Комментарий профессора Радиоля СОЕДИНЕНИЕ КОМПОНЕНТОВ

Всякая электрическая цепь характеризуется активным сопротивлением, индуктивностью и емкостью. Компоненты, обладающие этими свойствами, могут соединяться между собой различными способами. В зависимости от способа соединения рассматриваются значения активных и реактивных сопротивлений. В заключение описывается явление резонанса, играющее в радиотехнике важнейшую роль.

Мои дорогие друзья, вы познакомились с пассивными компонентами. Так называют резисторы, катушки индуктивности и конденсаторы в отличие от активных компонентов: электронных ламп и транзисторов, изучением которых вы вскоре займетесь.

Сосуществование R, L и С

Все, что ты, Любознайкин, объяснил своему другу, совершенно правильно. Однако я должен добавить, что в действительности любой из компонентов обладает не только свойством, определяющим его название. Так, даже простой проводник из прямого отрезка провода одновременно обладает сопротивлением, индуктивностью и емкостью. В самом деле, какой хорошей ни была бы его проводимость, он все же обладает некоторым активным сопротивлением.

Вы помните, что, проходя по проводнику, электрический ток создает вокруг него магнитное поле. И если протекающий ток переменный, то и это поле переменное; оно наводит в проводнике токи, противодействующие основному току, протекающему по проводнику. Стало быть, здесь мы наблюдаем явление самоиндукции.

И, наконец, как и любой проводник, наш отрезок провода способен удерживать некоторый электрический заряд — как отрицательный, так и положительный. А это значит, что он обладает также и некоторой емкостью.

Все, что характерно для простого прямого отрезка провода, присуще, разумеется, и катушке: кроме своего основного свойства индуктивности, она обладает также некоторым активным сопротивлением и некоторой емкостью. Конденсатор, в свою очередь, помимо характеризующей его емкости имеет некоторое, обычно очень малое, активное сопротивление. В самом деле, проходя по обкладкам конденсатора, электрические заряды пересекают некоторую массу обкладок, обладающую небольшим активным сопротивлением. И эти небольшие перемещения зарядов порождают также индукцию.

Таким образом, вы видите, что ни одна из этих трех характеристик, обозначаемых буквами R, L и С, не может существовать отдельно без наличия двух других. Тем не менее мы не будем учитывать эти побочные явления, так как они неизмеримо меньше основного свойства компонента.

Последовательное соединение

Нам необходимо изучить соединение однородных и разнородных компонентов. Мы проанализируем, какая величина получается в результате и какое сопротивление прохождению тока оказывают соединенные между собой компоненты.

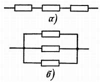
Компоненты могут соединяться последовательно или параллельно (рис. 31).

Рис. 31. Последовательное (а) и параллельное (б) соединения компонентов.

Последовательным соединением называется такое, когда конец одного компонента соединен с началом другого и т. д. В этом случае ток поочередно проходит по всем образующим цепочку компонентам. При параллельном соединении между собой соединены одноименные выводы. Здесь ток, разветвляясь, одновременно проходит по всем соединенным таким образом компонентам.

Вы легко поймете, что соединенные последовательно сопротивления складываются. Возьмем резисторы сопротивлением 100, 500 и 1000 Ом. Соединим их последовательно; полученная цепочка будет иметь сопротивление

R = 100 + 500 + 1000 = 1600 Ом.

Возьмем теперь катушки индуктивности и соединим их последовательно. При условии, что между ними нет взаимной индукции, их индуктивности должны складываться.

Возьмем катушки, обладающие индуктивностью соответственно 0,5 и 1,25 Г, и соединим их последовательно, разместив их достаточно далеко друг от друга, чтобы избежать взаимного влияния. Индуктивность цепи составит:

L = 0,5 + 1,25 = 1,75 Г.

Все это кажется очень простым. А будет ли так же просто при последовательном соединении конденсаторов?

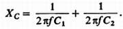
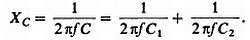
Мы сказали, что при таком соединении сопротивления компонентов складываются. А у конденсаторов складываются емкостные сопротивления. Рассмотрим случай с двумя конденсаторами, имеющими емкости соответственно С1 и С2, по которым протекает ток с частотой f (рис. 32).

