3.7. Примеры применения
В данном разделе мы рассмотрим некоторые применения целостного метода.
• Целостное конструирование[87]. Перейдем теперь к рассмотрению примера целостного конструирования устройства для бесшумного охлаждения компьютера.
Известно ухудшающее влияние компьютера на здоровье человека за счет шумов системы охлаждения. Шум – один из наиболее распространенных источников опасности при работе, на производстве. Основным последствием постоянного шумового воздействия (допустимый уровень шума – 55 дБ, шум компьютера – 65–70 дБ), является ухудшение слуха, но не единственным. Есть и другие последствия, такие как – звон в ушах, нарушения речи, замедленность восприятия, снижение работоспособности, раздражительность и слуховые галлюцинации[88]. В связи с этим возникает проблема несоответствия степени шумового воздействия систем охлаждения компьютеров на здоровье человека условиям обеспечения комфортной и безопасной рабочей среды.
На решение этой проблемы направлены усилия многих отечественных и зарубежных исследовательских и конструкторских организаций. В результате значительно снижена шумность вентиляторов (кулеров), используемых для охлаждения компьютеров, созданы системы жидкостного охлаждения, криогенные системы охлаждения, системы охлаждения с использованием эффекта Пельтье, а также системы охлаждения с использованием тепловых трубок. Постоянно совершенствуется конструкция теплоотводящих радиаторов в системах воздушного охлаждения.
Наилучшим решением данной проблемы было бы, конечно, создание полностью бесшумной конструкции для охлаждения компьютеров, недорогой и удобной для использования как при промышленном производстве компьютеров, так и в условиях офисного и домашнего применения. Как наиболее удачное на сегодняшний день решение, в смысле создания бесшумной конструкции для охлаждения компьютера, необходимо отметить решение южнокорейской фирмы «Zalman» в виде корпуса компьютера Zalman TNN 500A[89]. Предлагаемый корпус компьютера изготовлен без применения вентиляторов и других движущихся элементов с использованием тепловых трубок для бесшумного охлаждения тепловыделяющих элементов компьютеров. Недостатки данного решения – высокая цена корпуса (от $500), в котором использованы дорогостоящие материалы, а также сложность конструкции, затрудняющая использование данного корпуса при массовом производстве. Сложность конструкции корпуса Zalman TNN 500A затрудняет также и использование его для замены корпуса в домашних условиях. Можно считать, что проблема создания недорого и удобного бесшумного устройства для охлаждения компьютера еще не решена.
Наша цель – проект бесшумного теплоотводящего устройства для компьютера, недорогого и удобного. Для достижения цели использован метод системной технологии проектирования на основе рассмотренного нами Принципа целостности. Одна из аксиом данного Принципа целостности – аксиома общей модели объекта деятельности, гласит: Для формирования и реализации целостной деятельности формирование и реализацию объекта деятельности необходимо осуществлять в соответствии с общей моделью целого для подобных объектов в виде целостной и целой системы.
На этой основе можно сформулировать аксиому системности объекта проектирования в следующем упрощенном виде: для формирования и осуществления системного проектирования объект проектирования необходимо представить в виде общей модели целостной и целой системы.
В качестве объекта проектирования в данном случае рассматривается система охлаждения компьютера. Для реализации в практике данной аксиомы системности используем совокупность этапов и ключевую процедуру метода системной технологии.
Применение Принципа целостности основано на трехшаговой ключевой процедуре метода системной технологии «от исходной формулы через нахождение общей модели целостной и цельной системы к рабочей формуле», которую для данного случая можно структурировать следующим образом: вначале – разработка исходной формулы Принципа системности для проектирования бесшумной системы отвода тепла от компьютера; затем – постановка и решение задачи нахождения общей модели системы для применения Принципа системности для проектирования бесшумной системы отвода тепла от компьютера и, далее, – разработка и применение рабочей формулы Принципа системности для проектирования бесшумной системы отвода тепла от компьютера.
Исходная формула системности для данного случая уже сформулирована в виде аксиомы системности объекта проектирования. На данной предпроектной стадии работы нет необходимости в формулировке всей совокупности аксиом системности и центральной теоремы Принципа системности.
Решение задачи нахождения общей модели системы для применения Принципа системности для проектирования бесшумной системы отвода тепла от компьютера проведем следующим образом; вначале определим состав совокупности существующих теплоотводящих устройств и систем для компьютеров; затем определим состав множества всех элементов совокупности существующих теплоотводящих устройств и систем для компьютеров; далее определим перечень всех функций, выполняемых элементами совокупности существующих теплоотводящих устройств и систем для компьютеров; после этого определяем перечень общих элементов, обеспечивающих в совокупности выполнение всех функций теплоотвода для компьютеров; полученные общие элементы используем при разработке общей модели системы для разработки рабочей формулы Принципа системности для проектирования бесшумной системы отвода тепла от компьютера.
Итак, вначале для разработки необходимой модели общей системы для проектируемого объекта необходимо определить состав совокупности существующих теплоотводящих устройств и систем для компьютеров.
Для этого рассмотрим множество существующих теплоотводящих устройств для компьютеров. Их можно разделить на 6 видов: 1. Вентиляторные; 2. На тепловых трубках; 3.Термоэлектрические; 4. Жидкостные; 5. Криогенные; 6. Комбинированные.
Затем определим состав множества всех элементов. В перечисленных устройствах содержатся следующие основные элементы: радиаторы, вентиляторы (в вентиляторных устройствах); тепловые трубки, радиаторы, вентиляторы (в устройствах на тепловых трубках); элементы Пелтье, радиаторы, вентиляторы (в термоэлектрических устройствах); теплообменники, помпы, радиаторы, резервуары (в жидкостных системах); компрессоры, вентиляторы (в криогенных системах). Для построения комбинированных устройств используются различные комбинации большинства из перечисленных элементов.
Далее определим перечень всех функций, выполняемых элементами совокупности существующих теплоотводящих устройств и систем для компьютеров. Теплоотводящие устройства являются частями теплоотводящих систем. Элементы существующих теплоотводящих систем для компьютеров выполняют 4 основные функции. Первая функция – производство тепла. Эта функция осуществляется такими элементами теплоотводящих систем как процессор, винчестер, блоки питания и другими. Производство тепла не сопровождается производством звуковой энергии (шума). Другая функция – транспортировка тепла, осуществляется тепловыми трубками, вентиляторами, теплоносителями жидкостных систем и т.д. Производство транспортировки тепла сопровождается повышенным, в сравнении с осуществлением других основных функций, производством звуковой энергии (шума), так как связано с применением вентиляторов. Третья функция – рассеивание тепла, осуществляется пассивными радиаторами, вентиляторами и другими элементами. Производство рассеивания тепла сопровождается производством звуковой энергии (шума), только если производится попутно с транспортировкой тепла вентиляторами. Четвертая функция – поглощение тепла, осуществляется, в конечном счете, окружающей средой. Производство поглощения тепла не сопровождается производством звуковой энергии (шума).
