ГЛАВА 10 Тяжеловесы

Устройства для управления мощной нагрузкой

— Что вы делаете? — с удивлением воскликнула миледи.

— Положите мне руки на шею и не бойтесь ничего.

— Но из-за меня вы потеряете равновесие, и оба мы упадем и разобьемся.

А. Дюма. Три мушкетера

Многие практические задачи состоят в том, чтобы маломощное управляющее устройство, например простой переменный резистор или схема управления, построенная на логических или аналоговых микросхемах, могло бы управлять мощной нагрузкой, как правило, работающей от бытовой электрической сети. Это одна из тех областей техники, где за последние полвека электроника совершила настоящий переворот.

Представьте себе работу, скажем, осветителя в театре еще в пятидесятые годы XX века. Для плавного регулирования яркости прожектора тогда использовался последовательно включенный реостат — проще говоря, регулирование осуществлялось по схеме, приведенной на рис. 1.4. Более экономичный, но и более дорогой и громоздкий вариант, — ставить на каждый прожектор по регулируемому автотрансформатору с ползунком, управляемым вручную. Иногда в таких автотрансформаторах для дистанционного вращения ползунка приспосабливали моторчик, и вся система управления освещением с жужжащими трансформаторами, завывающими моторчиками и клацающими реле-пускателями начинала напоминать небольшой цех. То ли дело сейчас, когда осветитель сидит за клавиатурой вроде компьютерной (а иногда и просто за компьютерной) и управляет этим хозяйством легкими движениями пальцев. А нередко — как в массовых театрализованных представлениях — человек оказывается вообще не нужен, система управляется компьютером по заранее заданной программе. Все это стало возможным только лишь с появлением электронных устройств управления мощными нагрузками.

В главе 9 мы уже упоминали о том, что электронные устройства ни в коем случае нельзя строить по бестрансформаторной схеме — так, чтобы органы управления были напрямую связаны с сетью. При построении схем, управляющих сетевой нагрузкой, возникает непреодолимое искушение избавиться от трансформаторов питания и последующих устройств сопряжения — в самом деле, электричество в конечном счете одно и то же, так, спрашивается, зачем возиться? Но не поленимся повторить: поступать так не следует, потому что это опасно для жизни. И не только вашей жизни, которая подвергнется опасности при отладке подобных устройств, но и для жизни тех, кто будет вашими устройствами пользоваться. Тем не менее, здесь вы найдете некоторые исключения из этого правила — они касаются случая, когда управление сетевой нагрузкой осуществляется в автоматическом режиме, и доступ людей к элементам схемы во время ее работы исключен.

Самая простая схема управления мощной нагрузкой — релейная. Она применима в тех случаях, когда нагрузку нужно просто включать и выключать. Мы не будем подробно останавливаться на этом случае, т. к. о реле достаточно сказано в главе 7.

Однако отметим один существенный момент, о котором мы ранее не упоминали, — дело в том, что при релейном управлении сетевая нагрузка может отключаться и включаться, естественно, в произвольный момент времени. В том числе, этот момент может попадать и на самый пик переменного напряжения, когда ток через нагрузку максимален. Разрыв — или соединение — цепи с большим током, как мы уже знаем (см. главы 5 и 7), приводит к разного рода неприятностям. Во-первых, это искрение на контактах из-за выброса напряжения, что ведет к их повышенному износу, во-вторых, и в-главных, это создает очень мощные помехи, причем как другим потребителям в той же сети, так и электромагнитные помехи, распространяющиеся в пространстве. В моей практике был случай, когда включение мощного двигателя станка через пускатель приводило к тому, что в микроконтроллере, установленном в блоке управления на расстоянии пяти метров от станка, стиралась память программ! И это несмотря на то, что все стандартные меры по защите от помех по питанию были приняты.

Чтобы избежать такой ситуации, для коммутации мощной нагрузки лучше применять не обычные электромагнитные реле или пускатели, а оптоэлектронные. В них часто встроен так называемый zero-детектор — устройство, которое при получении команды на отключение или включение дожидается ближайшего момента, когда переменное напряжение переходит через ноль, и только тогда выполняет команду.

А теперь перейдем к более интересным вещам — к плавному регулированию мощности в нагрузке. Мы будем это делать, управляя действующим значением напряжения, которое на нее поступает.

Базовая схема регулирования напряжения на нагрузке

Для этой цели нам придется применить один электронный прибор, который мы до сих пор не рассматривали, — тиристор, представляющий собой управляемый диод и соединяющий в себе свойства диода и транзистора. По схеме включения тиристор несколько напоминает транзистор в, ключевом режиме — у него тоже три вывода, которые работают аналогично соответствующим выводам транзистора (рис. 10.1, а).

