Беседа четвертая ЕМКОСТЬ И ЕМКОСТНОЕ СОПРОТИВЛЕНИЕ

Двое наших друзей знакомятся с любопытным поведением конденсаторов, включенных в цепь постоянного или переменного тока. Они рассматривают устройство конденсаторов постоянной и переменной емкости, выводят формулу емкостного сопротивления конденсатора, включенного в цепь переменного тока, в зависимости от его емкости и частоты тока.

Заряд конденсатора

Любознайкин. — Прошлый раз мы говорили с тобой о магнетизме. А мой дядюшка Радиоль рассказал тебе о различных свойствах и применении магнетизма. Теперь мы вернемся к изучению электрических полей.

Незнайкин. — Я думаю, что благодаря аналогии, существующей между электричеством и магнетизмом, изучить эту тему будет легче. В этих двух областях физики действует один и тот же закон притяжения разноименных зарядов и отталкивания одноименных. А силы, действующие в обоих этих случаях, обратно пропорциональны квадрату расстояния.

Л. — Твоя изумительная память облегчит мой рассказ о емкости. Так называют способность конденсатора накапливать больший или меньший заряд положительного или отрицательного электричества. Ты, разумеется, понимаешь, что этот заряд в основном зависит от размеров этого конденсатора (рис. 22).

Рис. 22. Емкость проводника, позволяющая ему накапливать электрические заряды.

Н. — А какой единицей пользуются для измерения емкости?

Л. — Единица измерения емкости называется фарадой. Однако фарада — это очень большая емкость. Поэтому на практике обычно пользуются долями этой единицы, чаще всего миллионной долей, именуемой микрофарадой, миллионными долями микрофарады — пикофарадами. Фарада обозначается буквой Ф, а ее названные доли соответственно мкФ и пФ.

Н. — Какой емкостью в этих условиях обладает сферический проводник размером с яблоко?

Л. — Совершенно ничтожной. Вообрази себе сферический проводник размерами с земной шар — его емкость была бы всего лишь 700 мкФ (рис. 23).

Рис. 23. Собственная емкость сферического проводника размером с земной шар составляет 700 мкФ.

Рождение конденсатора

Н. — Я констатирую для себя, что емкость нечто столь ничтожное, что она не должна играть важной роли в электронике.

Л. — Мой друг, ты ошибаешься, так как существует вполне доступный способ увеличить емкость или, чтобы быть более точным, сконденсировать ее.

Н. — Я не вижу, как достичь этой цели без увеличения размеров проводника.

Л. — Очень просто, достаточно приблизить к нему, но без касания, другой проводник с зарядом противоположной полярности. Что происходит в этом случае? Противоположные заряды испытывают взаимное притяжение, в результате чего величина заряда возрастает.

Н. — Совсем неглупо! Но как поступают на практике для достижения этой цели?

Л. — Два проводника, расположенные близко друг к другу, образуют устройство, известное под названием конденсатора, каждый из проводников называется обкладкой. Представь себе, например, две квадратные медные пластины, расположенные одна параллельно другой на небольшом расстоянии. А теперь подключим каждую из этих обкладок к полюсам батарей. Что же здесь произойдет?

Н. — Я думаю, электроны с отрицательного полюса устремятся к подключенной к нему обкладке и зарядят ее отрицательно (рис. 24).

Рис. 24. При подключении конденсатора к гальваническому элементу соединенная с отрицательным полюсом обкладка заряжается электронами, а другая лишается электронов.

И этот заряд оттолкнет электроны с расположенной напротив обкладки и направит их в сторону положительного полюса батареи, который их как раз и притянет. Любопытное явление! Протекает настоящий ток, как если бы между полюсами батареи был включен проводник, а ведь на самом-то деле конденсатор изолирует один проводник от другого.

Заряд и разряд

Л. — Зарядный ток, который ты так хорошо описал, останавливается, как только конденсатор зарядится. Вначале этот ток имеет большую величину. Но по мере нарастания заряда движение электронов затрудняется, так как обосновавшиеся на отрицательной обкладке электроны отталкивают те, которые хотят туда проникнуть. А электронов, покидающих положительную обкладку, становится все меньше.

Н. — А что произойдет, если после того, как конденсатор полностью зарядится, мы отключим батарею?

Л. — Очень просто, заряд останется на обкладках. При желании ты можешь разрядить конденсатор, подключив к его обкладкам резистор или простой проводник (рис. 25). Тогда избыточные электроны с одной из обкладок перейдут на другую; это движение электронов будет продолжаться до тех пор, пока не установится равновесие.

Рис. 25. Конденсатор, разряжающийся через резистор.

Н. — У меня возникает вопрос, нельзя ли сравнить конденсатор с двумя резервуарами, разделенными эластичной резиновой мембраной? Если насос повышает давление воздуха в одном из резервуаров и снижает в другом, то это соответствует заряду конденсатора. Насос останавливается, когда разница давлений достигает некоторого предела, который зависит от размера резервуаров и эластичности мембраны. Теперь наш конденсатор заряжен. Насколько обоснованно такое мое сравнение?

