ЛЕКЦИЯ № 7. Статистика жилищных условий и бытового обслуживания населения
Потребность в жилище относится к числу первичных жизненных потребностей человека. Жилище – это здания, щитовые домики, плавучие дома, прочие здания (помещения), используемые для жилья, а также исторические памятники, идентифицированные в основном как жилые дома с входящими в них жилыми и нежилыми помещениями, жилое помещение независимо от формы собственности, входящее в жилищный фонд и используемое для постоянного или временного проживания, а равно иное помещение или строение, не входящее в жилищный фонд, но используемое для временного проживания. Жилищный фонд – это обобщенность всех жилых помещений, которые находятся на территории РФ (ст. 1 ЖК РФ).
Главная функция жилища – обеспечить человеку благоприятную среду обитания, т. е. благоустроенное жилье необходимо и для отдыха, и для работы, и для создания полноценной семьи. Среду обитания человека, которая определяет качество жизни члена общества, образует жилище, введенное в организацию коммунального и бытового обслуживания населения.
В обстановке рыночной экономики жилье представляет собой товар длительного пользования. Данный товар провоцирует большой дополнительный спрос (на ковры, мебель, бытовую технику, посуду и т. д.) и активизирует формирование многих сфер экономики. Так как жилье – дорогой товар, то он представляет собой один из главнейших факторов стимулирования сбережений населения, образования инвестиционных ресурсов.
Статистика обязана давать полную и объективную информацию о жилищном фонде и жилищных условиях населения, которая необходима, в частности, для проведения жилищной политики, т. е. разработки государством комплекса мер, направленных на удовлетворение потребностей в жилище. Последнего можно достичь с помощью решения статистикой следующих задач:
1) предоставление сведений об обеспеченности населения жильем, коммунальным и бытовым обслуживанием; оценка комфортабельности жилища и его состояния (степени изношенности);
2) выявление материалов о дифференциации жилищных условий разных социальных и демографических групп населения, о различии в жилищных условиях в разных регионах страны, в городах (малых, средних и крупных) и в сельской местности; создание основы для международных сопоставлений жилищных условий;
3) анализ состояния и движения жилищного фонда, проведения его капитального ремонта;
4) обеспечение информацией о развитии рынка жилья, о поведении на нем продавцов и покупателей, необходимой, с одной стороны, для развития финансовых институтов, обслуживающих рынок недвижимости, с другой – для разработки социальных гарантий и льгот в жилищной сфере;
5) отражение взаимосвязей между доходами населения, жилищными условиями и структурой потребления;
6) определение развития социальной инфраструктуры и оценка эффективности ее функционирования[54]
Существенность решения этих задач усложняется остротой жилищной проблемы в нашей стране, так как доступность жилья напрямую влияет на состояние демографических показателей страны.
Согласно перечисленным задачам статистические показатели жилищных условий населения и уровня его обслуживания можно разделить на несколько групп:
1) наличие, состояние и движение жилого фонда;
2) жилищные условия населения;
3) обслуживание и финансирование жилого фонда;
4) развитие социальной инфраструктуры и ее функционирование;
5) оценка населением жилищных условий и качества коммунального обслуживания;
6) развитие рынка жилья[55]
Характеристика жилищных условий
Характеристика жилищных условий состоит из следующих показателей: жилищный фонд и его изменения, улучшение жилищного фонда, капитальный ремонт, модернизация и реконструкция, обеспеченность населения жильем. Разберем элементы групп показателей, которые перечислены выше.
Жилищный фонд:
1) общая площадь жилищного фонда, м2;
2) жилая площадь, м2;
3) удельный вес жилой площади в общей, %;
4) общее число квартир – всего (единиц), в том числе отдельных, коммунальных;
5) распределение квартир по числу комнат, %;
6) распределение квартир по среднему размеру, %;
7) распределение жилищного фонда по принадлежности (муниципальный фонд, ведомственный, общественный, частный), %;
8) распределение жилищного фонда по времени постройки, %;
9) распределение жилищного фонда по степени износа, %.