В обычном состоянии тиристор заперт и представляет собой бесконечное сопротивление, а для его открывания достаточно подать напряжение на управляющий электрод — аналог базы у транзистора. Разница между тиристором и транзистором заключается в том, что для удержания транзистора в открытом состоянии через базу нужно все время гнать управляющий ток, а тиристору для открывания достаточно короткого импульса.

Величина тока через управляющий электрод составляет несколько единиц или дeсятков миллиампер в зависимости от мощности тиристора — для очень мощных приборов она может составлять единицы ампер (причем в ряде случаев ограничительный резистор можно не ставить — на схеме рис. 10.1, а он показан пунктиром). При этом напряжение должно достигать определенной величины — амплитуда управляющих импульсов для тиристоров средней мощности (рассчитанных на токи порядка 3-10 А) должна составлять примерно 5-10 В, а длительность его может не превышать 0,05 мс.

В отсутствие открывающего импульса тиристор все равно можно открыть, если подать на анод достаточно высокое напряжение — ток через управляющий электрод всего лишь снижает это открывающее анодное напряжение практически до нуля (но при этом управляющий импульс также должен иметь напряжение не ниже некоторого порога). Существует даже отдельный класс приборов под названием динисторы, представляющие собой тиристоры без управляющего электрода — они открываются при превышении анодным напряжением определенной величины, которая обычно составляет несколько десятков вольт. Тиристоры могут также открываться самопроизвольно, если анодное напряжение нарастает слишком быстро (со скоростью порядка 10 В/мкс и более). Во избежание этого в схемах на тиристорах следует шунтировать промежуток катод-управляющий электрод резистором (на схеме рис. 10.1, а не показан). В настоящее время выпускаются специальные тиристоры и симисторы (о них рассказано далее), лишенные этого недостатка и предназначенные для работы в импульсных цепях.

Рис. 10.1. Схемы включения тиристоров и симисторов:

а основная схема включения тиристора (1 — управляющий электрод; 2 — анод; 3 — катод);

б — включение симистора

Как и все диоды, тиристоры выдерживают большие перегрузки по току при условии, что они кратковременны. Во включенном состоянии тиристор ведет себя, как обычный диод, а закроется только тогда, когда ток через него (именно через него, в цепи анод-катод, а не по управляющему переходу) снизится до нуля. Если использовать его в цепи переменного тока, то это произойдет почти сразу, в конце ближайшего полу периода, при переходе напряжения через ноль. А вот в цепи постоянного тока тиристор сам не отключится, пока через него идет ток. Вообще-то, тиристор можно закрыть и подачей на управляющий электрод импульса противоположной полярности, но практически этим никто не пользуется (и возможность эта для обычных тиристоров относится к числу недокументированных), потому что и напряжение, и ток такого импульса должны быть сравнимы с напряжением и током в силовой цепи анод-катод.

Одиночный тиристор может обеспечить регулирование только положительного напряжения. В сети переменного тока в открытом состоянии он будет работать, как диод, отрезая отрицательную полуволну. Чтобы регулировать переменное напряжение в течение обоих полупериодов, нужен еще один тиристор, включенный наоборот. Так как тиристоры во всем, кроме управления, ведут себя подобно диодам, их можно включать встречно-параллельно. Для обычных диодов такое включение применяется только в схемах, подобных показанной на рис. 7.5, — они будут всегда открыты, так что, если не обращать внимания на падение напряжения в 0,6 В, при включении последовательно с нагрузкой такая схема просто ничего не делает.

Иное дело тиристоры — если на управляющие электроды ничего не подавать, то нагрузка будет отключена, если же подавать управляющие импульсы в нужной фазе и полярности относительно питающего напряжения, то они будут открываться и подключать нагрузку.

Симметричные тиристоры, или симисторы (рис. 10.1, б), естественно, выпускаются и отдельно. На западный манер симистор называется триаком. В симисторе имеется один управляющий электрод, причем в общем случае знак управляющего напряжения должен совпадать с полярностью на аноде. Популярные в нашей стране симисторы КУ208 при положительном напряжении на аноде могут включаться импульсами любой полярности, подаваемыми на управляющий электрод относительно катода, а при отрицательном — импульсами только отрицательной полярности.

На осциллограммах (рис. 10.2) перед нами пример управления мощностью в нагрузке с помощью пары встречно-параллельно включенных тиристоров или симистора.

