Глава 17. Поговорим о микросхемах

«Спец»: Итак, дорогие друзья, я в большом затруднении…

«Аматор»: Слишком о многих типах микросхем нужно говорить?

«С»: Это тоже…Но, как это ни странно, из большого количества специализированных, предназначенных именно для применения в радиоприемниках, серий микросхем, выпускаемых промышленностью еще со времен СССР, использовать ПРАКТИЧЕСКИ НЕЧЕГО!..

«А»: Ничего себе дела… Объяснитесь, Спец, как это возможно?

«С»: Вот смотри… Основные имеющиеся серии — это: 237; 224; 174; 175. Каждая из них насчитывает не менее десятка различных типов микросхем.

Но серии 224 и 237 — устарели безнадежно! 174 и 175 — хороши для телевизионных приемников и аудиомагнитофонов! Но для построения высокочувствительного достаточно современного радиоприемника с преобразованием «вверх» — они не являются оптимальными!

«Незнайкин»: То есть в нашем радиоприемнике не будет микросхем?

«С»: Напротив, будут! И в немалом количестве. Но в соответствующих узлах и в соответствующих режимах! А потому начнем наше повествование о микросхемах с… ОПЕРАЦИОННЫХ УСИЛИТЕЛЕЙ.

«Н»: Я слышал о них много интересного. Но вплотную с ними дела пока что не имел. Хотя в «учебно-тренировочном» они и применены, но узлы с ОУ все равно отлаживал Аматор…

«С»: Можешь считать, что это славное время наступило! Немного истории…

Собственно операционный усилитель был изобретен Филбриком в 1938 году. Но этот ламповый, громоздкий прибор был не столько изобретением схемы, сколько разработкой принципа. Филбрик, а позднее Ловелл, показал, что при нечетном числе ламповых каскадов высокого усиления, создающих требуемый фазовый сдвиг между входом и выходом, передаточную функцию схемы можно задать ВСЕГО ДВУМЯ внешними компонентами!

«А»: Говорят, что операционные усилители (или ОУ) — самые распространенные микросхемы аналоговой техники.

«С»: Эти слухи документально правдивы! В 1965 году Видлар разработал первый, пригодный для практического использования ИНТЕГРАЛЬНЫЙ ОУ типа μА709 фирмы FAIRCHILD. Ему были присущи некоторые недостатки, что сдерживало его широкое применение. Перейдя в фирму National, Видлар разработал более совершенный ОУ типа LM301.

Но инженеры фирмы FAIRCHILD разработали новый ОУ, обладающий внутренней частотной коррекцией, в результате чего упростился процесс регулировки сдвига. Поскольку новый ОУ типа μА741 действительно не требовал в большинстве случаев иных компонентов, кроме тех, которые формируют цепь обратной связи, то ОУ именно этого типа почти мгновенно распространился по всему миру! Их производят сотни полупроводниковых фирм СОТНЯМИ МИЛЛИОНОВ штук!

«Н»: Мне не терпится скорее узнать, что же представляет из себя этот самый ОУ, а главное — чем он может быть нам полезен?

«А»: Может он очень многое…

«С»: Уважаемый Аматор! Я попросил бы тебя начать рассказ.

«А»: Благодарю за доверие!.. Операционный усилитель (ОУ) предназначен для усиления напряжения или мощности входного сигнала. Причем свойства и параметры схем на ОУ определяются элементами цепи обратной связи. ОУ представляют из себя УСИЛИТЕЛИ ПОСТОЯННОГО ТОКА (или УПТ), имеющие нулевое значение выходного напряжения, если входные напряжения равны нулю.

«Н»: Что значит «входные напряжения»? Разве у ОУ не один вход?

«А»: Да, представь себе, ОУ имеют ДВА ВХОДА! Я сейчас изображу это на рис. 17.1.

Вход, обозначенный как (+) называется НЕИНВЕРТИРУЮЩИМ, а вход обозначенный символом (-) — ИНВЕРТИРУЮЩИМ. Для обеспечения возможности работы ОУ как с положительными, так и с отрицательными входными сигналами, используется двуполярное питающее напряжение. ОУ характеризуются очень большим (десятки — сотни тысяч) коэффициентом усиления, а также высоким входным и низким выходным сопротивлениями. Поскольку ОУ ранее широко использовались в аналоговых вычислительных и моделирующих устройствах, выполняя операции суммирования, вычитания, интегрирования и дифференцирования, то оттуда и произошло их название.