После этого определяем перечень общих элементов, обеспечивающих в совокупности выполнение всех функций теплоотвода для компьютеров. Выделив и описав элементы всех видов теплоотводящих устройств для компьютеров, в результате получаем множество следующих общих элементов, из которых можно составить рабочую модель общей системы: 1. Источник тепла. Основными источниками тепла являются центральный процессор, графический процессор, системный блок компьютера, жесткие диски, модули памяти, микросхема чипсета, блок питания. 2. Транспортировщик тепла. Основными транспортировщиками тепла являются вентиляторы (кулеры). 3. Рассеиватель тепла. Основными рассеивателями тепла являются радиаторы, жидкости, воздух. 4. Поглотитель тепла. Основным поглотителем тепла является окружающая среда.
Полученные общие элементы используем при разработке общей модели системы для разработки рабочей формулы Принципа системности для проектирования бесшумной системы отвода тепла от компьютера. Общая модель системы включает четыре последовательно соединенных элемента – источник тепла, транспортировщик тепла, рассеиватель тепла, окружающая среда. На основе данной общей модели системы можно найти рабочую модель системы, которая наилучшим образом соответствует поставленной цели. В такой рабочей модели общей системы проектируемого устройства функции транспортировщика и рассеивателя объединены в одном элементе системы: источник тепла, транспортировщик тепла и рассеиватель тепла, окружающая среда.
Тогда рабочую формулу системности можно представить в следующем виде: для формирования и осуществления системного проектирования объект проектирования – систему охлаждения компьютера, необходимо представить в виде модели общей системы, в которой выполнение функций транспортировщика тепла и рассеивателя тепла обеспечивается одним элементом конструкции теплоотводящего устройства.
В результате данный элемент конструкции соответствует поставленным требованиям, так как не содержит производящие шум детали. Предложенная конструкция[90] решает поставленную проблему.
• Для эффективного формирования целостности и системности собственного мышления и практики профессиональной деятельности рекомендуется провести работу по следующим темам (консультации на сайте systemtechnology.ru):
1) разработка различных вариантов, схем, модификаций тепловой трубы и других составляющих конструкции с целью подбора универсального варианта под различные типы компьютерных сборок;
2) разработка варианта промышленного образца с оптимальным сочетанием «цена, качество»;
3) анализ возможностей применения в практике конструирования всех компонентов метода системной технологии;
4) разработка системной философии конструирования (проектирования).
• Положения системной философии могут быть применены для решения математических задач.
Рассмотрим пример системной технологии решения для широко известной «задачи о коммивояжере» (ЗОК)[91]. Этот пример выбран по той простой причине, что в нем сочетается простота и понятность постановки задачи со сложностью нахождения точного или приемлемого для практики решения. Постановка ЗОК выглядит следующим образом. Имеется n пунктов, в одном из которых находится коммивояжер. Все эти пункты коммивояжер должен посетить и вернуться для отчета в исходный пункт. Расстояния между ними известны. Требуется найти маршрут коммивояжера, при котором суммарное расстояние, которое он пройдет, будет наименьшим из всех возможных. Эту задачу постоянно решает любой путешественник, собирающийся посетить несколько городов. Вместо расстояний между городами можно взять стоимости проезда теми видами транспорта, которыми можно воспользоваться при переезде из одного города в другой. Вместо городов могут присутствовать операции технологического цикла, а вместо расстояний – время, необходимое для перехода от одной операции к другой. К задаче коммивояжера в формальном виде сводятся многие задачи управления, экономики, планирования и организации. Решить ЗОК простым перебором для больших n практически невозможно, так как число возможных решений равно (n-1)! или «(n-1) факториал».
Применение принципа обогащения к решению ЗОК позволяет построить эффективную технологию. В этом случае технология решения состоит из двух основных алгоритмов. Первый алгоритм позволяет обогатить исходный массив данных, исключая из него те «расстояния», которые не могут участвовать в оптимальном маршруте. Второй алгоритм позволяет найти оптимальный (или близкий к оптимальному) маршрут коммивояжера. Задача поставлена и решена, как известная задача теории графов о нахождении оптимального гамильтонова цикла в графе[92].
Для оптимального гамильтонова цикла справедливо следующее условие оптимальности: для любого простого маршрута, являющегося участком оптимального гамильтонова цикла и проходящего вершины графа в последовательности i1, i2, i3, …,ia, (a=4,5, …,n; il=1,2, …, n) сумма весов входящих в него ребер ? (i1i2i3 …, ia) является минимальной в сравнении с любой другой суммой вида ? (i1i?2i?3…i?a-1ia):
? ( i1i2i3…ia) = min ? (i1i?2i?3…i?a-1ia) (1)
при a =4, 5, …, n; i=1,2, …, n; i?2, i?3,…, i?a-1, ?P.
Здесь i?2, i?3,…, i?a-1 — одна из перестановок чисел i2, i3, …, ia-1, P — множество всех перестановок этих чисел.
Очевидно, что если это условие не выполняется для каких-либо значений a и i, то существует гамильтонов цикл с меньшей длиной пути обхода вершин i1, i2, i3, …, ia-1,ia. Но, если полученный гамильтонов цикл оптимален, то его нельзя улучшить изменением пути обхода вершин i1, i2, i3, …, ia для любого a, имеющего значения в пределах от 4-х до n.
Значения a не могут быть меньше четырех, так как очевидно, что никакие два гамильтонова цикла не могут отличаться менее, чем тремя ребрами, проходящими четыре вершины поcледовательно в одном из двух возможных вариантов обхода: i1,i2,i3,i4 или i1,i3,i2,i4.
Пусть оптимальный гамильтонов цикл обходит вершины графа в последовательности
i1, i2, i3, …, in, i1. (1.а)
Гамильтонов цикл, оптимальный для определенного значения a, назовем a-оптимальным. Для a = 4 справедливо неравенство:
? (ikik+1) + ? (ik+1ik+2) + ? (ik+2ik+3) ? ? (ikik+2) + ? (ik+2ik+1) + ? (ik+1ik+3). (2)
Условие (2) необходимо проверить для всех ik = i1, i2, …, in и, если оно для всех ik справедливо, то это необходимое и достаточное условие того, что гамильтонов цикл 4-оптимален. Просуммировав левые и правые части неравенств, получающихся при значениях ik = i1, i2, …, in, получаем необходимое условие 4-оптимальности в виде:

Справедливо следующее условие:
Если гамильтонов цикл a1-оптимален, то он a2-оптимален для любого a2<a1. Если это условие не выполняется, т.е. a1-оптимальный гамильтонов цикл не является a2-оптимальным, то какой-то из простых путей длины a1 можно улучшить изменением обхода каких-то a2 вершин, что противоречит условия a1-оптимальности.