Согласно НК РФ жилой площадью признается площадь жилых комнат в жилых домах и помещениях, т. е. изолированных помещениях, которые являются недвижимым имуществом и пригодны для постоянного проживания граждан, отвечают установленным санитарным и техническим правилам и нормам, иным требованиям законодательства. Общая (полезная) площадь жилого помещения определяется как сумма площади всех частей такого помещения и подсобных помещений, расположенных внутри квартир: кухонь, передних, внутриквартирных коридоров, ванных или душевых, санузлов, гардеробных комнат, кладовых, встроенных шкафов, а также мансард, мезонинов, крытых лоджий, веранд, отапливаемых и пригодных для проживания. Подсобными помещениями в общежитиях, помимо рассмотренных, являются помещения медицинского обслуживания и культурно-бытового назначения.
При оценивании комфортабельности жилищного фонда также значение имеет и соотношение жилой и общей площадей: высокий удельный вес жилой площади указывает на низкую комфортабельность жилища, низкий – может указывать как на плохую планировку, недостаточность жилой площади, так и на высокую комфортабельность жилищного фонда.
Жилищный фонд учитывается по видам жилых помещений:
1) жилой дом, часть жилого дома;
2) квартира, часть квартиры;
3) комната.
Жилой дом – это индивидуально-определенное здание, которое состоит из комнат, а также помещений вспомогательного использования, предназначенных для удовлетворения людьми бытовых и иных нужд, связанных с их проживанием в этом здании (п. 2 ст. 16 ЖК РФ).
Квартира – это структурно обособленное помещение в многоквартирном доме, которое обеспечивает вероятность прямого доступа к помещениям общего пользования в этом доме и состоит из одной или нескольких комнат, а также помещений вспомогательного использования, предназначенных для удовлетворения людьми бытовых и иных нужд, связанных с их проживанием в таком обособленном помещении (п. 3 ст. 16 ЖК РФ).
Комната – это часть жилого дома или квартиры, которая предназначена для использования в качестве места непосредственного проживания людьми в жилом доме или квартире (п. 4 ст. 16 ЖК РФ).
Учет жилищного фонда ведется по видам собственности (ст. 19 ЖК РФ):
1) частный жилищный фонд – фонд, который находится в собственности граждан и юридических лиц (созданных в качестве частных собственников), в том числе жилищно-строительных кооперативов (ЖСК);
2) государственный жилищный фонд – фонд, который находится в собственности Российской Федерации и в собственности субъектов РФ;
3) муниципальный жилищный фонд – фонд, который находится в собственности района, города, а также ведомственный фонд, который находится в полном хозяйственном ведении муниципальных предприятий или оперативном управлении муниципальных учреждений;
4) общественный жилищный фонд – фонд, который состоит в собственности общественных объединений;
5) жилищный фонд в коллективной собственности – фонд, который находится в совместной или долевой собственности различных субъектов, частной, государственной, муниципальной собственности, собственности общественных объединений.
Классифицироваться жилищный фонд также может и по видам расселения: жилищный фонд в домах коридорного типа, жилищный фонд с поквартирным расселением, жилищный фонд в бараках, жилищный фонд в общежитиях коечного типа, жилищный фонд в подвалах и полуподвалах.
По целям использования жилищный фонд делится на (п. 3 ст. 19 ЖК РФ):
1) жилищный фонд социального использования – совокупность жилых помещений государственного и муниципального жилищных фондов, предоставляемых гражданам по договорам социального найма;
2) специализированный жилищный фонд – совокупность жилых помещений, предназначенных для проживания отдельных категорий граждан в предоставляемых жилых помещениях государственного и муниципального жилищных фондов;
3) индивидуальный жилищный фонд – совокупность жилых помещений частного жилищного фонда, используемых гражданами – собственниками таких помещений для своего проживания, проживания членов своей семьи и (или) проживания иных граждан на условиях безвозмездного пользования, а также юридическими лицами – собственниками таких помещений для проживания граждан на указанных условиях пользования;
4) жилищный фонд коммерческого использования – совокупность жилых помещений, используемых собственниками этих помещений для проживания граждан на условиях возмездного пользования, предоставленных гражданам по иным договорам, предоставленных собственниками этих помещений лицам во владение и (или) в пользование.