«С»: Верно! Хотя будем помнить, что ОУ — прибор реальный. Собственный (иначе дифференциальный) коэффициент усиления ОУ действительно имеет величину в пределах от десяти тысяч до миллиона! Но это есть УСИЛЕНИЕ БЕЗ ОБРАТНОЙ СВЯЗИ!

Затем, чтобы сделать выходное напряжение реального ОУ равным нулю, следует скорректировать напряжение смешения нуля, которое для разных типов ОУ лежит в пределах от десятков микровольт до пяти милливольт.

«А»: Известны две основные схемы усилителей, построенных на основе ОУ. Это ИНВЕРТИРУЮЩИЙ усилитель и НЕИНВЕРТИРУЮЩИЙ усилитель.

«Н»: А что означают эти названия?

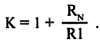
«А»: Для начала рассмотрим схему НЕИНВЕРТИРУЮЩЕГО усилителя, то есть такого, который НЕ МЕНЯЕТ ФАЗУ входного сигнала! Вот он представлен на рис. 17.1, б. Коэффициент усиления К = Uвыx/Uвx в данном случае запишется так:

Кстати, если RN = 0, a R1 — стремится к бесконечности, то К = 1.

«Н»: То есть в этом случае получается ПОВТОРИТЕЛЬ НАПРЯЖЕНИЯ?

И потом, если я правильно понял, для того, чтобы получить коэффициент усиления К = 100, то мне достаточно всего лишь взять отношение RN/R1 = 99?

«А»: Это так!

«Н»: Но, в таком случае, почему бы не получить от этой же схемы значительно больший коэффициент усиления? Например 10000? Или 20000? Или даже все 50000!? К этому есть какие-то ограничения?

«А»: В идеальных ОУ — никаких. В реальных — безусловно!

«Н»: И в чем они заключаются?

«С»: Среди параметров ОУ имеется и такой, как ПОЛОСА ЧАСТОТ Так вот имеется некоторая частота f1, при которой реальный коэффициент усиления ОУ падает до ЕДИНИЦЫ, независимо оттого каким он был ранее!

Например, для упоминаемого ранее ОУ типа (IA741 (его отечественный аналог К140УД7) частота f1, равна 0,8 МГц. Это означает, что для К = 100 частотная полоса равна всего 8 кГц! Поэтому для расширения частотной полосы следует снижать К!

«А»: А каков выход из этой ситуации?

«С»: Только один — использовать ОУ, у которых f1 составляет десятки мегагерц! Это, скажем, такие ОУ как К544УД2 (f1 = 15 МГц); К154УД4 (f1 = 30 МГц) и т. д. В настоящее время в США, Японии и Европе имеются ОУ у которых f1 достигает сотен МГц — единиц ГГц!

Полезно знать и о таком параметре ОУ, как СКОРОСТЬ ОТКЛИКА. При подаче на вход ОУ скачка большого сигнала, усилитель по выходу откликается на это с некоторой конечной скоростью, определяемой внутренними токами и емкостями схемы. Скорость отклика для К140УД7 равна 0,67 вольт/микросекунду.

В нашем справочнике мы приведем и этот, и иные параметры для тех ОУ, которые найдут применение в нашей разработке.

«А»: Теперь я хочу представить вниманию собравшихся схему ИНВЕРТИРУЮЩЕГО усилителя, то есть такого, который на своем выходе МЕНЯЕТ ФАЗУ входного сигнала. Для этой схемы справедливо соотношение

«С»: А что можно сказать, сравнивая между собой входные сопротивления этих двух разновидностей усилителей?

«А»: У инвертирующего усилителя Rвх чуть меньше, чем R1. А вот у неинвертирующего — Rвх в сотни раз выше!

«С»: Ну что же… Для первого знакомства этого вполне достаточно. Тем более, что существуют многие десятки типов ОУ, входные каскады которых реализованы на согласованных биполярных транзисторах. Применяются также ОУ, входные каскады которых построены на СУПЕР-БЕТА транзисторах. Вот, например, К140УД14.

