отцом) с детьми (без них) и прочими родственниками или неродственниками;
3) домохозяйства, состоящие из двух супружеских пар:
а) домохозяйства, состоящие из супружеской пары с детьми и без детей и обоими родителями одного из супругов с детьми и без детей;
б) с прочими родственниками, неродственниками (без них);
4) домохозяйства, состоящие из двух супружеских пар с детьми и без детей, с родственниками, неродственниками (без них);
5) домохозяйства, состоящие из трех и более супружеских пар с детьми и без детей, с родственниками, неродственниками (без них);
6) домохозяйства, состоящие из матери с детьми;
7) домохозяйства, состоящие из отца с детьми;
8) домохозяйства, состоящие из матери с детьми, с одним из родителей матери;
9) домохозяйства, состоящие из отца с детьми, с одним из родителей отца;
10) домохозяйства, состоящие из матери с детьми, с одним из родителей матери (без него), с прочими родственниками (без них);
11) домохозяйства, состоящие из отца с детьми, с одним из родителей отца (без него), с прочими родственниками (без них);
12) домохозяйства, состоящие из лиц, не связанных родством;
13) прочие домохозяйства.
Такая классификация домохозяйств по типам и размеру дает возможность изучать не только структуру домохозяйств, но и охарактеризовать семейные ячейки по типу домохозяйств, по размеру и числу детей моложе 18 лет.
Помимо этого, в историческом плане происходит изменение подхода к разработке типологии и принципов разграничения типов.
Анализируя выбор варианта классификации для ее целевого назначения, т. е. области практического применения, можно увидеть особенность семей и домохозяйств, предназначенных для проектирования жилищного строительства.
Использование типологии семей и домохозяйств очень распространено при изучении рождаемости, где обычно объектом наблюдения выступают молодые семьи. При этом они группируются по таким признакам, как наличие брачной пары, возраст супругов, длительность брака, число детей.
Вследствие изменений в структуре населения необходимо учесть уровень экономической активности, занятость и безработицу и пр. Благодаря тому что данные вопросы включены в программу состоявшейся переписи населения, можно рассчитать ряд показателей, характеризующих состав семей, в которые входят безработные, иждивенцы, дети моложе 18 лет.
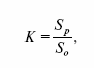
Также немаловажное значение имеет группировка семей и домохозяйств по числу занятых членов. Эта группировка в сочетании с данными о размере семьи (домохозяйства) дает возможность определить важный показатель, который называется коэффициентом экономической нагрузки на работающего члена семьи (домохозяйства):