В начале каждого полупериода тиристор закрыт, управляющий импульс подается только через промежуток времени, равный трети длительности этого полупериода (т. е. со сдвигом фаз, равным π/3 относительно напряжения питания), и тогда тиристор открывается. Закрывается он, как уже говорилось, автоматически в момент перехода питающего напряжения через ноль. В результате напряжение на нагрузке будет иметь необычный вид, показанный на графике (см. рис. 10.2 внизу).

Рис. 10.2. Графики напряжения в схеме фазового управления с помощью тиристоров или симистора

Каково будет действующее значение напряжения?

Ясно, что оно будет меньше, чем в отсутствие тиристора, — или чем в случае, если бы управляющий импульс подавался в самом начале периода. Если же, наоборот, подавать управляющий импульс в самом конце, то действующее значение будет близко к нулю. Таким образом, сдвигая фазу управляющих импульсов, мы можем плавно менять мощность в нагрузке с достаточно высоким КПД.

Мощность в нагрузке при тиристорном управлении

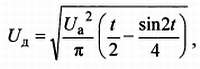
А можно ли вычислить, чему будет равно действующее значение во всех этих случаях? Обычно такие расчеты не требуются, но в некоторых случаях, как мы увидим далее, полезно эту величину знать, т. к. стандартным цифровым мультиметром измерить ее невозможно — по причинам, указанным в главе 4, он покажет для напряжения такой формы все, что угодно, только не истинную величину. Для того чтобы рассчитать величину действующего значения для разных величин сдвига фазы, нужно взять интеграл от квадрата мгновенного значения напряжения в течение всего полупериода. Полученная в результате формула будет выглядеть так:

где:

□ Uд — действующее значение напряжения на нагрузке;

□ Uа — амплитудное значение питающего напряжения;

 t — определяется по формуле f πφ, если сдвиг фазы φ выражать в радианах, или по формуле t = π(180 — φ)/180, если сдвиг фазы φ выражать в градусах.

При сдвиге фазы больше, чем половина периода (т. е. φ > π/2), полезно знать также максимальное значение напряжения на нагрузке Uмах, потому что от этого иногда зависит выбор элементов (при сдвиге фазы меньше половины периода максимальное значение попросту равно амплитудному значению питающего напряжения).

Его можно рассчитать по простой формуле: Uмах = = Uа·sin(φ).

В табл. 10.1 приведены результаты расчета по этим формулам для синусоидального напряжения 220 В. В последней колонке таблицы указаны величины мощности, которая будет выделяться в нагрузке, в процентах от максимальной мощности, которая выделялась бы при прямом включении нагрузки в сеть или, что то же самое, при сдвиге фазы управляющего импульса, равной нулю.

Анализ данных таблицы приводит нас к довольно интересным выводам. Зависимость действующего значения напряжения и мощности в нагрузке практически не меняется по сравнению с максимальной вплоть до сдвига фаз, равного 30° (в радианах π/6 или примерно 0,5) — помните из школьной тригонометрии правило: «синусы малых углов примерно равны самому углу»? Это оно и действует. Дальше значения мощности очень быстро падают вплоть до 150–160 градусов, когда мощность становится уже исчезающе малой — но обратите внимание на величину амплитудного значения! При сдвиге фаз в 160 градусов, когда мощности практически никакой уже нет, амплитудное значение все еще равно аж целых 106 В — такое напряжение вполне способно вывести из строя, скажем, маломощные диоды, у которых допустимое обратное напряжение часто не превышает нескольких десятков вольт.

Самый важный вывод, который следует из анализа данных таблицы, — изменение мощности в нагрузке в зависимости от угла сдвига фазы происходит нелинейно. По этой причине при проектировании устройств регулирования не имеет смысла начинать регулировку с малых углов сдвига фаз — реально ничего меняться не будет, и значительная часть хода регулировочного элемента будет холостой, практические изменения начнутся с углов в 30° и более.

Закончив на этом со скучной теорией, перейдем к практическим схемам.

Ручной регулятор мощности

Такое устройство будет незаменимо, скажем, в фотостудии, где используются мощные осветительные лампы: сначала вы уменьшаете яркость до половины, спокойно настраиваете освещение, не заставляя клиента щуриться и обливаться потом, затем выводите яркость на полную и производите съемку. Можно его также применить для плавного регулирования мощности нагревателя электроплитки или электродуховки и в других подобных случаях.