Есть высокопрецизионные ОУ, которые реализованы целиком на супер-бетах! Например, К140УД17. Имеется большая номенклатура ОУ, во входных каскадах которых применены согласованные полевые транзисторы. Это: К140УД22; К140УД23; К544УД1; К574УД1/2/3; К1407УДЗ и т. д.

«Н»: А вот специальные малошумящие ОУ имеются?

«С»: Не без этого…Но мы еще вернемся к рассмотрению конкретных ОУ, когда будем рассматривать конкретные же узлы. А сейчас считаю необходимым упомянуть и о других аналоговых микросхемах. Вот, например, об аналоговых перемножителях.

В аналоговом ПЕРЕМНОЖИТЕЛЕ НАПРЯЖЕНИЯ выходное напряжение пропорционально произведению входных. Эти микросхемы имеют еще и второе название — БАЛАНСНЫЙ МОДУЛЯТОР. Во всех перемножителях Uвых = KХУ, где: K — масштабный коэффициент; X и У — напряжения, подаваемые на входы.

«Н»: А какую функцию аналоговые перемножители могут выполнять в радиоприемнике?

«С»: На них хорошо, например, строить смесители частот или, скажем, синхронные детекторы. На всякий случай, запомним наименования таких АП, как К525ПС1; К525ПС2; К140МА1; К526ПС1.

«А»: А вот по какому ведомству зачислять транзисторные сборки?

«С»: Да, вопрос интересный! Тем более, что транзисторные сборки достаточно широко применяются в специальной радиоприемной технике. В свое время немало радости разработчикам принесла микросборка «Рондо», в дальнейшем получившая стандартное наименование К159НТ1. Она содержала пару n-р-n-транзисторов, эмиттеры которых были соединены.

«Н»: Не могу понять смысла производства подобной сборки! Ведь два обыкновенных транзистора с одинаковым В будут работать не хуже?

«С»: А вот здесь ты сильно ошибаешься, Незнайкин! Подбор двух экземпляров транзисторов, пусть даже с одинаковой В — проблемы не решает! Дело в том, что, в отличие от дискретных транзисторов, ИМЕННО В МИКРОСБОРКАХ транзисторные пары имеют не только одинаковые В, но и еще одно серьезное преимущество.

Оно заключается в том, что при равных коллекторных токах, разница в напряжениях база — эмиттер составляет величину не более 1–3 милливольт!

Это значит, что включенные по схеме дифференциального усилителя, при изменении температуры окружающей среды в достаточно широких пределах, подобные сборки обладают исключительно малым дрейфом параметров! Что делает их незаменимыми, например, в точных стабилизаторах напряжения.

«А»: То есть в нашем случае они найдут практическое применение?

«С»: Мы еще не добрались до принципиальных схем, но в этом случае могу заранее однозначно ответить — ДА!

«А»: А какие типы микросборок найдут у нас применение?

«С»: Вот, например, К198НТ1; К198НТ5; К198НТ7; К504НТ1/2/3 и т. п.

«А»: Ну, а что, в таком случае, можно сказать по поводу применения в приемнике цифровых микросхем?

«С»: Пока только то, что их количество будет исчисляться десятками!

«Н»: Почему бы раньше не рассмотреть вопрос, что вообще представляют из себя эти самые цифровые схемы?

«С»: Да, час настал!..Вы уже знаете, что в нашем приемнике частота принимаемого сигнала должна индицироваться пятиразрядным ЦОУ. Это значит, что несущая частота сигнала должна быть преобразована в соответствующую последовательность прямоугольных импульсов, количество которых затем подсчитывается в десятеричной системе счисления и индицируется.

Но… так никто не поступает! Поскольку… сигнал данной частоты на входе приемника может присутствовать, а может и не присутствовать! Согласны?

«А»: Ну конечно, потому что при перестройке частоты приема мы можем «пробегать» участки, соответствующие зонам молчания!

«С»: Только вообразите, что будет твориться при этом на цифровой шкале! Кроме чувства некомфортности и раздражения, я полагаю, иных чувств у пользователя это не вызовет!

«Н»: Но ведь есть же какой-то выход из всего этого?

«С»: Есть! Поступают следующим образом. ЦОУ измеряет не частоту входного сигнала, который, как говорилось, может присутствовать на антенном входе, а может и не присутствовать. Поэтому измеряют частоту плавного гетеродина (ГПД). Естественно допустить, что в исправном приемнике гетеродин должен работать всегда!