Жилищный фонд обязательно подлежит государственному учету в порядке, установленном Правительством РФ (п. 4 ст. 19 ЖК РФ).
Государственный учет жилищного фонда наравне с прочими формами его учета должен предусматривать проведение технического учета жилищного фонда, в том числе его техническую инвентаризацию и техническую паспортизацию (п. 5 ст. 19 ЖК РФ).
Движение жилищного фонда:
1) убыль жилищного фонда, всего м2, в том числе по причинам выбытия:
а) по ветхости и аварийности;
б) от стихийных бедствий;
в) в связи с переоборудованием жилых помещений под нежилые;
г) в связи с реконструкцией и отводом земель под новое строительство;
2) жилищное строительство:
а) ввод жилья (общая площадь, жилая площадь, м2);
б) число построенных квартир – всего, ед., в том числе с количеством комнат: одна, две, три и т. д.;
в) средний размер построенных квартир, м2;
г) ввод жилья по источникам финансирования, м2;
д) структура нового жилищного строительства по этажности, %;
е) ввод в действие жилых домов по формам собственности;
ж) ввод в действие жилых домов в городской и сельской местностях;
з) ввод в действие домов-интернатов для престарелых, инвалидов и детей-инвалидов[56]
Жилищный фонд распределяется по степени износа, т. е. выделяется общая площадь жилых помещений с износом свыше 70% – каменных и свыше 65% – деревянных и пр.; общая площадь аварийных строений. Данный показатель очень похож на показатель «выбытие по ветхости и аварийности».
Жилищное строительство является ключевым источником пополнения жилого фонда. Оно реализовывается государственными и негосударственными предприятиями и организациями, индивидуальными застройщиками с помощью бюджетных средств, ипотеки, личных средств граждан и других источников финансирования. Год от года увеличивается удельный вес жилищного строительства за счет средств населения и с помощью кредита.
Капитальный ремонт и реконструкция жилищного фонда:
1) капитальный ремонт, м2 общей площади;
2) реконструкция жилищного фонда, м2;
3) источники финансирования капитального ремонта.
Благоустройство жилищного фонда:
1) жилая площадь, которая оборудована: водопроводом, канализацией, центральным отоплением, горячим водоснабжением, газом, напольными электрическими плитами, ванными, душем, % ко всей площади жилищного фонда;
2) % жилых домов с мусоропроводом;
3) % квартир с телефонами.
Обеспеченность населения жильем:
1) жилая площадь в среднем на одного проживающего, м2/чел.;
2) общая площадь в среднем на одного проживающего, м2/чел.;
3) численность населения, проживающего:
а) в отдельной квартире;
б) в коммунальной квартире;
в) в отдельном доме или его части:
г) в общежитии;
4) то же, в % ко всем жителям;
5) средняя площадь отдельной квартиры, м2/квартира;
6) среднее число жителей на одну комнату, чел./комната;
7) число домохозяйств, состоящих на учете для получения муниципального жилья (абсолютное и в % к общему числу домохозяйств);
8) число семей беженцев и вынужденных переселенцев, которые нуждаются в жилье.
В нашей стране по показателю «жилая площадь в среднем на одного проживающего» вводится величина, которая определяет значение гигиенического норматива. При выполнении международных сопоставлений жилищных условий в основном применяется показатель «общая площадь в среднем на одного проживающего» (см. табл. 9).
Когда получается обеспеченность 20-25 м2 жилой площади на человека, то в распоряжении каждого взрослого члена семьи оказывается отдельная жилая зона, появляется возможность обладать комнатой для общения, совместного приема пищи и т. д.
Рассмотрим расчет обеспеченности и доступности жилья.


I . Уровень обеспеченности населения жильем
Методика оценки результативности федеральной целевой программы «Жилище» на 2002-2010 г.
При определении величины целевого индикатора используется информация об обеспеченности населения жильем. Источником данных является орган государственной статистики (по данным формы № 1-жилфонд, которая утверждена постановлением Федеральной службы государственной статистики от 13 июля 2004 г. № 26).