Так как устройство предполагает ручное управление, нам надо позаботиться о том, чтобы изолировать орган управления — это будет переменный резистор — от сетевого напряжения. Самое удобное было бы использовать для этого симисторную оптопару — к примеру, МОС2А60-10 фирмы Motorola. Такая оптопара работает совершенно так же, как отдельный симистор, только вход у нее — не управляющий электрод симистора, а светодиод, подобно тому, как это делается в диодных оптронах и оптоэлектронных реле, описанных в главе 7. Сами электронные реле, особенно если они содержат упомянутый ранее zero-детектор, использовать в данной схеме невозможно, т. к. никакого фазового управления не получится.

Но мы попробуем построить схему самостоятельно. Основную управляющую часть будем питать прямо от сети, а вот регулировочный резистор изолируем от нее с помощью оптрона — только не симисторного, а простого диодного или резисторного, выходное сопротивление которого линейно зависит от входного тока. Обеспечить питание управляющей части схемы при этом можно от любого изолированного от цепи источника (хоть покупного выпрямителя со встроенной вилкой).

Схема регулятора представлена на рис. 10.3.

Рис. 10.3. Схема ручного регулятора мощности в нагрузке

Сначала представим себе, что вместо фотодиода оптрона у нас в схеме стоит обычный постоянный резистор. Узел, который включает этот резистор, транзисторы VT1 и VT2, конденсатор С1 и резисторы R3-R6, представляет собой так называемый релаксационный генератор на аналоге однопереходного транзистора с n-базой. Хитрая схема включения разнополярных транзисторов VT1 и VT2 и есть этот самый аналог. Подробно свойства однопереходного транзистора мы рассматривать не будем, потому что за все время моей практики единственное применение для них нашлось только вот в такой схеме релаксационного генератора, причем описываемый тут аналог работает лучше, чем настоящий однопереходный транзистор (КТ117).

Для нас достаточно знать, что такое устройство работает следующим образом: если напряжение на входе (т. е. на соединенных эмиттерах VT1 и VT2) меньше, чем на соединенных базе VT1 и коллекторе VT2 (т. е. на делителе R3-R4), то такой транзистор заперт. Если же напряжение на входе превысит напряжение на делителе R3-R4, то транзистор откроется, причем необычным образом — ток потечет от входа к эмиттеру транзистора VT2 и создаст падение напряжения на резисторе R5. В открытом состоянии он будет, подобно тиристору, пребывать до тех пор, пока ток через него (напряжение на входе) не упадет до нуля. Резистор R6 нужен для более надежного запирания транзистора VT2.

Теперь понятно, как работает генератор: сначала конденсатор заряжается с постоянной времени, обусловленной его емкостью С и сопротивлением приемника фоторезистора (обозначим его R), и, когда напряжение, на нем достигнет половины напряжения питания (что обусловлено одинаковостью резисторов R3 и R4), он очень быстро разрядится через открывшийся однопереходный транзистор, резистор R5 и подключенный параллельно с ним управляющий электрод тиристора, формируя импульс включения. Когда напряжение на конденсаторе станет мало, однопереходный транзистор закроется, и все начнется сначала — конденсатор начнет заряжаться и т. д. Частоту генератора можно оценить по формуле f = 1/RC.

А что тиристор? Он теперь останется открытым до очередного перехода сетевого напряжения через ноль, а затем будет ожидать следующего открывающего импульса. Меняя сопротивление фоторезистора, т. е. изменяя входной ток светодиода оптрона, мы можем менять промежуток между открывающими импульсами и тем самым сдвигать их фазу относительно периода сетевого напряжения.

Однако это еще довольно приблизительное описание того, что на самом деле происходит в этой схеме. Внимательный читатель давно заметил, что питание генератора осуществляется прямо от выпрямленного напряжения сети через резистор R7, величина которого подобрана таким образом, чтобы напряжение на элементах схемы даже на максимуме синусоиды не превышало бы примерно 30 В и не вывело бы элементы схемы из строя. Такое пульсирующее питание в данном случае вовсе не просто суровая необходимость — оно крайне полезно.

Все дело в том, что частота любых генераторов с времязадающей RC-цепочкой весьма нестабильна и зависит от множества причин. Если бы мы использовали для питания такого генератора отфильтрованное постоянное напряжение, то установленный нами промежуток между импульсами быстро бы «уехал», и ни о каком стабильном сдвиге фазы и речи бы не шло — напряжение на нагрузке менялось бы хаотически. В данном же случае, когда тиристор открывается, он шунтирует мост (ток ограничен током нагрузки), все падение напряжения сети теперь приходится на нагрузку, и напряжение питания генератора снижается почти до нуля (точнее — до утроенного значения падения на диоде). Когда это происходит, однопереходный транзистор, согласно описанному ранее алгоритму, откроется — ведь на входе у него напряжение, накопленное на конденсаторе, и оно рано или поздно превысит небольшое остаточное напряжение на делителе. Причем в конце концов это произойдет, даже если тиристор не откроется вовсе (в схемах без моста в цепи нагрузки, приведенных далее, работа тиристора не оказывает влияния на питание схемы), потому что в конце полупериода напряжение так или иначе упадет. Потому, независимо от того, насколько конденсатор заряжен, он к концу полупериода обязательно разрядится и к началу нового полупериода придет «чистеньким». В конце очередного полупериода тиристор запирается, и с началом следующего генератор опять начинает работать.

