Синтетический метод
Первый способ выйти из этого положения таков. После долгих мучительных попыток определить оптимальный порядок изложения автор, подгоняемый сроком сдачи диссертации, оставляет эти попытки и излагает материал фрагментами, начиная с того, что легче поддается описанию. Фрагменты, лучше в печатном виде, он раскладывает на широкой плоской поверхности (проще говоря, на полу) и, просматривая взглядом содержание каждого, снабжает его кратким заголовком (в одно-два слова). Потом он пробегает взглядом по этим рабочим заголовкам и вскоре замечает, что между содержанием двух-трех фрагментов есть некоторая близость, и располагает их рядом. Появляется первое идейное ядро, потом таким же образом – второе, третье и т. д. Позже удается найти логическую связь между этими группами и объединить их в группы второго порядка, те – в группы третьего порядка. Как правило, на этом процедура систематизации заканчивается. Фрагменты располагают один за другим и с помощью коротких связующих предложений создают текст. Заметим, что сделать это на мониторе (без распечатки черновиков) начинающему автору трудно, а скорее – невозможно. «Глубина» материала более чем в две ступени создает слишком большую нагрузку на оперативную память диссертанта. Если же Вы все-таки попытаетесь это сделать, предварительно дайте заголовок (полужирным шрифтом или ПРОПИСНЫМИ БУКВАМИ) каждому крупному абзацу. Какая бы часть файла ни оказалась выведена на монитор, в ней должен быть, по крайней мере, один такой рабочий заголовок.
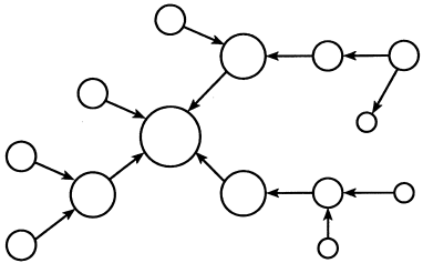
Изобразим описанную процедуру в виде схемы (рис. 5):

Рис. 5. Синтетический, или индуктивный, способ организации текста. Черновики мелких фрагментов текста объединяем в группы, те – в макрогруппы и т. д., пока они не сойдутся в единый текст, например, литературного обзора диссертации
Процедуру систематизации фрагментов Вы проведете быстрее, если с самого начала решите для себя вопрос о том, что именно является системообразующим фактором в Вашей области науки, то есть по какому признаку следует классифицировать материал. Для каждой науки такой принцип свой: для химии – структура веществ, для фармакологии – их лечебные свойства, для морфологии – органы и ткани, для родной нам физиологии – конечно, функции. Правильно определив такой системообразующий фактор, Вы продумываете наилучшую последовательность изложения данных. Например, рассказ о физиологии сенсорных систем почти всегда строится по схеме: зрение, слух… и т. д. Выбранную последовательность пишете на листке и прикрепляете его к стене или к компьютеру. Заглядывая в листок, размещаете фрагменты текстов. Этого порядка Вы будете придерживаться и при изложении Ваших собственных данных (которые составят потом главу Результаты исследований), и при описании использованных методик (будущая глава Методы исследования), и при систематизации литературных данных (для литобзора).
Более 800 000 книг и аудиокниг! 📚
Получи 2 месяца Литрес Подписки в подарок и наслаждайся неограниченным чтением
ПОЛУЧИТЬ ПОДАРОК