Алгоритм расчета значений целевого индикатора по субъекту РФ и в среднем по РФ
Результаты целевого индикатора ежегодно рассчитываются органом государственной статистики по РФ и по субъектам РФ согласно Методологическим положениям по статистике. Информация об обеспеченности населения жильем печатается в статистических сборниках (например, в сборниках «Российский статистический ежегодник» и «Регионы России»).
Допустим, если на дату нахождения величины целевого индикатора отсутствует напечатанная в статистических сборниках информация об обеспеченности населения жильем, то целевой индикатор по субъекту РФ или в среднем по РФ определяется по формуле:

где ОЖ– уровень обеспеченности населения жильем в субъекте РФ (в РФ);
ПЛОЩ. – общая площадь жилищного фонда в субъекте РФ (в РФ) на конец года;
НАС. – общая численность населения в субъекте РФ (в РФ) на конец года.
К концу 2007 г. уровень обеспеченности населения жильем в среднем по РФ должен составить 20,9 м2 на человека, к концу 2010 г. – 21,7 м2 на человека.
II . Коэффициент доступности жилья
Методика оценки результативности федеральной целевой программы «Жилище» на 2002-2010 годы.
При определении величины целевого индикатора используются следующие данные:
1) средняя рыночная стоимость 1 м2 жилья (в рублях в среднем за год). Находится как среднее арифметическое средних цен на первичном и вторичном рынках жилья, устанавливаемых органом государственной статистики. Источником данных является орган государственной статистики;
2) среднедушевые денежные доходы (в рублях в месяц на человека в среднем за год). Источником данных является орган государственной статистики.
Алгоритм расчета значения целевого индикатора по субъекту РФ
Величина целевого индикатора определяется как отношение средней рыночной стоимости типовой квартиры совокупной площадью 54 м2 к среднему годовому общему денежному доходу семьи из 3 человек в субъекте РФ.
Алгоритм расчета значения целевого индикатора в среднем по РФ
Величина целевого индикатора определяется как отношение средней по РФ рыночной стоимости типовой квартиры совокупной площадью 54 м2 к среднедушевому годовому общему денежному доходу семьи из 3 человек.
Значения целевого индикатора
К концу 2007 г. коэффициент доступности жилья в среднем по РФ должен быть равен 3,2, к концу 2010 года – 3[57]
III . Доля семей, которые имеют возможность приобрести жилье, соответствующее стандартам обеспечения жилыми помещениями, с помощью собственных и заемных средств
(Методика оценки результативности федеральной целевой программы «Жилище» на 2002-2010 г.)
При определении величины целевого индикатора используются следующие данные:
1) средняя рыночная стоимость 1 м2 жилья (в рублях в среднем за год). Определяется как среднее арифметическое средних цен на первичном и вторичном рынках жилья. Источником информации является орган государственной статистики;
2) доля заемных средств в стоимости приобретаемого жилья (в %). Рассчитывается на базе средних на рынке субъекта РФ условий кредитования банков и иных организаций, дающих ипотечные займы на покупку жилья. Источником информации является администрация субъекта РФ. В ситуациях, когда открытое акционерное общество «Агентство по ипотечному жилищному кредитованию» рефинансирует немалую долю выдаваемых в субъекте РФ ипотечных кредитов и займов, в качестве средней части заемных средств может применяться часть заемных средств по программе Агентства;
3) процентная ставка по кредиту на покупку жилья (в % в год). Рассчитывается на базе средних на рынке субъекта РФ ставок по ипотечным жилищным кредитам и займам в рублях. Источником информации является ЦБ РФ (форма 0409302, которая утверждена указанием ЦБ РФ от 27 июня 2004 г. № 1481-У). В ситуациях, когда Агентство рефинансирует немалую долю выдаваемых в субъекте РФ ипотечных кредитов и займов, в качестве средних процентных ставок могут применяться процентные ставки по программе Агентства;