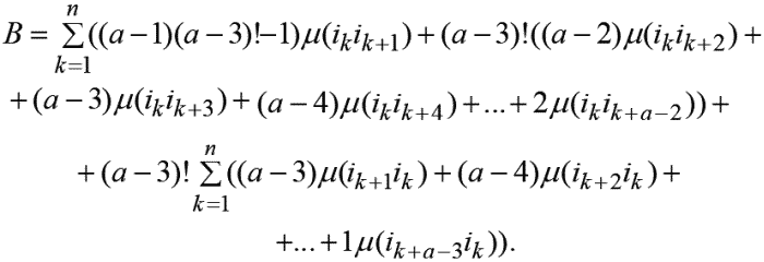
Перейдем к определению условия a-оптимальности, получаемого аналогично тому, как условие (З) получено из (2), из системы неравенств вида (2), для любого a=const суммированием для всех ik=1, 2, …, n

Для каждого значения k будет иметь место система из ((а-2)!-1) неравенств по числу элементов множества Р, состоящего из (а-2)! перестановок чисел i?k+1, i?k+2, …, i?k+a-2
При этом мы полагаем, что
? (ik,ik+1, …, ik+a-1) = ? (ik, ik+1) + ? (ik+1ik+2) + … + ? (ik+a-2 ik+a-1).
? (ik, i?k+1, …, i?k+a-2, ik+a-1) = ? (ik, i?k+1) + ? (i?k+1, i?k+2) + … + ? (i?k+a-2, ik+a-1).
Обозначим левую и правую части условия (4) буквами А и В, соответственно: А ? В.
В левой части неравенства вес каждого ребра, принадлежащего проверяемому участку гамильтонова цикла, участвует точно по одному разу в каждом неравенстве системы из ((a-2)!-1) неравенств, задаваемых перестановками, принадлежащими множеству Р, при фиксированной начальной вершине.
Кроме этого, при заданном a=const, если производить проверку выполнения условия (9.2.4), изменяя последовательно номер начальной вершины от i1 до in, то любое ребро гамильтонова цикла появится точно в (a-1) системах из этих ((a-2)!-1) неравенств как первое по счету, второе, третье и т.д. (a-1)-e ребро в проверяемых участках гамильтонова цикла.
Следовательно, левая часть неравенства (4) имеет вид:

Выражение для правой части условия (4) можно записать в виде:

Для того, чтобы получить выражение для правой части условия (4), необходимо найти число появлений ребер графа вида (ic, ic+N) в каждой системе из ((a-1)!-1) неравенств, задаваемых определенным значением k, а также во всех системах этих неравенств, получаемых при изменении ik от i1 до in.
Очевидно, что число появлений пар (iс, ic+N) в правых частях неравенств вида (4) равно числу появлений пар (ic, ic+N) в последовательностях:
ik, i?k+1, i?k+2, …, i?k+a-2, ik+a-1 (5)
задаваемых (a-2)! перестановками чисел i?k+1, i?k+2, …, i?k+a-2.
Следует учесть также, что одна из этих последовательностей, а именно i1, i2, i3, …, ik+a-1 находится в левой части этих неравенств.
Пары icic+N можно разделить на следующие виды по признаку, содержат они или нет «неподвижные» вершины ik и ik+a-1:
а) icic+N при c ? k; c + n < k+a-1; n >1, n ? a-2; это пары элементов в (5), не содержащие элементов ik, ik+a-1 и тех элементов (i1, i2, i?2, i3, i?3, i4 и т.д.), которые входят в гамильтонов цикл (1a).
Каждая из пар этого вида появится в системе неравенств (4) для определенного значения ik=i1,i2, …, in, точно (a-3)(a-4)! раз – по числу (a-4)! перестановок (a-4) элементов, т.е. элементов последовательности (5) за вычетом элементов ik, ik+a-1, ic, ic+N для каждого из (a-3) возможных положений пары ic, ic+N в последовательности (5).
б) ic, ic+N при n>1, c=k и ic+Nic+a-1 при n < а-2, c=k это пары элементов в (5), содержащие элементы ik или ik+a-1 и элементы гамильтонова цикла (1a).
Каждая из этих пар появится в системе неравенств (4) для определенного значения ik=i1,i2, …, in, точно (a-3)! раз по числу возможных перестановок (a-3) элементов, т.к. элементы ik, ik+N, ik+a-1 для этих пар «неподвижны».
Кроме этого, в совокупностях пар обоих видов надо выделить пары ic, ic+1, т.е. пары элементов гамильтонова цикла (1а). Тогда можно считать, что каждая из этих пар появится в системе неравенств (4) для определенного значения ik=i1,i2, …, in точно ((a-3)!-1) раз по числу появлений пар вида а) или б) и за вычетом появлений одной пары, находящейся в левой части неравенства (4).
Аналогично и для любой пары вида iс+N iс число появлений в системе неравенств (4) для определенного значения ik равно (a-3)!. Здесь надо учесть то обстоятельство, что ik и ik+a-1 «неподвижны», т.е. они не могут участвовать в парах вида iс+N iс.
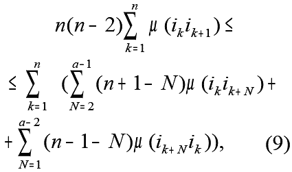
Таким образом, каждая пара элементов вида iсiс+N, не образующая ребро, инцидентное гамильтонову циклу, а также каждая пара вида iс+N iс появятся в правой части системы неравенств, записанных для определенного значения ik, точно (a-3)! раз, а ребра, инцидентные гaмильтонову циклу, точно ((a-3)!-1) раз.
Задавая последовательно значения ik от i1 до in, мы получаем каждый раз новые системы неравенств. При этом относительно любого ребра ic, ic+N участок ik, ik+1, …, ik+a-1 «передвигается», вследствие чего любые пары ic+N ic или ic, ic+N участвуют в a-N(k+a-1-n-k+1=a-N) системах неравенств (4). То обстоятельство, что пары вида (ic+N, ic) с участием элементов ik и ik+a-1 в каждой системе неравенств невозможны, приводит к уменьшению числа появлений каждого такого вида пар ic+N ic в системе (4) для данного N на две.
Ребра ic ic+1 участвуют, таким образом, в (a-1) системах неравенств, если, конечно, (a-3)!-1 ? 1 или a ? 5, т.е., если они по условию вообще появляются в правой части системы неравенств для любого ik.
Отсюда очевидно, что любое ребро ? (ikik+N), N ? 1, графа будет повторяться в правых частях n систем неравенств (4) (a – N) раз для ik= i1, i2, …, in.
Следовательно, правая часть системы (4) примет вид:

Итак, условие a-оптимальности примет вид:

для a ? 5.
После простых преобразований получаем

для a ? 5.
Отсюда получаем условие n-оптимальности (a=n)

И, далее, условие (n +1)-оптимальности (a=n+1), т.е. условие оптимальности собственно гамильтонова цикла, принимает вид

Можно усилить условие (7), введя вместо проверки суммарного неравенства проверку по всем k. Получим условия а-оптимальности гaмильтонова цикла в виде:

a ? 5; k = 1, 2, …, n.
Выше было показано, что a1-оптимальный гамильтонов цикл a2-оптимален, если a1 > a2.