Это означает, что схема наша автоматически синхронизируется с частотой сети, и промежуток времени от начала очередного полупериода до возникновения запускающего тиристор импульса (фаза управляющего импульса) будет достаточно стабилен, независимо от внешних условий. Если вдруг вы захотите использовать в этой схеме вместо аналогового генератора микроконтроллер или просто логическую схему, то вам придется тоже обязательно синхронизировать его выходные импульсы с сетевым напряжением. В нашей схеме можно, как это часто делают, ограничить напряжение на элементах схемы управления с помощью стабилитрона (его следует включать параллельно делителю R3-R4), но ни в коем случае не следует дополнительно еще и включать сглаживающий конденсатор.

* * *

Заметки на полях

Подобрав управляющий резистор, у которого корпус и ручка надежно изолированы от контактов, можно упростить конструкцию, если питать управляющую цепочку все же от сети. Для этого следует последовательно с резистором R7 поставить любой маломощный диод (катодом к R7, как показано на рис. 10.6 далее), а последовательно с ним, параллельно всей управляющей цепочке, — стабилитрон на 10–15 В (например, Д814Г — учтите, что ток через него составит порядка 30 мА, так что стабилитроны в стеклянных корпусах не подойдут!), шунтированный электролитическим конденсатором емкостью 47-100 мкФ. Вообще-то можно обойтись и без стабилитрона (тогда конденсатор должен быть на напряжение не менее 35 В), но так схема станет работать надежнее. Однако будьте осторожны, особенно при отладке схемы! Корпус такого устройства обязательно должен быть из пластика, а не из металла.

* * *

Если вникнуть в описанный алгоритм работы поглубже, то станет понятно, что при малых углах регулирования (до половины полупериода) генератор может выдать (а в схемах, описанных далее — и выдаст) за полупериод несколько импульсов, но это не должно нас смущать — тиристор запустится с первым пришедшим, а остальные просто сработают вхолостую.

Вот сколько тонкостей скрыто в такой, казалось бы, простой схеме!

Оптрон АОД130Б можно заменить на любой другой диодный оптрон, однако учтите, что отечественные оптроны старых моделей имеют очень небольшое пробивное напряжение изоляции (100–200 В). Впрочем, это критично только в том случае, если регулирующая схема (переменный резистор) гальванически соединена с потенциалом, связанным с сетью, — например, закорочена на корпус, который связан с настоящей землей. Поскольку это маловероятно, то в крайнем случае можно не обращать внимания на этот параметр, но все же использовать «нормальные» оптопары как-то спокойнее. Транзисторы КТ815Г и КТ814Г, вообще говоря, можно заменить любыми соответствующими маломощными транзисторами, скажем, КТ315Г/КТ361Г или КТ3102/КТ3107, потому что мощность транзистора тут большой роли не играет. Но с более мощными схема может работать стабильнее из-за того, что у них в открытом состоянии внутренние сопротивления переходов существенно ниже. Конденсатор С1, естественно, неполярный, керамический или с органическим диэлектриком.

Для больших токов нагрузки (превосходящих 1–2 А) тиристор придется поставить на радиатор 15–30 см2. Крупным недостатком этой простой и надежной схемы является наличие моста, через который течет тот же ток, что и через нагрузку. При указанных на схеме диодах, рассчитанных каждый на ток до 3 А, и тиристоре с предельным током 10 А мощность в нагрузке может достигать 1,3 кВт (т. к. через каждый диод ток течет только в течение полупериода, то ток через него и выделяющаяся на нем мощность наполовину меньше, чем на тиристоре). Производители диодов из серии 1N54хх в описании их характеристик хвастаются, что даже при максимальном токе дополнительного теплоотвода для них не требуется. Однако если рассчитывать на максимальную мощность, и, тем более, если устройство предполагается установить в герметичном корпусе, где будет, несомненно, очень жарко, то их все же лучше поменять на такие, которые можно устанавливать на радиатор, например, из серии КД202 с буквами от К до Р (т. к. эти диоды рассчитаны на ток до 5 А, то можно выжать мощность уже 2 кВт). Естественно, можно использовать и готовый мост, скажем, импортный KBL04.

