Классы усилителей

В зависимости от режима работы выходных транзисторов усилители (не только УМЗЧ — усилители мощности звуковой частоты) делятся на классы. Различают классы А, В, АВ, С, D, G и Н, недавно был также предложен еще один класс — Т.

Классы D и Т относятся к дискретным (цифровым) усилителям, остальные — к линейным (аналоговым). Рассмотрим особенности режимов работы выходного каскада для распространенных классов А, В и АВ.

Действующее значение напряжения

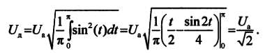
Для того чтобы было более понятно рассмотрение важнейшего вопроса о КПД для различных классов, приведем сначала точное определение действующего значения напряжения переменного тока Uд (именно действующее значение определяет мощность на нагрузке и выходных транзисторах, а следовательно, и КПД):

(1)

Здесь Ua — амплитудное значение напряжения u(t), T — период (в данном случае мы рассматриваем полпериода от 0 до π). Для синусоидального напряжения u(t) = sin(t):

(2)

При выводе учитывается, что:

Соотношение (2) для действующего значения (без вывода) уже приводилось в главе 4.

Классы усилителей

Класс А (рис. П3.1) — это фактически режим, соответствующий усилительному каскаду с общим эмиттером (см. рис. 6.6).

Рис. П3.1. Режим работы усилителя класса А

В классе А на коллекторе транзистора устанавливается ровно половина питания. Если считать переходную характеристику каскада строго линейной (сплошная линия на рис. П3.1), то амплитуда выходного сигнала может достигать напряжения питания. Для оценки КПД в этом идеализированном случае обратим внимание, что незатемненная область на графике выходного напряжения соответствует мгновенным (в каждый момент времени) значениям напряжения на нагрузке, а затемненная — напряжениям на выходном транзисторе. Как мы видим из графика, эти области строго равны друг другу по площади, поэтому соответствующие интегралы (1) и действующие значения напряжения на нагрузке и на транзисторе будут равны, так что КПД будет равен ровно 50 % — половина затрачиваемой мощности выделяется на нагрузке, половина — на транзисторе. В реальности же переходная характеристика имеет S-образный вид (пунктир на рис. П3.1), поэтому во избежание искажений приходится ограничивать амплитуду сигнала, так что в действительности КПД может быть значительно меньше, да и реальный сигнал никогда не достигает максимальных амплитудных значений.

Другим крупнейшим недостатком класса А является то, что в отсутствие входного сигнала через транзистор течет большой ток (причем легко показать, что именно в отсутствие сигнала мощность, выделяющаяся на транзисторе, будет максимальной, и в этом случае КПД фактически равен нулю). Вместе с тем, режим класса А позволяет без лишних проблем получить неискаженный сигнал, усиленный как по току, так и по напряжению, и потому широко используется в маломощных каскадах, где КПД не имеет существенного значения. Например, в этом режиме работает «раскачивающий» каскад на транзисторе VT3 в УМЗЧ из главы 8.

Режим усилителя класса В фактически используется только в двухтактных схемах эмиттерных повторителей, подобных показанной на рис. 8.2. На рис. П3.2 изображены соответствующие графики для одной (положительной) половины такого каскада (для второй половины все — в случае идеального согласования характеристик выходных транзисторов — строго симметрично).

Рис. П3.2. Режим работы усилителя класса В

Как мы видим, выходное напряжение представляет собой половину синусоиды, и в отсутствие входного сигнала ток через транзистор(ы) равен нулю. Примем, как и ранее для класса А, что переходная характеристика строго линейна, и попробуем оценить теоретический КПД.

Действующее значение напряжения на нагрузке равно, как следует из формулы (2),

Uн = Ua/√2 (в общем случае Uа =/ Uпит), отсюда мощность в нагрузке будет равна:

где R — сопротивление нагрузки.

Мгновенное значение напряжения на транзисторе можно определить как «остаток» от того, что выделяется на нагрузке (затемненная область на рис. П3.2), т. е. uт = Uпитuн(t). (Маленькими буквами мы здесь обозначаем мгновенные значения.)

Ток через транзистор тот же самый, что и через нагрузку, и его величина будет равна iн = uн(t)/R. Тогда мгновенная мощность на транзисторе выразится формулой:

Средняя же мощность в одном плече определится следующей формулой (обратите внимание, что хотя мы считаем для одного плеча, осреднение происходит по полному значению периода 2π, просто в течение второго полупериода плечо не работает):

Для синусоидального напряжения подставим  а также выражение для (см. ранее), и получим:

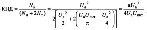
Суммарная мощность, потребляемая от источника, будет равна сумме мощностей на обоих транзисторах и нагрузке, а КПД выразится формулой (величина сопротивления нагрузки R в числителе и знаменателе сокращается):

Учтем, что в данном случае Uпит = Uа, и окончательно получим, что теоретический КПД для усилителя класса В составляет π/4 = 0,785 = 78,5 %. Практически же КПД будет существенно меньше по целому ряду причин. Первая причина — мы производили расчет для максимального значения сигнала, а в реальности, как и для класса А, сигналы достигают этой величины только изредка. На рис. ПЗ.З приведены графики распределения мощностей и изменения КПД в зависимости от амплитуды сигнала.

Рис. ПЗ.З. Распределение мощностей и величина КПД в зависимости от относительной амплитуды выходного сигнала в усилителях класса В:

1 — мощность на каждом из транзисторов; 2 — мощность в нагрузке; 3 — суммарная мощность, потребляемая от источника; 4 — КПД

Интересно, что в отсутствие сигнала КПД, как и для класса А, равен нулю, но есть одно существенное различие — сама мощность, потребляемая от источника питания, при этом также равна нулю.

Кроме этого, есть и другие причины снижения КПД. Прежде всего, переходная характеристика, как и для класса А, не является прямой линией — практически это выражается, в частности, и в том, что напряжение на выходе будет ограничиваться величинами, меньшими, чем напряжение питания. Напряжение на выходе будет всегда ниже входного по крайней мере на величину падения база-эмиттер. Все это само по себе уменьшит незатемненную область на графике и увеличит затемненную.

Главное же, что в чистом виде класс В для усиления аналоговых сигналов не используют — из-за больших искажений типа «ступенька» (см. главу 8). Поэтому практически классы В и А объединяют, создавая некоторый начальный ток смещения комплементарной пары, — такой режим усилителя известен, как класс АВ, и большинство аналоговых схем построено по этому принципу (в главе 8 мы обеспечивали режим АВ с помощью цепочки диодов).

Все это касается случая, когда выходной каскад составлен из биполярных транзисторов. Применение комплементарных полевых транзисторов может существенно снизить искажения, однако там появится новая напасть — в момент равенства сигнала нулю оба транзистора пары будут приоткрыты (эффект «сквозного тока» — явление, аналогичное происходящему при переключении в КМОП-микросхемах), и это равносильно принудительному смещению биполярных транзисторов. В результате КПД «хороших» усилителей класса АВ составляет от силы 60 %, а часто еще меньше (именно поэтому в главе 8 при расчете радиаторов я задавался величиной мощности на выходных транзисторах, равной мощности в нагрузке).

Более 800 000 книг и аудиокниг! 📚

Получи 2 месяца Литрес Подписки в подарок и наслаждайся неограниченным чтением

ПОЛУЧИТЬ ПОДАРОК