4) срок кредита на покупку жилья (в годах). Рассчитывается на базе средних на рынке субъекта РФ сроков кредитования по ипотечным жилищным кредитам и займам в рублях. Источником информации является ЦБ РФ (форма 0409302, утвержденная указанием ЦБ РФ от 27 июня 2004 г. № 1481-У). В ситуациях, когда Агентство рефинансирует немалую долю выдаваемых в субъекте РФ ипотечных кредитов и займов, в качестве средних сроков кредитования могут применяться сроки кредитования по программе Агентства;
5) часть платежа по ипотечному жилищному кредиту в доходах заемщика с созаемщиками (в %). Рассчитывается на базе средних на рынке субъекта РФ условий по части платежа в доходе. Источником информации является администрация субъекта РФ. В ситуациях, когда Агентство рефинансирует немалую долю выдаваемых в субъекте РФ ипотечных кредитов и займов, в качестве средней части платежа в доходе может применяться часть платежа в доходе по программе Агентства;
6) разделение домашних хозяйств по уровню среднемесячного дохода. Источником информации является орган государственной статистики. В ситуации отсутствия допускается применение иных источников сведений о распределении населения по уровню среднедушевого месячного дохода с соответствующей ссылкой на источник информации;
7) количество семей в субъекте РФ. Источником информации является орган государственной статистики[58]
Алгоритм определения величины целевого индикатора по субъекту РФ
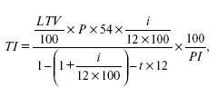
Минимальный общий доход семьи, нужный для покупки жилья, отвечающего эталонам обеспечения жилыми помещениями (54 м2 для семьи из 3 человек), за счет собственных и заемных средств, находится по формуле:

где TI – минимальный совокупный доход семьи (в руб. в месяц);
LTV – доля заемных средств в стоимости приобретаемого жилья (в %);
Р – средняя рыночная стоимость 1 м2 жилья (в руб. в среднем за год);
i – процентная ставка по кредиту (в % в год);
t – срок кредита (в годах);
PI– доля платежа по ипотечному жилищному кредиту в доходах семьи (в %)[59]
Доля домашних хозяйств с общим доходом выше минимального (TI) находится исходя из информации о распределении домашних хозяйств по уровню среднемесячного дохода. В ситуации отсутствия информации о распределении домашних хозяйств по уровню среднемесячного дохода допускается применение сведений о распределении населения по уровню среднедушевого месячного дохода с соответствующей сноской. В данном случае минимальный совокупный доход семьи (TI) делится на средний размер семьи (3 человека) и полученный минимальный доход 1 человека сопоставляется с данными о распределении населения по уровню среднедушевого месячного дохода для установления доли населения с доходами выше минимального.
Алгоритм определения величины целевого индикатора в среднем по РФ
Величина целевого индикатора в среднем по РФ определяется по формуле:

где ДСобщ– доля семей, имеющих возможность приобрести жилье, соответствующее стандартам обеспечения жилыми помещениями, с помощью собственных и заемных средств в среднем по РФ;
ДСi – доля семей в одном субъекте РФ, имеющих возможность приобрести жилье, соответствующее стандартам обеспечения жилыми помещениями, с помощью собственных и заемных средств;
KCi – количество семей в одном субъекте РФ.
Величина целевого индикатора
К концу 2007 г. в среднем по РФ доля семей, которые имеют возможность приобрести жилье, соответствующее стандартам обеспечения жилыми помещениями, с помощью собственных и заемных средств, была равна 17%, к концу 2010 г. должна быть 30%[60]
Показатели обслуживания и финансирования жилищного фонда
Для проведения жилищно-коммунальных реформ и обеспечения достойного уровня жизни населения имеют особое значение показатели обслуживания и финансирования жилищного фонда. К показателям данной группы относятся:
1) удельный вес расходов на содержание жилищного фонда и коммунальные услуги в общей величине расходов бюджета административной единицы, %:
2) количество семей, которые получают субсидии на оплату жилищно-коммунальных услуг;
3) то же, в процентах к общему количеству семей, проживающих на данной территории;
4) удельный вес расходов на содержание жилищного фонда в общей сумме расходов населения, %;
5) удельный вес личных расходов населения по содержанию жилья в общей стоимости предоставления жилищных услуг, %;
6) индексы стоимости жилищных услуг.