Поэтому условие оптимальности гамильтонова цикла можно преобразовать к виду (a = n + 1):

• «Принцип обогащения» целостного подхода применительно к решению задачи о коммивояжере (ЗОК) заключается в следующем: с помощью некоторого условия проверить все ветви графа на наличие полезных свойств (в данном случае это «способность» участвовать в оптимальном гамильтоновом цикле) и для дальнейшего решения задачи оставить только эти «полезные» ветви. В случае, когда используемое условие достаточно сильно, после этой проверки останутся только ветви оптимального гамильтонова цикла. В другом случае из рассмотрения будет исключена часть ветвей графа, что дает возможность сократить время поиска решения с применением какого-либо алгоритма.
Таким образом, весь процесс решения задачи делится на 2 стадии: первая – «обогащение» исходного числового массива, вторая – применение алгоритма поиска на «обогащенном» массиве. Реализация первой стадии при решении ЗОК производится с применением полученного условия оптимальности гамильтонова цикла в графе G с n вершинами. Условие оптимальности можно использовать для «обогащения» исходного множества ветвей графа: после проверки всех ветвей графа на условие оптимальности число ветвей, которое целесообразно использовать при дальнейшем решении ЗОК, сократится. Ввиду очевидной простоты описание алгоритма не приводится.
Опыт применения этого условия для графов с n=11–67 показал, что даже после однократного применения такой операции ко всем ветвям графа число ветвей в обогащенном массиве существенно сокращается.
• Для эффективного формирования целостности и системности собственного мышления и практики профессиональной деятельности рекомендуется провести работу по следующим темам (консультации на сайте systemtechnology.ru):
1) разработка комплекса формул Законов индустриализации, машинизации, технологизации прикладных математических методов и методик их применения;
2) разработка комплекса условий Принципа целостности прикладного математического метода (по выбору);
3) разработка комплекса правил Закона целостности прикладного математического метода (по выбору);
4) разработка комплекса правил Закона развития целого для прикладного математического метода (по выбору);
5) разработка комплекса условий Принципов развития целого для прикладного математического метода (по выбору).
• Положения системной философии могут быть применены и для решения задач образования[93].
Так, системная триада образовательной системы странового формата включает в себя следующие системы:
а) система-субъект – совокупность государственных и неправительственных структур управления образованием. Эта система ответственна перед внешней средой (в том числе, перед страной) в целом за формирование концепции целостной образованности человека и общества, необходимой для целей выживания и развития страны. В функции этой системы входит также и управление реализацией концепции целостного образования;
6) система-объект – совокупность учреждений и заведений образования. Эта система ответственна перед системой-субъектом и страной за реализацию концепции целостной образованности человека и общества, необходимой для выживания и развития страны;
в) система-результат – предполагаемое приращение интеллектуального потенциала страны, необходимое для целей выживания и развития страны, за счет целостной образованности человека и общества, а также предполагаемая система управления сохранением, использованием и развитием целостной образованности человека и общества в обозримом будущем.
• Примем следующие определения:
продуктом воспитания является воспитанность человека и общества, продуктом образования – образованность человека и общества, продуктом просвещения – просвещенность человека и общества;
воспитанность – это целостная совокупность психического и физического здоровья как человека, так и общества; совокупность психического и физического здоровья составляет собой фундаментальную часть духовно-нравственного и телесного потенциала человека и общества. Воспитанность должна быть оснащена соответствующими знаниями, умениями и навыками, системной технологией своего сохранения, использования и развития (т.е. соответствующим интеллектуальным потенциалом), как целостности.
Психическое и физическое здоровье – «почва» для формирования и развития духовно-нравственного, интеллектуального и физического потенциала человека и общества. Это своего рода «природа» человека и общества, «внутренняя природная среда» человека и общества, основа для физического выживания, сохранения и развития человека и общества, как части живой природы;
просвещенность – это целостное знание о месте и роли человека и общества в общей системе мироздания, а также системная технология оперирования этим знанием, в том числе и для просвещения других людей и общества.
Просвещенность базируется на психическом и физическом здоровье человека и общества (фундаментальная, «природная» часть духовно-нравственного и физического потенциалов), на профессиональных знаниях, умениях и навыках человека и общества (интеллектуальный потенциал). В частности, просвещенность специалиста – это целостное знание о роли и месте собственной профессиональной деятельности в системах, созданных обществом и природой;
управление образованием, а также воспитанием и просвещением – часть системы управления развитием человеческого потенциала. Управление образованием, воспитанием и просвещением осуществляется с помощью целостных организационно-распорядительных структур (кафедры, отделения, факультеты, школы, университеты, министерства и т.п.) и с помощью целостного научно-методического обеспечения;
предмет педагогики, как науки – целостное научно-методическое обеспечение образования, просвещения и воспитания. Можно также утверждать, что одна из задач педагогики – это создание научно-методического обеспечения системных технологий целостности образования, воспитания и просвещения;
системная педагогика – целостная научно-методическая основа системных технологий образования, просвещения и воспитания и деятельность по ее созданию и осуществлению;
педагогика, педагогическая деятельность – деятельность по формированию целостного комплекса «образованность, просвещенность и воспитанность» человека и общества.
Системная философия педагогической деятельности направлена на сохранение и развитие целостности человеческого потенциала. Она сосредотачивает свое внимание на целостном комплексе системных технологий педагогики.
Все дальнейшее изложение мы посвятим собственно системной философии образования, уделяя внимание просвещению и воспитанию только в связи с рассмотрением проблем образования. Все полученные в данном разделе результаты можно использовать для построения системных технологий просвещения и воспитания, как показала, например, практика экономического образования. В дальнейшем будут разрабатываться системные технологии просвещения, воспитания и образования, как части системной философии педагогики.
Уже отмечено ранее, что интеллектуальный потенциал представляет собой комплекс знаний, умений и навыков, необходимый для построения и поддержания функционирования систем общественного развития на всех этапах их жизненного цикла.
Образование – один из видов человеческой деятельности, направленных на формирование, сохранение и развитие целостного интеллектуального потенциала человека и общества. Эта направленность образования обеспечивается тремя путями.
Первый путь – формирование целостной образованности человека.
Второй путь – формирование корпуса преподавателей, т.е. образованных людей, концентрирующих, сохраняющих и обеспечивающих преемственность накопленного целостного интеллектуального потенциала общества.
Третий путь – формирование, сохранение и обновление информации о накопленном целостном интеллектуальном потенциале общества и о способах его использования с применением методов, способов и средств информатики.
Образованность можно определить, как целостную систему профессиональных знаний, умений и навыков, приобретенную человеком в результате систематического образования в определенной форме. Образованность, как целостная и целая система, включает в себя целостные знания (ответ на вопрос о том, что надо делать в предполагаемых профессиональных ситуациях), целостные умения (ответ на вопрос о том, как что-то сделать в определенных типовых профессиональных ситуациях) и целостные навыки (накопленный практический опыт действий в типовых профессиональных ситуациях).
Как правило, уровень образованности связывают с завершением определенной части (ступени, цикла, уровня и т.п.) образования. Образованность существенно влияет на формирование духовно-нравственного и телесного потенциалов человека и может дополнять их соответствующими знаниями, умениями и навыками. Это могут быть знания, умения и навыки, необходимые для развития физической силы, для развития определенных морально-волевых качеств, для развития потенциала духовных и морально-этических ценностей, для развития способностей к дискуссии и другие.