где Sp – число работающих членов семьи (домохозяйства);
S0 – общее число членов семьи.
Значения данного показателя могут быть разными в зависимости от демографического состава семьи (домохозяйства). Этот показатель стоит учитывать при решении вопросов социальной помощи населению, проблем занятости и др.
Существуют также показатели нагрузки семьи (домохозяйства) иждивенцами:
1) число иждивенцев, приходящихся в среднем на одну семью (домохозяйство);
2) число иждивенцев, приходящихся в среднем на одного члена семьи (домохозяйства), имеющего самостоятельный источник средств существования;
3) число иждивенцев, приходящихся на одного занятого члена семьи (домохозяйства).
Группировка семей и домохозяйств по социальной и национальной принадлежности:
1) однонациональные – группа лиц соответствующей национальности, которые преобладают на определенной территории;
2) национально-смешанные – группа лиц разной национальности.
В настоящее время вопрос о национальной принадлежности особенно злободневен в связи с усугублением международных отношений и вынужденными миграциями на почве этнических конфликтов. А в национально-смешанных домохозяйствах чаще всего возникают конфликты.
Система показателей и прогнозирование структуры домохозяйств
Главный прием анализа структуры домохозяйств – это их распределение по величине и типам.
Чтобы определить влияние различных факторов на структуру домохозяйств, необходимо распределение членов домохозяйств осуществлять по социально-демографическим признакам (по возрасту, брачному состоянию, числу детей моложе 18 лет, национальности, экономической активности, занятости и др.).
Анализ структуры домохозяйств состоит из двух этапов:
1) определение перечня типов, которые должны быть приведены при классификации домохозяйств;
2) выделение типов, которые должны быть установлены с помощью ряда числовых показателей.
В первую очередь определяются число домохозяйств каждого типа и их доля в общей численности домохозяйств. При более детальном анализе определяют такие показатели, как доля домохозяйств с несовершеннолетними детьми, средний размер домохозяйств, доля лиц, живущих совместно, и доля лиц, проживающих отдельно от домохозяйства. Простейшим показателем служит распределение домохозяйств по числу членов.
На основе этого простейшего показателя рассчитывается средний размер, находимый делением величины всех членов домохозяйств на число домохозяйств. К тому же этот показатель может быть найден и для всех домохозяйств в разрезе отдельных их типов, по территориальным единицам, городскому и сельскому населению[16].
Кроме расчета среднего размера домохозяйства, могут быть вычислены другие показатели:
1) среднее число лиц, не достигших 18 лет, приходящихся на одно домохозяйство;
2) средний возраст несовершеннолетних детей; среднее число безработных, а также иждивенцев, приходящихся на одно домохозяйство;
3) процент безработных в домохозяйствах; среднее число занятых, приходящихся на одно домохозяйство; процент мужчин и процент женщин среди членов домохозяйств;
4) средний и медианный возраст членов домохозяйств.
Данные средние характеристики домохозяйств можно дополнить показателями вариации:
1) среднее линейное отклонение;
2) среднеквадратическое отклонение;
3) коэффициент вариации;
4) энтропия распределения.
При анализе структуры домохозяйств главным аспектом является изучение ее динамики, где вычисляются показатели абсолютных приростов, темпов прироста за определенный промежуток времени. К тому же могут быть вычислены динамические средние отдельным этапом развития (средний уровень, средний абсолютный прирост, средний темп роста).
Показатели можно представить графически, для характеристики удельного веса отдельных типов в общем числе домохозяйств лучше использовать круговую диаграмму, где размер каждого сектора круга соответствует доле каждого типа.
Наиболее ценная информация, получаемая при использовании приемов математико-статистического моделирования, используется для характеристики структуры домохозяйств по материалам специально организованных выборочных обследований, которые позволяют провести основательный анализ изменения структуры домохозяйств во времени, т. е. в процессе их развития.
Может быть определен демографический прогноз на будущие годы, изменения которых можно представить в виде показателей вероятности наступления конкретного вида событий.
При проведении данного прогноза необходима подробная группировка домохозяйств, которая учитывает родственные отношения, возраст членов домохозяйств и число поколений в них. При определении типа домохозяйства с несколькими поколениями выделяется одно из поколений, которое считается основным и по отношению к которому определяется положение остальных членов домохозяйств.
По демографическому составу выделяют несколько типов домохозяйств, при этом один и тот же тип может включать домохозяйства разных размеров. Следовательно, нужно разделить каждый выделенный тип на группы по числу членов для получения групп домохозяйств, однородных по составу и числу человек, т. е. получить демографические типоразмеры. Примером реализации такого подхода является прогноз семейной структуры М. А. Шустовой на материалах обследований 567 ленинградских семей за 1959– 1969 гг. В процессе исследования был выделен 21 демографический тип семей, что говорит о пригодности данной методики для прогнозирования структуры домохозяйств.
Разработка прогноза структуры домохозяйств осуществляется только при условии, что есть данные многолетних наблюдений (не менее чем за 10 лет) отдельной выборочной совокупности домохозяйств, в которых учтены все изменения в структуре домохозяйств и в изменении семейного состояния одиночек, в результате чего определяются частности (вероятности) перехода домохозяйств из одного типоразмера в другой. Экстраполяция используется при прогнозе, составленном на базе динамики структуры домохозяйств за ряд лет, т. е. продолжение существующих тенденций развития структуры домохозяйств на будущее. Детали переходов образуются под влиянием как демографических, так и социально-экономических факторов. Следовательно, гипотеза о постоянстве частностей перехода из одного типоразмера в другой равноценна гипотезе о неизменности совокупного влияния всех факторов по частности перехода в будущем по отношению к периоду, предшествующему прогнозу.
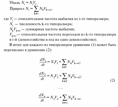
Для численности домохозяйств каждого из типоразмеров (Ni) в единицу времени можно записать следующее балансовое равенство:
Изменение величины Ni= Прирост Ni– Убыль Ni (1)
В большой совокупности домохозяйств изменение Ni по любым причинам происходит почти непрерывно во времени, поэтому левую часть уравнения можно записать как первую производную от Ni по времени:

Правую часть уравнения (1) можно представить в терминах относительных частот (частностей) переходов в единицу времени.

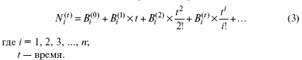
Уравнения (2) с постоянными коэффициентами Vk?i и Vi решаются методом последовательных приближений и представляются в виде бесконечных временных рядов:

Эффективность работы с рядами (3) зависит от скорости сходимости, т. е. от возможности оборвать ряд на каком-то члене (пятом, десятом или пятнадцатом) без ущерба для точности расчета. Обычно достаточно хорошая сходимость рядов имеется для небольших значений t.
С планированием структуры домохозяйств используются также другие методы, например метод, основанный на использовании микроимитационной модели. В России данный метод впервые был реализован А. Г. Волковым и Е. Л. Сороко. Суть этого метода заключается в том, что с помощью применения заданных вероятностей наступления рассматриваемых демографических событий поочередно к каждому индивиду имитируются переходы из одного состояния в другие. Прогноз изменения тех или иных вероятностей позволяет прогнозировать динамику семейной структуры населения[17].
Региональные факторы оказывают существенное влияние только на структуру домохозяйств в данном регионе, и лишь в ослабленной форме это может отразиться на демографической ситуации в смежных регионах. Так, чернобыльская авария, военные конфликты в Закавказье, на Северном Кавказе непосредственно деформировали демографическую структуру, в частности структуру домохозяйств именно данных регионов. Для других же территорий эти события имели своим последствием главным образом усиление притока беженцев и переселенцев, что привело к некоторым сдвигам в структуре населения. Трудность исследования факторов вызывается числовым измерением их воздействия и сложностью определения их взаимозависимости и взаимовлияния. Например, в условиях войны исходным фактором служат военные действия, но одновременно активизируются многие другие неблагоприятные факторы: разрыв семейных связей и снижение рождаемости (демографический фактор) в связи с мобилизацией мужчин; резкое снижение уровня жизни (экономический фактор); ухудшение условий труда и условий воспитания детей (социальный фактор) и т. д.[18]
Более 800 000 книг и аудиокниг! 📚
Получи 2 месяца Литрес Подписки в подарок и наслаждайся неограниченным чтением
ПОЛУЧИТЬ ПОДАРОК