«Н»: Если приемник включен!?

«А»: Ну безусловно! Но тогда ЦОУ показывает не частоту приема, а частоту гетеродина? Следовательно, оператор приемника должен быстренько в уме вычесть из текущей частоты гетеродина значение промежуточной частоты своего приемника и, таким образом, определиться, какую частоту он принимает?

«С»: Вы, друзья мои, слишком плохого мнения о современной цифровой технике! В действительности, всё обстоит вовсе не так мрачно! ЦОУ само, в течение каждого цикла подсчета частоты приема, вносит соответствующую поправку и выдаёт на цифроиндикатор ИСТИННУЮ ЧАСТОТУ приема! Ну вот, а теперь давайте разберемся, как и с помощью какой элементной базы реализируются эти прогрессивные идеи.

«А»: Я полагаю с помощью цифровых микросхем. Но ведь их такое множество! Причем самых разнообразных типов! К примеру — транзисторно-транзисторная логика (ТТЛ); эмиттерно-связанная логика (ЭСЛ); диодно-транзисторная логика (ДТЛ); транзисторно-транзисторная логика с переходом Шоттки (ТТЛШ); комплементарная металл — окисел — полупроводниковая логика (КМОП) и так далее.

«С»: Верно, но список этот можно весьма расширить. Например, ТТЛШ по международной терминологии имеет также различные технологии, как AS — сверхскоростные перспективные с переходом Шоттки; ALS — перспективные экономичные с переходом Шоттки; FAST — компромиссные между AS и ALS. О КМОП — логике и говорить нечего. Она развивается потрясающими темпами!

«А»: А ЭСЛ — постепенно отмирает?

«С»: Дорогой Аматор, прошу, больше никогда не говори подобного! Как говорил (по другому правда поводу) один гуцульский вуйко — вот уж чего нет, того нет!

«А»: Но не будем же мы применять ВСЕ разновидности цифровых микросхем?

«С»: Все, конечно же, не будем! А вот пару-тройку разновидностей видов цифровых микросхем — обязательно!

«А»: Но не ТТЛ ведь?

«С»: Ты прав, дорогой друг! Для применения в радиоприемной технике, выбирать базовую технологию микросхем нужно с особой тщательностью. Поскольку… при этом легко свести на нет все достигнутые ранее высокие параметры.

«Н»: Не понимаю, почему? Какое отношение имеют друг к другу радиоприемный тракт и цифровая шкала?

«С»: Самое непосредственное! Есть такое понятие — электромагнитная совместимость ЦОУ с радиоприемным трактом. В ЦОУ имеет место наличие иррегулярных прямоугольных импульсов, в частности, опорного кварцевого генератора, частоты которых подвергаются многократному делению, что создает широкий спектр помех в радиочастотном диапазоне. Взаимодействуя с приемным трактом, эти помехи порождают дополнительные каналы и интерференционные свисты. Поэтому, прежде чем браться за ЦОУ, следует продумать такие нюансы как: тщательная экранировка блока ЦОУ, а также применение минимального количества интегральных схем (ИС), особенно в предварительном делителе частоты, являющимся наиболее мощным источником радиопомех.

«А»: Тогда упор придется сделать на КМОП-логику?

«С»: Безусловно, там где это только возможно, будем применять именно КМОП структуры, поскольку они отличаются особо малым потреблением тока. Но, учитывая специфику приемников с преобразованием «вверх», легко представить, что эти структуры мы не сможем применять везде!

«А»: Дело в их недостаточном быстродействии?

«С»: Да! Представим себе, что мы принимаем, например, станцию, сигнал которой расположен в 10-метровом диапазоне. Наша первая промежуточная частота — 55,5 МГц. Это означает, что с гетеродина на вход ЦОУ поступает… 85,5 МГц! Этот сигнал следует сперва превратить в последовательность прямоугольных импульсов, а затем разделить на 1000.

«Н»: А почему именно на 1000?

«С»: Да хотя бы потому, что частоту принимаемого сигнала мы должны индицировать с точностью не 1 Гц, а 1 кГц! Следовательно, на вход ЦОУ должна поступать частота 85,5 кГц! С такой частотой КМОП-логика справится шутя!

«Н»: А на что вообще способна КМОП в смысле частоты?