Л. — В основных чертах оно правильное. Но имеется одно различие. В каждом из твоих резервуаров давление во всех точках одинаковое. А на обкладках конденсатора заряды расположены неравномерно. На той стороне обкладки, которая смотрит на другую обкладку, самая высокая плотность электронов, а на противоположной стороне — самая низкая (рис. 26). Ведь в электричестве учитывается не только «давление», создаваемое источником напряжения, но и притяжение зарядов противоположной полярности. Тогда как в твоих резервуарах играет роль только одна сила — давление, создаваемое насосом.

Рис. 26. Распределение зарядов на обкладках конденсатора.

Величина емкости

Н. — А что же определяет емкость конденсатора? Это уже не изолированный проводник, обладающий очень малой емкостью. Здесь притяжение между обкладками, несомненно, обеспечивает значительный прирост зарядов, которые эти обкладки способны удержать.

Л. — Справедливо. Теперь тебе легче понять, что емкость тем больше, чем обширней поверхность обкладок, расположенных одна против другой. Учитывая эффект притяжения, ты также поймешь, что чем ближе сведены обкладки, тем больше емкость конденсатора.

Н. — Так, значит, емкость пропорциональна площади обкладок, расположенных одна напротив другой, и обратно пропорциональна расстоянию между ними. Здесь мы еще раз видим чисто геометрическое отношение.

Л. — Не совсем так, Незнайкин. Имеется еще третий участвующий в игре фактор. И твое сравнение с резервуарами поможет легко его понять. В примере с резервуарами наряду с объемом резервуаров и толщиной мембраны имела значение и эластичность материала, из которого она сделана.

В конденсаторах на емкость влияет такой фактор, как материал диэлектрика, разделяющего обкладки. Если в качестве диэлектрика используется воздух, то его диэлектрическая постоянная, т. е. фактор, учитываемый при расчетах, равна 1. Но если пространство между обкладками заполнено не воздухом, а слюдой, емкость увеличивается в 8 раз, так как диэлектрическая постоянная слюды равна 8.

Н. — А какова роль толщины обкладок? В какой мере она влияет на емкость?

Л. — Толщина не оказывает никакого влияния, ибо заряды накапливаются на наиболее сближенных слоях обкладок. Впрочем, вот формула, позволяющая вычислить емкость:

где С — емкость, Ф; εв — абсолютная диэлектрическая проницаемость изоляции, равная произведению относительной диэлектрической проницаемости ε на электрическую постоянную, ε = 8,855·10-12 Ф/м; S — площадь поверхности пластин, м2; d — расстояние между пластинами, м.

Н. — Глядя на эту формулу, я убедился, что емкость конденсатора можно без труда увеличивать сколько пожелаешь. Для этого достаточно сблизить его обкладки. По мере уменьшения d возрастает емкость С. При бесконечно малом d емкость становится бесконечно большой.

Л. — Да, но эти «бесконечно» невозможны.

Н. — Почему? Разве с точки зрения математики мои рассуждения ошибочны?

Л. — Математически все верно. Но вернемся к нашему сравнению с резервуарами: если ты станешь снижать толщину мембраны, то наступит момент, когда под давлением нагнетаемого насосом воздуха она разорвется. А в конденсаторе, если ты сведешь слишком близко его обкладки, между ними станут проскакивать искры. Взаимное притяжение отрицательного и положительного зарядов позволит электронам пересекать разделяющее обкладки пространство, заполненное воздухом или любым другим диэлектриком.

Н. — Значит, расстояние между обкладками можно уменьшать лишь до некоторого предельного значения. И я предполагаю, что эта величина зависит как от материала диэлектрика, так и от прилагаемого к обкладкам напряжения. Чем выше напряжение, тем больше вероятность пробоя (рис. 27). И я не сомневаюсь, что существуют диэлектрики, которые в разной степени препятствуют возникновению пробоя.

Рис. 27. При слишком высоком напряжении или близком расположении обкладок конденсатора между последними могут проскакивать искры.

Конденсаторы постоянной, переменной емкости и подстроенные

Л. — Рассмотренные выше конденсаторы называют конденсаторами постоянной емкости. В конденсаторах же переменной емкости изменяется площадь или по крайней мере часть площади каждой обкладки, находящейся напротив другой.

Н. — Я предполагаю, что для этой цели сдвигают в сторону одну из обкладок.

Л. — Да. Обычно конденсатор переменной емкости состоит из набора неподвижно закрепленных обкладок, расположенных параллельно друг другу и соединенных между собой, и набора подвижных обкладок, расположенных между неподвижными и, само собой разумеется, тоже соединенных между собой. В широко распространенной конструкции конденсатора переменной емкости форма обкладок приближается к полукругу.

Подвижные обкладки укреплены на оси, которая соединяет их и позволяет поворачивать, в большей или меньшей степени выводя из блока неподвижных обкладок. Ручка, служащая для поворачивания оси, может быть отградуирована в величинах емкости или в величинах того показателя, который изменяется в результате изменения емкости: частоты или длины волны (рис. 28).

Рис. 28. Ручка управления конденсатора переменной емкости, отградуированная в единицах измерения емкости, частоты или длины волны.