Рис. 32. Последовательное соединение конденсаторов. Суммарная емкость меньше емкости каждого из них.

Емкостные сопротивления этих конденсаторов складываются и составляют общее емкостное сопротивление:

Рассматривая емкостное сопротивление всей цепочки как соответствующее емкости С, мы можем записать:

Умножив все члены этого равенства на 2πf, получим

Проведенные преобразования позволяют нам сделать вывод, что при последовательном соединении конденсаторов нужно сложить обратные величины их емкостей, чтобы получить обратную величину емкости всей цепочки.

В рассмотренном нами случае, т. е. случае последовательного соединения двух конденсаторов, из последней формулы мы без большого математического усилия можем вывести формулу для расчета емкости всей цепочки:

Параллельное соединение

Перейдем теперь к изучению компонентов, соединенных параллельно. Этот способ включения облегчает прохождение тока. В самом деле, здесь складывают проводимости компонентов. Так называют величину, обратную сопротивлению.

Рассмотрим случай параллельного соединения активных сопротивлений (рис. 33).

Рис. 33. При параллельном соединении резисторов общее сопротивление уменьшается.

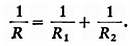
Их проводимости 1/R складываются. При параллельном соединении двух резисторов R1 и R2 проводимость всей цепочки 1/R равна сумме проводимостей соединенных резисторов:

Как вы видите, здесь наблюдается аналогия с последовательным соединением конденсаторов, и вы без труда можете рассчитать общее сопротивление цепи R двух параллельно соединенных резисторов:

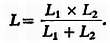
Теперь, если мои рассуждения вам еще не наскучили, рассмотрим случай параллельного соединения двух катушек, между которыми нет взаимной индукции (рис. 34).

Рис. 34. Параллельное соединение катушек индуктивности.

Индуктивные сопротивления катушек пропорциональны их индуктивности. Следовательно, они будут вести себя аналогично активным сопротивлениям.

Итак, мы не ошибемся, если скажем, что две соединенные параллельно катушки L1 и L2 обладают общей индуктивностью, которая рассчитывается по формуле

И, наконец, рассмотрим случай двух соединенных параллельно конденсаторов (рис. 35).

Рис. 35. Параллельное соединение конденсаторов.

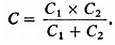
Здесь нужно складывать проводимости, которые представляют собой величины, обратные емкостным сопротивлениям. Но сами емкостные сопротивления, как вы помните, обратно пропорциональны емкостям. Это означает, что проводимости конденсаторов прямо пропорциональны их емкостям.

Следовательно, будучи соединенными параллельно, емкости складываются:

С = C1 + C2.

Впрочем, анализируя физические явления, происходящие при заряде конденсаторов, вы легко пришли бы к этому выводу.

Постарайся запомнить, дорогой Незнайкин, что при последовательном соединении компонентов складываются их сопротивления, а при параллельном соединении складываются проводимости, т. е. величины, обратные сопротивлению.

Комбинированное соединение

Все только что сказанное мною применимо лишь к схемам, состоящим из однородных компонентов. Но положение значительно усложнится, если мы соединим вместе активные сопротивления, катушки индуктивности и конденсаторы.

Здесь мне следовало бы использовать термин полное сопротивление, который, как показывает само слово «полное», означает комплексное сопротивление, состоящее из активного и реактивного сопротивления. В отличие от активного сопротивления, присущего тому или иному материалу проводника, индуктивное и емкостное сопротивления называют реактивными сопротивлениями.

Полное сопротивление обозначается буквой Z, а его обратная величина 1/Z и называется полной проводимостью.

Я не хочу утомлять вас рассмотрением всех возможных комбинаций. Мы ограничимся только теми, которые встречаются во всех электронных устройствах (табл. 2).

Рассмотрим для начала последовательное соединение катушки индуктивности с конденсатором (рис. 36).

Рис. 36. Последовательно соединенные катушка и конденсатор. Полное сопротивление цепи равно разности индуктивного и емкостного сопротивлений.

Их реактивные сопротивления складываются, но это не дает нам основания написать формулу со знаком плюс. В самом деле, индуктивное и емкостное сопротивления имеют как бы противоположные свойства.

Индуктивность, как вы знаете, задерживает появление тока при подключении к ней переменного напряжения. Это называется сдвигом по фазе, и ток в данном случае отстает от напряжения.