• Педагогические технологии направлены на приращение духовно-нравственного, интеллектуального и физического потенциала человека путем формирования целостного комплекса – образованность, просвещенность, воспитанность, здоровье. «Размеры» этого комплекса для каждого учащегося (студента, ученика, воспитанника, слушателя, курсанта и т.д.) не должны быть ниже определенного нормированного объема по завершении педагогической технологии.
Триада педагогической системной технологии – «педагог; учащийся; образованность, воспитанность, просвещенность».
Система-субъект — педагог; модель педагога включает в себя целостные просвещенность, образованность и воспитанность, а также знания, умения и навыки педагогических технологий формирования целостной просвещенности, образованности и воспитанности у обучаемых.
Система-объект — учащийся; модель учащегося включает в себя базовую целостную образованность, просвещенность и воспитанность, а также знания, умения и навыки системной технологии приращения собственной образованности, просвещенности и воспитанности. Знание системных технологий образования, просвещения и воспитания, а также умение и навыки применения этих технологий для себя формируются у учащегося в процессе его участия в педагогических технологиях и самостоятельно.
Система-результат педагогической технологии – это целостный комплекс «образованность, просвещенность, воспитанность». Модель системы-результата содержит в себе собственно целостную образованность, целостную просвещенность и целостную воспитанность, а также знания, умения и навыки системных технологий приращения собственной образованности, воспитанности и просвещенности. Целостная образованность – результат образования, производимый учащимся при управлении со стороны педагога. Можно сказать, что целостная образованность это проект, реализуемый учащимся; деятельность педагога – деятельность по управлению проектом целостной образованности.
Многие элементы предлагаемых далее принципов педагогических технологий широко используются в педагогической практике. Цель настоящего раздела – систематическое изложение принципов системных педагогических технологий и привнесение в образование опыта осуществления технологий в других отраслях и сферах общественного производства и потребления. Для удобства восприятия принципы системных педагогических технологий изложены здесь в вербальной форме. Они могут быть изложены в формальном виде выражений логики предикатов, что позволяет пользоваться ими при машинном проектировании и исследовании педагогических системных технологий и создавать их математические модели.
Изложение системы принципов педагогических технологий в предлагаемом виде позволит достаточно четко отделить достижения педагогической теории и практики, которые уже несомненно можно превратить в системные педагогические технологии, доступные каждому педагогу, от тех методов, приемов и моделей, которые находятся еще на стадии творчества и не приобрели еще форму и содержание, доступные технологизации.
• Педагогические технологии осуществляются с помощью различных орудий труда, в том числе и с помощью вычислительных машин. Применение вычислительных машин усиливает тенденцию технологизации педагогического труда. Но при этом необходимо иметь в виду, что при любой степени технологизации педагогические технологии – это технологии индивидуального, единичного производства и технологизация должна содействовать повышению эффективности педагогических технологий, не создавая бессмысленных тенденций массового, обезличенного производства просвещенности, образованности и воспитанности.
С позиций системной философии деятельности в целостных педагогических технологиях должны реализовываться определенные принципы. Эти принципы в совокупности позволяют моделировать и развивать такие традиционные системы, как классно-урочная система Яна Коменского, с современных позиций системной философии педагогики. Прежде перейти собственно к принципам системной технологии образования (и педагогики на их основе), покажем применимость некоторых общеизвестных принципов осуществления производственных процессов к организации педагогического производства.
Качественное расчленение и количественная пропорциональность педагогических процессов (принцип пропорциональности педагогики). Принцип пропорциональности педагогических процессов можно выразить следующим образом: затраты педагогического ресурса в технологической системе производства продукта педагогики должны быть распределены пропорционально трудоемкости стадий (циклов, операций) преобразования свойств, формы, состояния образованности, воспитанности и просвещенности учащегося.
Данный принцип требует такого построения системной технологии педагогической деятельности, которое обеспечивало бы прохождение через все операции педагогического процесса за определенный отрезок времени одинакового количества учащихся.
Естественно, что, в отличие от промышленных производственных процессов, в педагогических технологиях необходимо учитывать, что разные учащиеся имеют разные возможности преобразования своего потенциала под влиянием педагогических технологий. Другими словами, имеет место существенная неравномерность характеристик преобразуемого «интеллектуального сырья».
Постоянство и равенство затрат времени на производство каждой единицы данного продукта педагогики (принцип ритмичности педагогики). Для того, чтобы обеспечить постоянство результатов системной педагогической технологии, необходимо идентичное повторение каждой операции за одно и то же время при производстве каждой новой единицы продукта педагогики. При этом условии одинаковые продукты педагогики могут быть получены за равные промежутки времени.
Известно, конечно, что одинаковые специалисты по какой-либо специальности, напр., по археологии, могут быть подготовлены университетом при равных затратах времени каждого из педагогов. Но известно также, что норма «одинаковости» продукта педагогики оценивается только по нижней границе – оценка «удовлетворительно». Средний балл оценки знаний среднего выпускника ни о чем не говорит, так как средний выпускник, также как и средний специалист – мифическое существо. Не существует массового количества выпускников со «средними» оценками по всем предметам. В то же время изделие промышленного производства со средними характеристиками – явление массовое. Эта и другие причины говорят о существенной специфике, которую надо учитывать при применении принципа ритмичности для педагогики.
Одновременность осуществления операций педагогической технологии (принцип параллельности педагогики). В педагогических технологиях необходимо находить и распределять между различными рабочими местами (педагогами) операции, которые можно совершать одновременно (параллельно). В результате возникают параллельные цепи (циклы) педагогических технологий. Такие цепи и циклы педагогических технологий характерны для любого учебного процесса.
Непрерывность педагогических технологий (принцип непрерывности педагогики). При построении комплекса педагогических технологий необходимо находить такие структуры, при которых обеспечивается минимум простоя продукта педагогики перед каждой последующей операцией комплекса педагогических технологий. Возможно, что наиболее высокое педагогическое мастерство заключается в том, чтобы промежуточный продукт педагогической технологии – приращение образованности, воспитанности и просвещенности, сохранялся в учащемся и развивался в промежутки времени между активными воздействиями педагога. Принцип непрерывности педагогики может быть реализован при условии умения учащегося сохранять и развивать «в себе» приращение продукта педагогической технологии, а также и при умении педагога помочь учащемуся сформировать внутреннюю педагогическую технологию.
• В дальнейшем изложении педагогические технологии будем рассматривать на примере образовательных технологий. Интерпретация результатов для других видов педагогических технологий – воспитательных и просвещенческих, и для технологий педагогики в целом будет рассмотрена в последующих изданиях.
Системную технологию образования можно рассматривать в унифицированной форме, как процесс преобразования предмета труда с целью придания ему новых свойств, формы, состояния. Предмет труда – интеллектуальный потенциал учащегося.