В целом можно рассматривать два вероятных направления жилищной политики: либеральное и патерналистское (от лат. paternus– «отцовский, отеческий»). При либеральном направлении жилищной политики жилье предоставляется главным образом как товар длительного пользования и в центре внимания оказываются рынок жилья, его состояние, факторы, влияющие на его развитие, социальная помощь отодвигается на второй план. При патерналистском направлении жилье рассматривается не как товар, а как главнейшее социальное благо, обеспечение им происходит за счет государственного бюджета и средств предприятий и бесплатного распределения среди населения. В данном случае квартирная плата покрывает лишь небольшую часть расходов государства на содержание жилищного фонда. Данное направление жилищной политики находило свою дорогу в жизнь в социалистических странах, где квартплата компенсировала лишь около 1/3 расходов на содержание жилья, дотации на жилье поступали из госбюджета.
В развитых странах либеральное направление жилищной политики не выражается в чистом виде: обычно в условиях действия рыночных отношений вводятся меры по ограничению квартирной (арендной) платы; имеются система пособий и льгот по оплате жилья, льготные кредиты и субсидии на приобретение жилья, льготы по налогам на недвижимость; осуществляется строительство дешевого муниципального жилья с низкой квартплатой, содержание которого датируется местными органами власти или государством, а на приобретение выделяются льготные кредиты. Программы, направленные на строительство и введение в эксплуатацию недорогого жилья и льгот на его покупку, пользуются достаточно большой популярностью в странах Европы, таких, например, как Франция или Швеция.
Метаморфоза жилищно-коммунального хозяйства в безубыточный сектор экономики возможна только за счет абсолютного покрытия издержек жилищно-коммунальной сферы соответствующими платежами населения. В рамках жилищно-коммунальной реформы немалое значение имеет программа жилищных субсидий (компенсаций) по оплате жилья и коммунальных услуг.
Предельно допустимый расход семьи на оплату жилья выступает как новый для нашей страны социальный стандарт. Его принятие обозначает проведение политики социальной защиты в жилищно-коммунальной области малообеспеченных граждан. Введенная система субсидий является заявительной, т. е. для ее оформления заявитель обязан документально подтвердить все виды получаемых доходов. Право на получение субсидий обязательно должно периодически подтверждаться в ходе переаттестаций (обычно один раз в полгода). Согласно с осуществляемой жилищно-коммунальной реформой увеличиваются ставки оплаты жилья и тарифы за коммунальные услуги. При отсутствии отчетливой установки роста реальных денежных доходов населения рост оплаты жилья и коммунальных услуг создает трудности среднеобеспеченным слоям населения, которые не могут рассчитывать на субсидии по оплате жилищно-коммунальных услуг.
С развитием рыночных отношений, возможно, будут усиливаться отличия в жилищных условиях населения, в большей степени под воздействием роста квартирной платы и влияния последней на обеспеченность жильем. Данный процесс может быть найден количественно с помощью измерения взаимосвязи между уровнем оплаты жилья и обеспеченностью жильем, а также методами многомерной классификации домохозяйств на основе следующих признаков:
1) уровень обеспеченности жильем;
2) размер душевого денежного дохода;
3) социально-профессиональная группа экономически активных членов домохозяйства;
4) число иждивенцев, или коэффициент семейной нагрузки, и т. д.
Жилищная политика обязана включать организацию помощи на содержание и ремонт жилья семьям, нуждающимся в ней.
Статистика играет центральную роль по обнаружению дифференциации жилищных условий населения, нахождению категорий жителей, нуждающихся в поддержке из средств бюджета. Но в то же время плата за содержание жилья для всех жильцов должна поэтапно увеличиваться до уровня, когда будут полностью покрываться расходы параллельно с соответствующим увеличением прямых целевых социальных выплат установленным группам. В будущем вероятен полный вывод содержания жилого фонда из-под контроля региональных властей, прекращение прямого субсидирования организаций, которые занимаются ремонтом и содержанием жилья, увеличение прямых выплат менее обеспеченным категориям и пенсионерам из-за роста расходов на содержание и ремонт жилья, создание специального регионального фонда реконструкции и содержания жилья.