Отладку надо начинать со сборки всей схемы, исключая тиристор с мостом и резистор R7. Регулирующую цепочку R1-R2 на входе оптрона (вместо переменника R1 впаяйте пока постоянный резистор) следует подсоединить к тому источнику питания, который будет использоваться в реальном регуляторе (можно применить любой нестабилизированный источник со встроенной вилкой или только его внутренности, как указано в главе 9). Напряжение источника большого значения не имеет, оно может быть любым в диапазоне от 7 до 20 В. Питание остальной части схемы мы на период отладки обеспечиваем также от источника постоянного тока — можно от того же самого, что питает и регулирующую цепочку.

Затем постоянный резистор, заменяющий R1, перемыкаем накоротко с помощью проволочной перемычки, все включаем и смотрим осциллографом импульсы, которые должны появиться на резисторе R5. Если импульсов нет, это означает одно из двух: либо что-то неправильно собрано, либо вы их просто не видите, т. к. они достаточно короткие. Посмотрите тогда форму напряжения на конденсаторе С1 — там вы точно должны все поймать. Если конденсатор заряжается и разряжается как надо, попробуйте опять поймать импульсы, меняя длительность развертки и используя синхронизацию. После того как вы их поймаете, определите по сетке осциллографа и установкам времени развертки длительность промежутка между ними. Изменяя номинал резистора R2, это время нужно установить в пределах одной-полутора миллисекунд, меньше не надо — ранее мы уже узнали, что при малых фазовых сдвигах регулирования все равно никакого не будет (30° сдвига и соответствует примерно 1,5 мс для частоты 50 Гц). После этого снимаем перемычку с R1. При этом промежуток должен оставаться в пределах 10–11 мс. Если это не так, подберите величину резистора R1. Затем на его место следует впаять переменный резистор точно такого же номинала.

Наконец, отключаем осциллограф, подключаем резистор R6 и мост с тиристором, а в качестве нагрузки подсоединяем обычную бытовую лампочку накаливания. Насчет мер предосторожности при работе с сетевым напряжением вам уже все, надеюсь, известно (если нет — перечитайте соответствующий фрагмент из главы 2). Не забудьте убедиться, что на макете не валяются обрезки выводов компонентов, которые могут замкнуть сетевое питание и устроить тем самым маленький атомный взрыв. Сначала включаете питание регулирующей цепочки, потом — сеть. При вращении движка резистора R3 яркость лампы должна плавно меняться от максимума до полной темноты. В последнем случае волосок не должен светиться совсем, даже темно-красным свечением. Чтобы убедиться в том, что регулирование происходит именно до максимума, надо просто временно перемкнуть тиристор (Осторожно! Перемычку надо устанавливать только при выключенном сетевом питании) — это и будет номинальная яркость лампы. Если диапазон регулировки недостаточен или, наоборот, в начале или конце наблюдается значительный холостой ход — подберите резисторы R1-R2 поточнее.

На рис. 10.4 изображен улучшенный вариант только что рассмотренной схемы, который не требует мощного моста (управляющая оптроном цепочка не показана, она идентична предыдущему случаю) и обеспечивает через нагрузку не пульсирующее, а переменное напряжение (как на осциллограмме рис. 10.2 внизу).

Рис. 10.4. Вариант регулятора с двумя встречно-параллельными тиристорами

Для того чтобы получить напряжение в нагрузке в оба полупериода, используются два тиристора VD1 и VDT, включенные встречно-параллельно. Управление ими осуществляется через импульсный трансформатор Т1, который представляет собой ферритовое кольцо марки 1000НН-2000НН диаметром от 10 до 20 мм. Обмотки намотаны проводом МГТФ-0,35. Первичная обмотка (I) содержит 20–30 витков, вторичные (II и III) наматываются вместе и содержат от 30 до 50 витков каждая. Обратите внимание на противоположную полярность включения вторичных обмоток — если она иная, то включение нагрузки будет только в один из полупериодов. Через маломощный мост КЦ407 питается схема генератора, работа которой не отличается от описанной ранее. Резистор R7 можно поставить и до моста в цепь переменного напряжения, тогда требования к предельно допустимому напряжению диодов моста снижаются.

Еще один вариант схемы, который позволяет вместо двух тиристоров использовать симистор (триак), показан на рис. 10.5.