Под влиянием системных технологий образования интеллектуальный потенциал учащегося преобразует прежние и получает новые свойства. Увеличивается его мощность, т.е. появляется способность осуществлять больший, чем прежде, объем профессиональной деятельности за одно и то же время. Увеличивается объем интеллектуального потенциала и объемы его составляющих. Устанавливается системный баланс между знаниями, умениями и навыками; появляются новые «внутренние» технологии развития интеллектуального потенциала и т.д.
Системные технологии образования придают интеллектуальному потенциалу человека новое состояние. Интеллектуальный потенциал, образно говоря, может находиться в трех агрегатных состояниях: «твердом», «текучем», «газообразном». «Твердое» (низкотемпературное) состояние труднодоступно для использования, но удобно для долговременного хранения. «Текучее» (среднетемпературное) состояние удобно для взаимодействия и осуществления профессиональной деятельности и для среднесрочного хранения, но неудобно для долговременного хранения. «Газообразное» (высокотемпературное) состояние удобно для быстрых реакций и «моментальных» профессиональных решений, но неудобно для хранения. Профессиональные системные технологии, которыми наделен человек в силу системного образования, управляют, образно говоря, и температурой интеллектуального потенциала, переводя отдельные его компоненты в нужное состояние, соответствующее конкретной профессиональной проблеме.
Процессы изменения агрегатного состояния интеллектуального потенциала человека представляют интерес для моделирования жизнедеятельности человека, как системы, включающей в себя духовно-нравственный, интеллектуальный и телесный комплексы. Для такого исследования можно использовать физические термины, применяемые для описания изменений агрегатного состояния вещества: плавление – переход из твердого состояния в жидкое, испарение – переход из жидкого состояния в газообразное, конденсация – переход из газообразного состояния в жидкое, затвердевание – переход из жидкого состояния в твердое, сублимация (возгонка) – переход из твердого состояния в газообразное. Представляет также интерес, с позиций системной философии образования, моделирование внутренней интеллектуальной энергии человека и, особенно, ее изменений в процессе жизнедеятельности, в т.ч. и приращений, получаемых в процессах образования.
Системные технологии образования придают интеллектуальному потенциалу человека новую форму. Интеллектуальный потенциал учащегося постепенно преобразуется в форму целостной и целой системы знаний, умений и навыков. В составе интеллектуального потенциала учащегося формируется его верхний системный слой – «внутренние» системные технологии управления знаниями, умениями и навыками в соответствии с потребностями внешней профессиональной среды.
Кроме этого, формируются и пограничные слои интеллектуального потенциала, ответственные за связи с духовно-нравственным и телесным потенциалами. Определенную форму имеют и те слои интеллекта, которые участвуют в таком объединении интеллектуального потенциала человека с духовно-нравственным и телесным потенциалами, которое приводит к формированию оригинального комплексного потенциала человека.
Результаты, для изготовления (выпуска) которых осуществляются образовательные технологии, можно разделить на основные (конечные), промежуточные и сопутствующие.
Основным (конечным) продуктом системной образовательной технологии является системная индивидуальная образованность каждого выпускаемого человека – выпускника. Выпуск образовательного продукта приводит к достижению системы основных (конечных) целей системной образовательной технологии. Цели заключаются в том, чтобы органично включить в интеллект учащегося систему знаний, умений и навыков, соответствующую заказу учащегося и потребностям системы общественного производства и развития; развить в нем определенные духовные, морально-волевые и этические системы, соответствующие писанным и неписанным законам данной профессиональной среды.
Промежуточным продуктом системной образовательной технологии являются соответствующие подсистемы знаний, умений и навыков, а также морально-волевые и этические подсистемы, полученные потенциалом учащегося при прохождении стадий системной образовательной технологии. Эти стадии соответствуют отдельным циклам дисциплин учебного процесса.
Сопутствующий продукт необходим для управления развитием образованности и для снижения влияния нежелательных явлений. Одно из существенных нежелательных явлений – способность человека забывать (терять) приобретенные знания, умения и навыки или неумение извлекать их из памяти для осуществления необходимых действий. Сопутствующий продукт – «внутренняя» системная технология образования, которая содержит подсистему управления развитием собственной образованности и подсистему производства профессиональных операций, действий, движений. Сопутствующие продукты могут иметь разное устройство и структуру для разных подсистем конечного продукта. В целом они должны сформировать некоторый «собственный» системный профессиональный стиль человека.
Принципы системной технологии образования представляют собой наиболее важные необходимые условия осуществления образовательных технологических систем в любой сфере образовательной деятельности. Эти принципы – основа системных технологий педагогики в целом.
Для примера мы сформулируем один из принципов – Принцип обогащения интеллекта: каждый элемент образовательной системы (как и вся система) должен придавать новые полезные свойства и/или форму и/или состояние образованности (приращение образованности) преобразуемому интеллекту человека (предмету образовательного труда) с целью обеспечения выпуска заданного образовательного продукта – системной образованности человека с заданными свойствами, формой, состоянием.
Принцип обогащения интеллекта полезными свойствами, формой, состоянием отражает требования к способу сведения исходной невыполнимой образовательной задачи формирования образованности «за один раз» одним педагогом к реализуемой задаче выпуска образовательного продукта с помощью системной образовательной технологии, в которой участвует множество людей, оснащенных вычислительными и иными машинами и техникой.
• Для эффективного формирования целостности и системности собственного мышления и практики профессиональной деятельности рекомендуется провести работу по следующим темам (консультации на сайте systemtechnology.ru):
1) разработка формул Законов индустриализации, машинизации, технологизации педагогики (образования, просвещения, воспитания) и методик их применения;
2) разработка комплекса условий Принципа целостности педагогики (образования, просвещения, воспитания) и методик их применения;
3) разработка комплекса правил Закона целостности педагогики (образования, просвещения, воспитания) и методик их применения;
4) разработка комплекса правил Закона развития целого для педагогики (образования, просвещения, воспитания) и методик их применения;
5) разработка комплекса условий Принципов развития целого для педагогики (образования, просвещения, воспитания) и методик их применения;
6) разработка системной философии педагогики (образования, просвещения, воспитания);
7) разработка метода системной технологии педагогики (образования, просвещения, воспитания).
• Положения системной философии могут быть применены и для информатики[94]. Здесь мы приведем некоторые результаты исследования, проектирования и применения технологий информатики. Переработка информации с целью получения желаемого результата – неотъемлемый компонент любой человеческой деятельности. Информатика – вид деятельности по сохранению и развитию информационного потенциала общества.
Индустрия информатики, как некоторая инфраструктура, предназначена для удовлетворения потребностей в информации всех звеньев общественного производства. Здесь под информацией понимаются в общепринятом смысле все сведения, которые могут быть объектом хранения, передачи и преобразования. В связи с этим своим назначением индустрия информатики должна добывать информацию, осуществлять сбор и первичную обработку в местах ее возникновения, складировать (хранить) и транспортировать (передавать по линиям связи, поставлять на различных носителях) в места потребления. Очевидно, что при осуществлении всех этих процессов информация должна подвергаться целесообразной переработке (преобразованию) с помощью информационных технологий.