«А»: Прекрасные, проверенные временем, серии К176 и К561 отлично справляются с частотами до 2 МГц. Сохраняя при этом хорошую крутизну фронтов и малый ток потребления.

«Н»: А разве ток потребления зависит от частоты?

«А»: Обязательно… Но я еще не пришел к окончательному выводу относительно того, на основе каких микросхем будет построен предварительный делитель частоты. Ведь обычные ТТЛ здесь не помогут. Не так ли, Спец?

«С»: Безусловно так! Не помогут нам и экономичные ТТЛШ серии 555. Ничего хорошего не принесет и применение ТТЛШ серии 531. Она «недотягивает» по частоте, помимо всего прочего.

«А»: Ну, а как насчет ЭСЛ? Например, серии 500?

«С»: Они потребляют ток около 150–200 мА на корпус! Например, К500ИЕ137 (делитель на 10), имея максимальную частоту счета 125 МГц, потребляет ток равный 165 мА! И при этом полярность напряжения питания — отрицательная! В то время, как у КМОП — положительная! Следовательно, применение серии 500 нежелательно крайне!

«А»: Имеются новые ТТЛШ серии КР1531, которые вполне способны работать на частотах до 100 МГц. При этом их ток потребления не превышает 45 мА на счетчик!

«С»: Да, именно на этой серии мы и остановились бы… если бы не существовало ЗНАЧИТЕЛЬНО лучшего решения!

«А»: Но я не знаю более подходящей серии!..

«С»: Это серия 193, сравнительно недавно рассекреченная. И в ней имеется микросхема, которая проходит в нашем случае «по всем статьям»! Можно сказать, оптимальная микросхема!

«А»: Как она называется?

«С»: Это K193HE3. Представляет из себя счетчик, коэффициент деления частоты которого (в зависимости от коммутации управляющих входов) может быть выбран равным 10 или 11. Потребление тока не более 20 мА! Частота входных сигналов от 30 до 200 МГц! И при этом на ее счетный вход можно подавать синусоидальный сигнал!

«А»: Потрясающе!..

«С»: Особенно то, что эта схема начинает работать не с нулевой частоты, а с 30 МГц. Тем самым отсекается низкочастотная помеха. Кстати, можем сразу же занести параметры и цоколевку микросхемы K193ME3 в наш справочник.

«Н»: Значит, вопрос с первым делением входной частоты на 10 считаем решенным?

«А»: Ну конечно! Теперь наш сигнал (переведенный в форму прямоугольных импульсов) имеет частоту уже не 85 МГц, а «всего» 8,5 МГц! С такой частотой справятся и ТТЛ, и ТТЛШ — спокойно!

«С»: В качестве второго делителя, действительно можно применить многие типы микросхем. Лично я предпочел бы для этого старую «дубовую» (это на сленге электронщиков — синоним надежности) серию ТТЛ. А именно — К133ИЕ2.

«Н»: Но поскольку, как я понял, подавляющее число микросхем в нашем ЦОУ будет именно КМОП, то почему бы не побеседовать об этом более обстоятельно?

«С»: Предложение принято!.. Итак, прежде всего, запомним, — что аббревиатура КМОП расшифровывается как: комплементарная металл — окисел — полупроводниковая логика. Слово «комплементарный» переводится как «взаимно дополняющий». Так именуют пару транзисторов, сходных по абсолютным значениям параметров, но имеющих различные типы проводимостей. В биполярной технике — это транзисторы р-n-р и n-р-n. А в полевой — транзисторы с р- и n-каналом.

«А»: Следует ли из этого тот вывод, что в последнем случае речь идет об ИНДУЦИРОВАННЫХ каналах?

«С»: Безусловно да! И мы ранее неплохо коснулись этого вопроса. Но теперь я предлагаю рассмотреть работу комплементарного инвертора.

«А»: Я понял в чем дело! На рис. 17.2, а переключатель S1 подает весь «+» источника напряжения на затворы комплементарной пары. Это напряжение превышает пороговое для n-канального MOS. И он, что совершенно естественно, переходит в состояние насыщения. В то же самое время, этот самый «+» на такую же величину напряжения как бы «отдаляет» пороговое напряжение для р-канального прибора.

Поэтому p-канальный MOS — надежно заперт. И его сопротивление сток-исток чрезвычайно велико. А n-канальный полностью открыт. В результате на выходе потенциал равен НУЛЮ!

