Аналитический метод
Второй из двух известных нам способов организации материала таков. В центре большого листа плотной бумаги карандашом рисуем круг и пишем в нем название диссертации, например: «Влияние фактора X на объект Y в условиях Z». Названия крупных частей будущего текста помещаем в кружках меньшего размера, расположенных вокруг основного, например: Введение, Обзор литературы, Методы исследования и т. д. до Выводов и списка литературы. Производим еще одну операцию дробления. Например, Методы исследования разделятся на:
а) объект исследования – больные определенной категории, здоровые испытатели, лабораторные животные или культура клеток;
б) способы воздействия на объект – способы лечения, вводимые в организм или клеточную культуру биологически активные вещества, измененные условия внешней среды и т. п.;в) регистрируемые параметры биообъекта – физиологические, биохимические и прочие показатели.
«Разбивка» понятия «лабораторные животные», в свою очередь, даст совсем мелкие кружки с надписями: вид, пол, масса тела и т. п. Снова изобразим наши действия в виде схемы (рис. 6):

Рис. 6. Аналитический, или дедуктивный, способ организации текста. Не имея пока черновиков текста, работаем на уровне идей: пытаемся изобразить на чистом листе бумаги все (или почти все) главные элементы будущего сочинения. Затем разбиваем эти элементы на все более мелкие части
Сказанное не означает, что автор должен полностью закончить дробление одного крупного элемента, прежде чем перейти к другому. Вспомнив что-то важное, он ищет новому элементу место в системе и либо находит его, либо производит некоторые изменения в системе. Иногда приходится производить переподчинение ее частей.
Если Вы сомневаетесь в необходимости какого-либо элемента схемы, то помечаете это удобным Вам способом, например, вместо гладкой окружности рисуете волнистую линию. Когда будете писать текст, вопрос «нужен – не нужен» решится сам собой, а до того момента неплохо иметь запас идей.
Так границы будущей главы (или раздела крупной главы), ее элементы и связи между ними будут почти окончательно определены до того, как первое слово текста ляжет на бумагу. Хотелось бы убедить читателей в том, что логическую задачу «границ и структуры» легче решать на уровне фактов и идей, пока они еще не облечены в словесную форму. Автору не придется решать одновременно две трудные задачи: определять содержание будущего текста и подыскивать наиболее удачные словесные формулировки, что позволит ему добиться большей концентрации внимания.
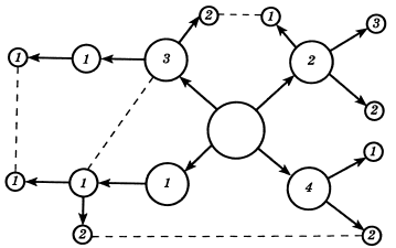
Использование такого метода дает возможность оперировать идеями, концентрированным выражением которых являются вписанные в кружки заголовки или заменяющие их отдельные наиболее выразительные слова, подобранные автором так, чтобы даже при беглом взгляде вызвать у него в памяти всю сумму необходимых сведений. Еще большая концентрация мысли достигается применением символов и пиктограмм (вопрос об их использовании рассмотрен выше в гл. 3). При этом автор одним взглядом охватывает во много раз больший материал, чем если бы он был выражен словами. Манипулирование идеями «в чистом виде», без попыток их словесного выражения позволяет сделать структуру будущего изложения максимально логичной и ясной. Случайные повторения смысловых единиц почти исключаются. Вместе с тем при необходимости рассмотрения одного и того же факта в разных разделах текста автор заранее предусматривает такую возможность с помощью «горизонтальных связей» (рис. 7):

Рис. 7. Горизонтальные связи (пунктир) показывают, что в разных частях текста следовало бы рассказать об одном и том же предмете. Уже при написании собственно текста решаем, где этот фрагмент нужнее, а в другом даем отсылку: «см. раздел XYZ»
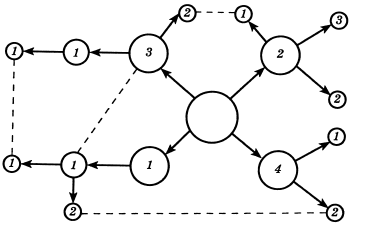
Только после того, как многократно отредактированная структура «устоится», автор задумается над очередностью изложения элементов одного уровня и пронумерует их, начиная с главного (рис. 8):

Рис. 8. Остается определить последовательность изложения (сначала – крупных частей, затем – фрагментов внутри каждой части и т. д., примерно до третьего уровня дробления текста). После этого можно писать собственно текст, не путаясь и не повторяясь
Когда строгая логическая последовательность элементов будет определена, Вам останется лишь прокомментировать ее в немногих словах. Это и будет текст Вашей работы. Прекрасно сказал когда-то Рене Клер (Ыепе Clair, 1898–1981): «Фильм готов, остается его снять».
Более 800 000 книг и аудиокниг! 📚
Получи 2 месяца Литрес Подписки в подарок и наслаждайся неограниченным чтением
ПОЛУЧИТЬ ПОДАРОК