Тарифы за коммунальные услуги обязаны базироваться на законах ценообразования в условиях нормальных монополий, которыми в РФ являются газо-, водо-, энергоснабжение и т. д. Вероятно воздействие на тарифы и некоторой структурной перестройки путем выделения из естественных монополий отдельных элементов с целью развития конкуренции, тормозящей рост тарифов, акционирования некоторых коммунальных служб с утверждением четкого контроля за их работой. Наиболее значительной функцией коммунальных служб становятся утилизация и переработка бытовых отходов, уборка территорий и лестничных клеток, организация погребений. Так, в бюджетах городов Германии финансирование этих видов деятельности составляет в среднем 12%. Сведения о результатах деятельности коммунальных служб содержатся в представляемой ими отчетности.
Необходимо, чтобы была организация обеспечения сведениями по регионам и муниципалитетам для решения задач обслуживания и финансирования жилищного фонда.
Статистика обязана отражать развитие конкуренции в сфере обслуживания жилищного фонда, создание истинных договорных отношений в жилищно-коммунальном хозяйстве.
Статистика развития социальной инфраструктуры
Все усиливающееся влияние социальной инфраструктуры на разнообразные стороны общественной жизни, увеличение значения в воспроизводственном процессе делает ее средством интенсификации общественного производства. Следовательно, вопросы роста эффективности функционирования не только отдельных отраслей социальной сферы, но и всей ее совокупности в целом завоевывают все большую актуальность. Уровень формирования социальной инфраструктуры измеряется количеством учреждений образования, культуры, бытового обслуживания, торговли на тысячу жителей или на единицу площади (например, на 1 м2). К элементам социальной инфраструктуры относятся: транспортная сеть (внутригородская и между населенными пунктами), учреждения связи, озеленение городов (что имеет немалое значение для улучшения экологической обстановки), инфраструктура села и др.
Развитие транспорта обусловливается количеством его видов на данной территории, протяженностью маршрутов каждого вида. Существенными являются и такие показатели, как число остановок транспортных средств любого вида транспорта, совместимость данных элементов, но они не регистрируются государственной статистикой. Значительным компонентом социальной инфраструктуры является обеспечение условий для применения велосипедного транспорта, что главным образом характеризуется существованием и протяженностью велосипедных дорожек в городах и вне городских территорий. В больших городах существенно воздействие такого фактора, как городской транспорт; его доля весома в расходной части городского бюджета.
Повышение стоимости услуг общественного транспорта стоит сравнивать с ростом цен на другие виды платных услуг населению, на потребительские товары, с увеличением заработной платы и денежных доходов населения. Для мероприятий регионального управления необходимо сравнивать следующие показатели: объем выручки за оказанные услуги; число перевезенных пассажиров; число лиц, которые имеют льготные тарифы; возможность бесплатного проезда на транспорте. Что является одной из реальных мер по оказанию адресной социальной помощи нуждающимся, главным образом пенсионерам.
Официальная статистика достаточно немногословно говорит о работе пассажирского городского транспорта, существуют лишь сведения по типам транспорта, о выполненных пассажиро-километрах, о количестве перевезенных пассажиров. Ведомственная статистика содержит более детальные данные о количестве маршрутов по каждому виду транспорта, о графике движения транспорта по маршруту, протяженности каждого. Значительной информацией для социальной статистики является информация о срывах системы транспортного обслуживания населения, о разделении транспортных средств по срокам службы, несчастных случаях на транспорте, сопоставимых характеристиках наполняемости транспорта в час «пик» и вне этого времени. Большое социальное значение получило развитие сети автомобильных дорог с твердым покрытием. Статистика обязана отображать не только их протяженность, но и качество.
Процесс приватизации в нашей стране овладел главным образом сферой бытового обслуживания и общественного питания. Социальная статистика имеет задачу, которая заключается в том, чтобы дать относительную характеристику снабжения населения платными услугами предприятий различных организационно-правовых форм, в том числе магазинов розничной сферы различных форм собственности. Статистика розничной торговли значительно дополняет сведения статистики бюджетов населения в доле соотношения продовольственных и непродовольственных товаров в общем объеме товарооборота.