«Н»: А если на рис. 17.2, б S2 перевести в противоположное положение, то р-канальный и n-канальный транзисторы, я полагаю, просто поменяются ролями!

«С»: Совершенно верно! А теперь обратим внимание на тот факт, что ситуация на выходе рассмотренного инвертора всегда повторяет ситуацию на его же входе с «точностью до наоборот»!

«Н»: Поэтому инвертор и называется инвертором?

«С»: Ну конечно! Итак, запомним, что в основе ВСЕХ цифровых микросхем КМОП находятся три «логических кирпичика»: И, ИЛИ и коммутационный ключ КК. Ну, а если совсем строго, то И-НЕ; ИЛИ-НЕ и КК!

«Н»: Ну что такое НЕ — я понял. Это ведь ничто иное, как инвертирование сигнала! Так?..

«А»: Точно так! Во всех схемах логики (или цифровых схемах малого уровня интеграции) приняты следующие обозначения. Прямоугольник с выводами, изображенный на рис. 17.3, а, читается как 2И-НЕ, а изображенный на рис. 17.3, б, как 2ИЛИ-НЕ. Означает это тот факт, что уровень логического «0» на выходе (рис. 17.3, а) будет в том случае, если на ОБОИХ входах будет присутствовать уровень логической «1». Что касается элемента, изображенного на рис. 17.3, б то уровень логической «1» будет присутствовать на его выходе в случае, если ИЛИ на первом, ИЛИ на втором входах будет иметь место уровень логического «0». Понятно?

«Н»: Почти… Я не совсем взял в толк, что означает уровень логической «1» и уровень логического «0»?

«С»: Вообще принято, что уровень логической «1» соответствует «высокому» потенциалу, а уровень логического «0», соответственно, «низкому».

«Н»: А какие реально величины уровней характерны для КМОП?

«С»: В отличие от ТТЛ и ЭСЛ, где напряжение питания строго фиксировано (допускается разброс не более 5 процентов), напряжение питания для КМОП-логики варьируется в широких пределах. Так, КМОП серия К176 работоспособна при питающих напряжениях от +5 вольт до +10 вольт. А серия К561 — от +3 до +15 вольт. Это очень удобно, хотя следует учитывать, что при нижних значениях величины напряжения питания, процессы в МОП элементах затягиваются и максимальная рабочая частота падает.

«А»: Я читал, что многомиллиардная программа по созданию СВЕРХСКОРОСТНЫХ интегральных схем — ССИС, проводимая в США в конце 80-х — начале 90-х годов базировалась и на КМОП-технологии?

«С»: Да, это так! В результате Америка, Япония и Европа располагают поистине великолепными высокочастотными микросхемами, базирующимися на использовании КМОП! Их рабочие частоты — сотни мегагерц!

«Н»: А вы можете подробно рассказать о работе триггера или счетчика?

«С»: Дорогой Незнайкин! Чтобы сегодня стало возможным ставить вопрос о создании в домашних условиях задуманного нами высококачественного приемника — потребовались десятки лет труда и поисков лучших ученых и инженеров всего человечества! Хотя цели при этом преследовались, естественно, несколько иные!

Сотни миллиардов долларов вложены в развитие электроники!.. Написаны сотни замечательных книг, посвященных, скажем, только применению и особенностям той же КМОП технологии…

Помнишь, как сказал один персонах «Кавказской пленницы»? «Я имею возможность купить козу, но не имею желания…». И далее: «я желаю купить дом, но не имею возможности…».

Так вот, было бы очень интересно провести цикл бесед посвященный принципам работы Д-триггеров; JK-триггеров; Т-триггеров. Счетчикам синхронным и ассинхронным, с предустановкой и без таковой, двоичным и десятичным и т. д. Регистрам, сумматорам, мультиплексорам и т. п. Но у нас просто НЕТ такой возможности!

«А»: В общем, как сказал один персонаж из романа Уэллса «Первые люди на Луне»: «Мы не открыли Луны, Кейвор, мы только добрались до нее…».

«С»: Лучше не скажешь…

Более 800 000 книг и аудиокниг! 📚

Получи 2 месяца Литрес Подписки в подарок и наслаждайся неограниченным чтением

ПОЛУЧИТЬ ПОДАРОК