Подробнее это я объясню тебе позднее.

Кроме этих существуют подстроенные конденсаторы, емкость которых можно в известных пределах изменять, сближая их обкладки. Для этой цели одна из обкладок делается эластичной и приближается к другой под давлением винта, служащего для осуществления такой регулировки. Твердый диэлектрик, помещенный между обкладками, позволяет ограничить их сближение.

Существуют подстроечные конденсаторы, в которых, как и в конденсаторах переменной емкости, ограниченно изменяют площадь пластин.

Прохождение переменного тока

Н. — При рассмотрении поведения конденсатора, подключенного к батарее, одно обстоятельство меня серьезно беспокоит — отсутствие тока. После заряда или разряда конденсатора его электрические заряды пребывают в неподвижности. Для меня, испытывающего такую любовь к движению…

Л. — Ты сейчас же получишь его в достаточной мере. Вместо того, чтобы подключать конденсатор к источнику постоянного напряжения, соедини обкладки конденсатора с источником переменного напряжения. Что тогда произойдет?

Н. — Дай мне подумать. Начнем с полупериода, когда одна обкладка заряжена положительно, а другая — отрицательно. При переходе к следующему полупериоду конденсатор разрядится, а затем вновь зарядится, но с противоположной полярностью (рис. 29). И так далее. В каждый полупериод будет происходить заряд, а затем разряд.

Рис. 29. Движение электронов в цепи, соединяющей конденсатор с источником переменного напряжения. На рисунке показаны четыре последовательных полупериода.

Л. — Следовательно, по проводникам от источника переменного напряжения до обкладок происходит движение электронов. И это движение каждый полупериод меняет свое направление. Иначе говоря, мы наблюдаем…

Н. — …настоящий переменный ток. Потрясающе! Ток протекает по цепи, в которой имеется разрыв, — ведь между обкладками конденсатора нет контакта.

Л. — Да, дорогой Незнайкин. Говорят, что конденсатор «пропускает» переменный ток. Электроны, конечно, не проходят через конденсатор, но его емкость позволяет электронам циркулировать во внешней цепи, многократно совершая короткие рывки вперед и назад в момент заряда и разряда конденсатора.

Н. — Согласен, но мне было бы легче постичь это, вернувшись к сравнению с моими двумя резервуарами, наполненными воздухом и разделенными эластичной мембраной. Если теперь подключить эти резервуары не к насосу, а к цилиндру, в котором поршень совершает движения туда и обратно, то пришедший в переменное движение воздух будет поочередно наполнять то правый резервуар, то левый.

Емкостное сопротивление конденсатора

Л. — Превосходное сравнение. Оно позволит нам продолжить изучение конденсатора. От чего, по твоему мнению, зависит интенсивность создаваемого таким образом переменного воздушного потока?

Н. — Количество воздуха, проходящее в каждый полупериод по трубам, зависит от емкости, т. е. от объема резервуаров и от создаваемого поршнем давления. И кроме того, чем чаще поршень будет совершать поступательно-возвратные движения, тем больше воздуха пройдет через сечение труб за единицу времени.

Л. — Эти же явления имеют место и в электричестве. Чем больше емкость конденсатора, тем большее количество электронов при каждом полупериоде заряжает обкладки, а затем при разряде уходит с них. И, кроме того, чем большее количество этих полупериодов чередуется в каждую секунду, иначе говоря, чем выше частота, тем большее количество электронов проходит по цепи за одну секунду.

Как ты видишь, здесь сила тока пропорциональна емкости конденсатора и частоте источника тока.

Н. — Я отмечаю для себя, что конденсатор для тока такое же препятствие, как резистор или катушка (рис. 30).

Рис. 30. Три тела препятствий для прохождения электрического тока: активное R, индуктивное XL и емкостное XC сопротивления.

Но любопытно, что сопротивление резистора не зависит от частоты, тогда как индуктивное сопротивление катушки пропорционально частоте и увеличивается при ее повышении, а сопротивление, которое конденсатор оказывает прохождению переменного тока, убывает по мере повышения частоты.

И еще по одному свойству емкостное сопротивление прямо противоположно индуктивному: чем больше индуктивность, тем труднее току пройти, тогда как чем больше емкость конденсатора, тем легче пропускает он ток.

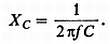
Л. — Тебе пришла удачная мысль сравнить индуктивное сопротивление с емкостным сопротивлением; этим термином называют сопротивление, которое конденсатор оказывает прохождению переменного тока. Емкостное сопротивление, стало быть, обратно пропорционально емкости С и частоте f. Оно рассчитывается по следующей формуле:

Н. — Совсем неглупо! Так, если мы попытаемся пропустить постоянный ток, частота которого равна нулю, емкостное сопротивление окажется равным бесконечности. И это полностью соответствует действительности, так как постоянный ток через конденсатор не проходит.

Более 800 000 книг и аудиокниг! 📚

Получи 2 месяца Литрес Подписки в подарок и наслаждайся неограниченным чтением

ПОЛУЧИТЬ ПОДАРОК