Существенно выделение двух видов информации: информация-знание (новое знание) и информация-сведения. Информация, как новое знание, вырабатывается в результате творческого процесса. Творческий процесс – основной компонент процессов научных и экспериментальных исследований, открывательства, изобретательства, рационализаторства, проектирования, конструирования, создания произведений искусства и литературы, формирования званий и умений обучаемых и работающих специалистов и др. Разновидность нового знания – управленческое решение, синтезированное в процессе изучения желаемого и фактического состояния объекта управления. Творческие процессы производства нового знания реализуются во всех сферах общественного производства.
Определим, кроме того, собственно информацию (информацию-сведения), как сведения о ходе и результатах природных процессов, а также процессов производства и потребления знаний, товаров и услуг в обществе. Информацию-сведение представляет собой также и информация-знание (новое знание) после того, как оно появилось и нашло адекватное использование.
В соответствии с этими определениями можно констатировать, что в системе народного хозяйства имеют место два вида систем информационного производства: системы поддержки процессов производства и потребления нового знания; системы формирования и представления информации-сведений для производства и потребления знаний, товаров и услуг.
Индустрия информатики содержит три основных вида технологических систем переработки информации: а) системы добычи информации, осуществляющие сбор, подготовку, предварительное преобразование и выдачу информации по заказам потребителей (напр., банков, баз данных и знаний); б) системы складирования информации – системы банков, баз данных и знаний и др., осуществляющие хранение и выдачу информации по заказам пользователей; в) системы транспортирования информации, осуществляющие ее передачу и прием с помощью средств связи и транспорта. Функционирование этих систем должно обеспечиваться с помощью соответствующих экономико-организационных и управляющих систем, составляющих, вместе с технологическими системами переработки информации, соответствующие производственные системы информатики.
• Исследование технологии информатики с позиций системной философии приводит к необходимости изучения понятия целого и целостного результата (продукта, изделия) этих систем – информационного (в т.ч. программного) продукта. Один из аспектов исследования связан с реализацией в обществе изделий систем информатики, т.е. с взаимодействием информатики и общества.
Информатика предъявляет к потребителю ее продукции, напр., экономисту, определенные требования: первое требование: «профессиональная грамотность». Это знание и умение подготовить конкретные профессиональные проблемы, цели, задачи для применения изделий систем информатики, напр., программного продукта (операционных систем, пакетов прикладных пpoгpaмм и т.п.); второе требование: «математическая грамотность». Это знание и умение использовать математические модели и методы для постановки и решения конкретных профессиональных проблем, целей, задач; третье требование: «компьютерная грамотность». Это знание и умение использовать современные и будущие возможности индустрии информатики в решении оперативных, текущих и перспективных профессиональных задач.
В виде аббревиатуры эти требования к потребителю продукции информатики можно объединить под названием «ПМК-грамотность».
С другой стороны, основные требования, которые надо со стороны общества предъявить к индустрии информатики, можно объединить понятием доступность, «понятность» изделий и средств информатики для потребителя. Первое требование: «физическая доступность». Это возможность в любое время и в любом месте воспользоваться нужными изделиями и средствами информатики. Второе требование: «понимание человека». Это требование понимания продуктами и средствами информатики особенностей человеческого языка и психологии общения с человеком. Другими словами, индустрия информатики должна «подстраиваться под человека», препятствовать, напр., возникновению стрессовых ситуаций при общении с ЭВМ. Третье требование «интеллектуальная доступность». Это требование изучаемости, понятности для потребителя средней квалификации, желательно без посторонней помощи, самих продуктов и средств информатики, напр., какого-то конкретного пакета прикладных программ (ППП). Для удовлетворения данного требования в комплект поставки таких изделий, как программные системы, придаются автоматизированные справочные и обучающие системы.
Эти три требования общества к информатике можно объединить в виде аббревиатуры «ФПИ-доступность»: физическая доступность, понимание потребителя и изучаемость изделий информатики. Удовлетворение изложенных требований также приводит к необходимости решения таких задач прикладной информатики, как создание технологий потребления изделий информатики на основе, напр., технологии обучения способам и средствам потребления изделий информатики.
• До недавнего времени имело место искусство специалиста по вычислительным машинам, недоступное другим, требующее длительного периода изучения. Персональная электронная вычислительная машина (ПЭВМ, персональный компьютер – ПК), сделала ремесло пользователя ПК массово доступным. Каждый человек, пройдя обучение и овладев совокупностью нехитрых приемов, получает возможность изготавливать, вместе с ПК и другими «интеллектуальными машинами и рабочими», в массовых количествах те информационные изделия, которые может изготавливать компьютерщик средней квалификации, освоивший конкретную предметную область. В настоящее время происходит распространение термина «информационная технология» на все сферы человеческой деятельности, как термина, описывающего искусство коллектива людей или одного человека высокоорганизованно осуществлять информационную часть профессиональной деятельности, представляя собой своего рода «интеллектуальную систему информационных машин» (коллектив людей, оснащенных компьютерами) или «интеллектуальную информационную машину» (человек, оснащенный компьютером). Это является отражением действия Закона технологизации в области информатики.
Так же, как и в общем случае, в отношении технологизации информатики можно сделать следующие выводы:
– в соответствии с определенными мотивациями, возникающими при информационном взаимодействии человека с внешней средой, человек ставит перед собой все новые цели в решении проблем выживания, сохранения и развития. Для достижения целей выживания, сохранения и развития осуществляется деятельность по сохранению и развитию информационного потенциала человека и общества – информатика;
– процессы информационной деятельности содержат компоненты творчества и технологий. Творчество здесь понимается как совокупность неформализованных, нерегламентированных процедур, действий, движений по производству нового знания. Информационные технологии, напротив, это совокупность формализованных, регламентированных процедур, действий, движений. Можно утверждать, что, в отличие от информационного творчества, информационная технология, как процесс, обладает свойством определенности;
– информационная технология четко определяет результат информационной деятельности – информационное изделие (продукт), которое необходимо для достижения цели, т.е. обладает, в этом смысле, свойством результативности;
– информационная технология делает цель сохранения и развития информационного потенциала во многих и все более расширяющихся случаях серийно достижимой, т. е. информационный процесс достижения цели из уникального, творческого превращается в массовый. Технологизация информатики сводит исходную задачу изготовления информационного изделия «за раз» одним человеком, которая является массово невыполнимой, к массово выполнимой задаче изготовления однотипных информационных изделий с помощью комплекса «простых» процессов. Технология информатики, в силу этого, обладает свойством массовости.
– технологизированные виды информационной деятельности доступны для осуществления любым человеком, подготовленным по стандартным требованиям;
– технологизация информатики высвобождает творческий ресурс человека для нахождения, в частности, технологий решения других задач сохранения и развития информационного потенциала общества;
– в отличие от технологизированной, творческая информационная деятельность приводит к изготовлению единичного изделия информатики, в т.ч. и в виде новых информационных технологий.
Перечисленные и многие другие особенности технологий информатики являются проявлениями Закона технологизации информатики, который нетрудно сформулировать, как частный случай общего Закона технологизации.