Если для определения уровня формирования инфраструктуры хватает показателей насыщенности ее компонентами какой-нибудь территории, главным образом городов, то для нахождения уровня потребления услуг, предоставляемых учреждениями и организациями социальной инфраструктуры, значимы такие показатели, как:
1) среднее число посетителей за единицу времени (за год, квартал, месяц), обслуженных учреждением химчистки, парикмахерской, баней, кафе, рестораном;
2) общая сумма выручки, тыс. руб.;
3) средняя выручка на одного работника данного типа учреждения, руб.;
4) выручка по видам услуг, тыс. руб.
Данных показателей мало для характеристики доступности услуг, их качества, удовлетворенности потребностей. Подобная информация может быть получена исключительно путем специальных обследований. Осуществление федеральных и региональных социальных программ в доле помощи бездомным (беженцам, вынужденным мигрантам, бомжам) приводит к появлению таких элементов социальной инфраструктуры, как ночлежные дома. Появляются новые организационные формы культурной деятельности, например народные дома. Все это необходимо отразить в статистике. Статистике необходимо обладать информацией о почтовых отделениях и их работе, о числе жилых помещений, имеющих не только телефоны, но и факсовую связь, связь посредством электронной почты. Помимо этого, необходимы сведения о количестве уличных телефонов-автоматов, включая междугородные и международные (на 1000 жителей). В показатели социальной статистики необходимо включить сведения о распространенности страховых фирм, нотариальных контор, отделений Сбербанка, отделений коммерческих банков на 1000 жителей, банкоматов, т. е. всех тех единиц, от которых зависит комфортабельность жизни людей.
Увеличивается обеспеченность народа вещами культурно-бытового назначения долговременного пользования, что образовывает базу для формирования области услуг (ателье, фото– и киномастерские, автосервис, мастерские по ремонту бытовой техники и т. д.).
В городах еще одним элементом социальной инфраструктуры являются парки, скверы, наличие которых измеряется совокупной площадью зеленых насаждений (м2) и площадью зеленых насаждений на тысячу жителей (м2/чел.).
Также статистические показатели должны отображать развитие инфраструктуры села. К данным показателям относятся:
1) ввод в действие в сельской местности водопроводных сетей (км);
2) канализационных сетей (км);
3) газовых сетей (тыс. км);
4) АТС (тыс. номеров общего пользования);
5) линий электропередачи напряжением 0,4 кВт, 6-20 кВт (тыс. км);
6) автомобильных дорог с твердым покрытием (тыс. км), в том числе местного значения, ведомственных и частных.
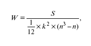
Основная важность придается оценке взаимосвязанности формирования социальной инфраструктуры. Для решения данной задачи стоит каждой территориальной единице (области, городу, району) присвоить ранг по значению каждого из показателей социальной инфраструктуры и определить связь между ранжированием объектов по k характеристикам. Ранг, присвоенный каждому району, отображает его место по формированию данного компонента инфраструктуры.
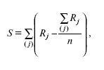
Дефицит одних элементов инфраструктуры может компенсироваться развитием других. Данные примеры доказывают скорее тенденцию комплексного развития. Для количественной оценки данного процесса можно вычислить коэффициенты ранговой корреляции Спирмэна между каждой парой рангов, потом определить средний из них. Число подобных коэффициентов равно числу комбинаций из k по 2 – С2k|, и операция делается достаточно утомительной. Легче найти коэффициент конкордации Кендалла, который является средним из попарных коэффициентов корреляции между рангами. Коэффициент конкордации определяется по формуле:

где S – сумма квадратов отклонений суммы рангов для каждого объекта от средней суммы рангов:

где Rj – ранг j -го района;
k – число рядов рангов (в нашем примере это число показателей, по которым ранжировались районы);
п – число ранжируемых объектов.
Более 800 000 книг и аудиокниг! 📚
Получи 2 месяца Литрес Подписки в подарок и наслаждайся неограниченным чтением
ПОЛУЧИТЬ ПОДАРОК