Обратное явление происходит в конденсаторе, где ток опережает напряжение по фазе. Ведь по мере нарастания заряда конденсатора напряжение на его обкладках увеличивается, но с приближением к насыщению величина тока убывает. Поэтому вас не удивит, что, складывая индуктивное сопротивление с емкостным, я перед последним поставлю знак минус:

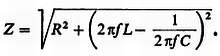
Активное сопротивление в данном случае очень мало, и поэтому в приведенной выше формуле оно не учитывается. Но если величина R активного сопротивления значительна, то наша формула приобретает более сложный вид:

Как вы видите, нужно извлечь квадратный корень из суммы квадратов активного и реактивного сопротивлений, чтобы получить полное сопротивление.

Это ничего тебе не напоминает, Незнайкин, из области геометрии? Не таким ли образом рассчитывают длину гипотенузы (рис. 37), извлекая квадратный корень из суммы квадратов катетов?

Рис. 37. Соотношение между гипотенузой и катетами прямоугольного треугольника.

Явление резонанса

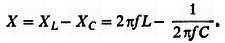
Вернемся к нашей схеме. Предположим, что мы будем изменять частоту f приложенного напряжения. По мере увеличения частоты индуктивное сопротивление 2πfL, которое ей пропорционально, тоже увеличивается. Что же касается емкостного сопротивления 1/2πfC, оно обратно пропорционально частоте и, следовательно, снижается. Стало быть, на очень низких частотах индуктивное сопротивление чрезвычайно мало, а емкостное сопротивление, напротив, очень высокое. Следовательно, реактивное сопротивление цепи, представляющее собой разность этих сопротивлений, высокое. Но по мере повышения частоты наступает момент, когда достаточно выросшее индуктивное сопротивление становится равным емкостному, которое соответственно уменьшилось. Их разность становится равной нулю. Тогда в формуле полного сопротивления под радикалом остается лишь R2; это означает, что в этот момент полное сопротивление равно активному сопротивлению R.

Активное сопротивление может быть очень низким. В том случае, когда частота достигнет такого значения, при котором индуктивное и емкостное сопротивления сравняются, полное сопротивление цепи станет почти равным нулю. Тогда говорят, что наступает явление резонанса. Ток, протекающий по цепи, достигнет наибольшего значения. При этом между током и создающим его напряжением нет сдвига по фазе. Все происходит так, если бы цепь обладала только очень низким активным сопротивлением.

Само собой разумеется, что при дальнейшем повышении частоты приложенного напряжения вновь появится реактивное сопротивление, потому что индуктивное сопротивление станет больше емкостного. Если раньше ток опережал по фазе напряжение, то теперь он отстанет от напряжения по фазе, так как теперь преобладает индуктивное сопротивление (рис. 38).

Рис. 38. Ток в катушке индуктивности отстает по фазе от напряжения (а), а в цепи конденсатора опережает его (б).

Могу ли я предложить вам еще один расчет, не выходящий за пределы элементарной математики? Весьма важно определить значение резонансной частоты, при которой реактивное сопротивление становится равным нулю, а это, вы знаете, наступает, когда индуктивное сопротивление становится равным емкостному. Запишем это условие, выразив индуктивное и емкостное сопротивления уже знакомыми вам формулами:

Разделив оба члена последнего равенства на 2πL и умножив их на f, получаем:

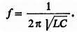
Извлечем квадратный корень из обоих членов этого равенства и получим следующее выражение:

Таково значение частоты резонанса. Это основная формула в области радиоэлектроники.

Можно также определить период T который представляет собой величину, обратную частоте (T= 1/f). Вы знаете, что T — длительность каждой пары полупериодов переменного напряжения. Следовательно, период резонанса равен:

Теперь, когда мы рассмотрели явление резонанса в цепи, состоящей из последовательно соединенных катушки и конденсатора, я предоставляю тебе, мой дорогой племянник, возможность объяснить Незнайкину, что такое колебательный контур, его избирательность, как поддержать в нем колебания и т. д.

Не падай духом!

Более 800 000 книг и аудиокниг! 📚

Получи 2 месяца Литрес Подписки в подарок и наслаждайся неограниченным чтением

ПОЛУЧИТЬ ПОДАРОК