Рис. 10.5. Вариант регулятора с симистором вместо тиристора

Отличается этот вариант тем, что генератор работает в обеих полярностях сетевого напряжения — в положительном полупериоде работает аналог однопереходного транзистора с «-базой на транзисторах VT1 и VT2, как и ранее, а аналог однопереходного транзистора противоположной полярности (с n-базой) на транзисторах VT3 и VT4 делает все то же самое, но в отрицательном полупериоде напряжения. Таким образом управление симистором обеспечивается в обоих полупериодах. Это остроумное решение заимствовано с сайта http://electrostar.narod.ru/.

Однако, чтобы обеспечить здесь плавную регулировку, диодный оптрон не годится, т. к. он может работать только в определенной полярности, и приходится использовать резисторный оптрон АОР124Б. Его можно заменить любым другим резисторным оптроном (их не так-то и много разновидностей) или даже изготовить самостоятельно из светодиода и фотосопротивления (последних как раз в продаже предостаточно). Для этого достаточно закрепить светодиод эпоксидной смолой в стоячем положении на фотосопротивлении так, чтобы он смотрел прямо «в лицо» последнему, а потом плотно закрасить оставшуюся часть окна фоторезистора густой темной краской или залепить черной липкой лентой. Единственный, но существенный недостаток этой схемы по сравнению с предыдущими вариантами — резисторный оптрон может вести себя не слишком стабильно, особенно при изменениях температуры. Поэтому такая схема, в силу своей простоты, может быть рекомендована для использования в схемах регулирования мощности с обратной связью, которая устраняет последствия нестабильности регулятора, — например, в схемах термостатов (см. главу 12).

Устройство плавного включения ламп накаливания

Лампы накаливания практически всегда перегорают при включении. Это происходит потому, что сопротивление вольфрамового волоска, как и любого металла, зависит от температуры — с повышением температуры оно повышается, причем из-за огромного перепада температур (порядка 2000 градусов) сопротивление холодной лампы может быть в десятки раз ниже, чем горящей. Например, у лампы 100 Вт, 220 В рабочее сопротивление должно быть почти 500 Ом, однако измерение с помощью мультиметра у выкрученной из цоколя лампы покажет величину меньше 40 Ом. Большой начальный ток и приводит в выходу лампы из строя. Целесообразно при включении постепенно (в течение 0,5–1 с) повышать напряжение — это может продлить срок службы лампы в несколько раз.

Такое устройство — триммер — легко соорудить из схемы ручного регулятора в любом из ее вариантов путем небольшой переделки узла управления. Поскольку это устройство не будет содержать органов ручного управления, то его можно питать целиком прямо от сети без оговорок. Оптрон, тем не менее, мы сохраним — как удобное устройство управления. Переделки сведутся к тому, что мы заменим цепочку R1-R2 узлом, показанным на рис. 10.6.

Рис. 10.6. Переделка узла управления для устройства плавного включения ламп накаливания

Здесь конденсатор С2 (нумерация компонентов сохранена в соответствии с рис. 10.3) после включения питания заряжается через резистор R1 с постоянной времени RC. Так как изначально конденсатор разряжен, то тока через светодиод оптрона не будет, и генератор не работает — темновое сопротивление фоторезистора слишком велико. По мере заряда конденсатора напряжение на выходе эмиттерного повторителя будет возрастать, ток через оптрон будет увеличиваться, и в течение примерно 1 с он возрастет настолько, что фаза управляющих импульсов сдвинется к самому началу полупериода, и яркость горения лампы станет максимальной. После выключения питания С2 разрядится через цепочку переход база-эмиттер-R2-светодиод оптрона, и схема придет в начальное состояние. Питание управляющего узла должно быть положительным, поэтому мы его питаем через диод VD2.

Удобством в этой схеме является то, что особо тонкой настройки она не требует, Соберите ее при указанных номиналах и сразу включите в сеть. Если яркость растет слишком быстро или, наоборот, медленно — подберите резистор R1. Если же она вообще не достигает максимальной, уменьшите значение резистора R2.

Подобных схем триммеров очень много в радиолюбительской литературе и в Сети (см., например, сайт Shema.ru), имеются и более компактные конструкции, в том числе такие, которые представляют собой двухполюсник и могут подключаться в разрыв цепи нагрузки. Естественно, схемы подобных регуляторов выпускают и в интегральном исполнении.

* * *

Заметки на полях

Набирающие популярность энергосберегающие лампы (как обычные люминесцентные, так и светодиодные) таким способом регулировать, конечно, нельзя. Тиристорные триммеры в цепи этих ламп попросту откажутся работать и могут даже вывести лампу из строя. Хотя и есть специальные системы включения таких ламп, совместимые с триммерными регуляторами, но, в общем случае, учитывая, что лампы эти питаются фактически постоянным напряжением, то и регулируются они совсем другим способом — с помощью изменения времени включенного состояния (скважности высокочастотных питающих импульсов). Городить для них самодеятельные регулирующие конструкции не имеет смысла — они все равно окажутся крупнее, дороже и хуже тех, что доступны в продаже.

Помехи

В заключение главы о мощной нагрузке нужно прояснить еще один момент, связанный с помехами. В начале главы я долго распинался по поводу того, что резко выключать мощную нагрузку в сети нельзя, и что оптоэлектронные реле даже имеют специальные средства для отслеживания момента перехода через ноль. Между тем, все рассмотренные схемы с фазовым управлением именно это и делают. Потому, если вы включите такой регулятор напрямую в сеть, то помех не избежать — как электрических по проводам сети, так и электромагнитных, распространяющихся в пространстве, и чем мощнее нагрузка, тем больше эти помехи. Особенно чувствительны к этому делу АМ-приемники — мощный регулятор может давить передачи ВВС не хуже советских глушилок. Для того чтобы свести помехи к минимуму, необходимо, во-первых, заземлить корпус прибора, а во-вторых, на входе питания устройства вместе с нагрузкой поставить LC-фильтр. Это относится и к регуляторам в интегральном исполнении.

* * *

Заметки на полях

Внимательный читатель, несомненно, давно уже задает вопрос: если тиристор при отсутствии тока через него выключается, то как можно запустить тиристорную схему в момент перехода напряжения через ноль? Отвечаю: естественно, никак. Поэтому схема zero-коррекции на самом деле запускает мощный тиристор не точно в момент равенства анодного напряжения нулю, а тогда, когда ток через него уже достигает некоторой небольшой, но конечной величины. Практически это обеспечить несложно — надо дождаться момента очередного перехода через ноль и сразу запустить генератор открывающих импульсов на достаточно высокой частоте. Тиристор «сам выберет» из последовательности импульсов тот, при котором «уже можно открываться».

* * *

Для заземления корпус, естественно, должен быть металлический или металлизированный изнутри. В выигрышном положении окажутся те, кто будет изготавливать корпуса самостоятельно из стеклотекстолита, по технологии, изложенной в главе 5, — у них уже есть прекрасный экран из медной фольги, достаточно только припаять провод заземления в любом удобном месте на внутренней стороне корпуса и присоединить его к желто-зелененькому третьему проводу в сетевой вилке.

Если же корпус пластмассовый, то его нужно изнутри оклеить алюминиевой фольгой потолще (предназначенная для применения в микроволновых печах, конечно, не подойдет). Надежно обеспечить контакт вывода заземления с таким экраном можно, приклеив зачищенный на несколько сантиметров провод широким скотчем или соорудив прижимной контакт из упругой бронзы (например, из контакта старого мощного реле).

На рис. 10.7 приведены два варианта построения развязывающего LC-фильтра. Второй вариант (на рисунке внизу) более «продвинутый». Для изготовления дросселя (так называют индуктивности, если они служат для фильтрации высоких частот в шинах питания и в некоторых других случаях) нужно взять ферритовое кольцо марки 600-1000HH диаметром 20–30 мм и намотать на него виток к витку провод МГШВ сечением около 1 мм2 — сколько уместится. Во втором варианте фильтра дроссели L1 и L2 можно объединить, намотав их на одном кольце, — причем если помехи будут подавляться плохо, то надо поменять местами начало и конец одной из обмоток. Можно использовать и готовые дроссели подходящей мощности.

Рис. 10.7. Схемы фильтров сетевого питания для подавления помех

Если нагрузка совсем маломощная (до 20 Вт), то дроссели можно в крайнем случае заменить резисторами в 10–15 Ом мощностью не менее 2 Вт. Конденсаторы — любые неполярные на напряжение не менее 400 В, среднюю точку их во втором варианте нужно подсоединить к настоящему заземлению (т. е. к уже заземленному корпусу). Если таковое отсутствует, то все равно надо присоединить эту точку к корпусу прибора, но без настоящего заземления работа фильтра заметно ухудшится — фактически он превратится в несколько улучшенный первый вариант.

Более 800 000 книг и аудиокниг! 📚

Получи 2 месяца Литрес Подписки в подарок и наслаждайся неограниченным чтением

ПОЛУЧИТЬ ПОДАРОК