• Для эффективного формирования целостности и системности собственного мышления и практики профессиональной деятельности рекомендуется провести работу по следующим темам (консультации на сайте systemtechnology.ru):
1) разработка комплекса формул Законов индустриализации, машинизации, технологизации информатики и методик их применения;
2) анализ соответствия требований ПМК-грамотности и ФПИ-доступности условиям постулатов целости и целостности изделия системы информатики;
3) разработка комплекса условий Принципа целостности информатики;
4) разработка комплекса правил Закона целостности информатики;
5) разработка комплекса правил Закона развития целого для информатики;
6) разработка комплекса условий Принципов развития целого в информатике;
7) разработка системной философии информатики;
8) разработка метода системной технологии информатики.
Следующие определения сформулированы как вспомогательные для решения задач исследований по данным темам. Система информатики — это способ организации методов и средств достижения цели, решения задач, разрешения проблем сохранения и развития информационного потенциала общества. Технология информатики — это способ организации методов и средств изготовления информационного продукта. Системная технология информатики — это целостное объединение способов организации методов и средств, присущих системам, технологиям и моделям информатики, на основе целостного метода, Принципов и Законов системной философии.
Принцип информационного обогащения (частный случай для технологической системы информатики): каждый элемент технологической системы информатики (как и вся система информатики) должен придавать новые полезные свойства (и/или форму и/или состояние) преобразуемому информационному ресурсу (предмету информационного труда) для обеспечения заданных свойств, формы, состояния изготавливаемого информационного продукта.
• Далее мы рассмотрим применение системной философии для построения целостных теорий и практик осуществления оценочной деятельности[95].
Мы рассматриваем здесь один из наиболее важных для рыночной экономики видов оценки – оценку имущества (в дальнейшем тексте – оценка), как самостоятельный вид экспертной деятельности. Целью оценки является определение на некоторую определенную дату потенциальной способности имущества приносить доход владельцу имущества в обозримом будущем. Эта потенциальная способность имущества приносить владельцу имущества доход количественно определяется, как стоимость в денежном выражении на момент завершения процесса оценки.
Само имущество на момент завершения оценки может использоваться или не использоваться для получения дохода. Использование имущества на момент проведения оценки может приносить доход или убытки. Употребляя термин «момент проведения оценки», мы имеем в виду, во-первых, то обстоятельство, что использование имущества до завершения оценки совершенно не зависит от факта проведения процесса оценки и, во-вторых, что длительность проведения процесса оценки пренебрежимо мала по сравнению с длительностью жизненного цикла имущества.
• Системная оценка — это оценка, основанная на использовании моделей целостных и целых систем для представления всех компонент оценочной деятельности. Как основу для описания системности оценочной деятельности (в том числе и для системной оценки) можно использовать следующую оценочную триаду систем. Оценщик предприятия (субъект оценочной деятельности), предприятие (объект оценочной деятельности), отчет об оценке (результат оценочной деятельности) – триада систем, образуемая для реализации процесса системной оценочной деятельности.
Процесс проектирования оценочной технологии имеет целью создать технологию системной оценки, оптимальную для данного сочетания «заказчик» – «объект – субъект – результат» оценки. Критерии оптимальности технологии могут быть разными. В тех случаях, когда такое упоминание необходимо, будем считать, для упрощения изложения, что нами выбран критерий наилучшего качества отчета при приемлемых затратах на его производство.
Процесс проектирования оценочной технологии можно представить в виде циклического целенаправленного процесса. Этот процесс можно представить в виде совокупности следующих этапов: а) формулирование цели оценочной технологии в соответствии с проектом намерений заказчика; б) определение перечня и объемов ресурсов для построения оценочной технологии; в) определение методов построения переделов оценочной технологии; г) установление ограничений на цели, ресурсы и методы построения оценочной технологии; д) имитация осуществления оценочной технологии; е) анализ результатов имитации и приемка построенного варианта оценочной технологии и/или отказ от данного варианта оценочной технологии и переход к этапу; ж) координация процесса проектирования очередного варианта оценочной технологии.
Изделием, продуктом системной технологии оценки является отчет, как целостная и целая система обоснованной информации о стоимости имущества.
Принцип технологичности оценки: из всех видов систем обоснованной информации о стоимости имущества, т.е. информационных продуктов, отвечающих поставленной цели системной оценки, должно выбираться наиболее «технологичное» для данной оценочной системы, т.е. обеспечивающее наиболее эффективную для данной оценочной системы реализацию соответствия «цель-процесс-структура».
Требование технологичности – своего рода компромисс между затратами, на которые готова пойти оценочная система и представлениями заказчика о стоимости отчета об оценке. Это требование побуждает оценочную систему проводить технологизацию процессов создания систем обоснованной информации о стоимости различных видов имущества, стремиться к тому, чтобы наиболее возможное количество видов этих систем были технологичными для нее. С другой стороны, заказчик вынужден считаться с реальными возможностями конкретных оценочных систем и учитывать, насколько технологичен его заказ для данной системы; в противном случае он может понести неоправданные затраты, связанные с необходимостью создавать новые для данной оценочной системы технологии оценки.
Для обеспечения требований технологичности системная технология предлагает для построения оценочных технологий использовать модели взаимодействия внутри технологических систем и между технологическими системами и внешней средой.
• Для эффективного формирования целостности и системности собственного мышления и практики профессиональной деятельности рекомендуется провести работу по следующим темам (консультации на сайте systemtechnology.ru):
1) разработка комплекса формул Законов индустриализации, машинизации, технологизации оценки и методик их применения;
2) разработка комплекса условий Принципа целостности оценки;
3) разработка комплекса правил Закона целостности оценки;
4) разработка комплекса правил Закона развития целого для оценки;
5) разработка комплекса условий Принципов развития целого для оценки;
6) разработка системной философии оценки;
7) разработка метода системной технологии оценки.
• Рассмотрим применение системной философии для построения целостных теорий и практик осуществления управленческой деятельности[96].
Следующие определения примем за основу:
Система управления — это способ организации методов и средств достижения целей управления, решения задач управления, разрешения проблем управления.
Технология управления — это способ организации методов и средств изго-товления управленческого решения – изделия (продукта) системы управления.
Системная технология управления — это объединение способов организации методов и средств, присущих системам управления и технологиям управления, на основе целостного метода, Принципов, правил, Законов системной философии.
Основная проблема системной технологии управления заключается в создании методики теории и практики построения целостной управленческой деятельности.
Системная технология управления является основой для практики целостной индустриализации управленческого производства. Целостная индустриализация управленческого производства – это создание комплекса целостных человеко-машинных производств управленческих решений (продуктов управленческого производства). Такие производства нужны для осуществления системной управленческой деятельности для любой сферы общественного развития – промышленной, образовательной, научной, управленческой, проектной и т.д. Системная индустриализация управления стала принципиально осуществимой с появлением возможностей массового применения вычислительных машин, средств связи и оргтехники для переработки, хранения и транспортирования информации в сфере управления.
В процессе системной индустриализации управления можно выделить три составные части создания системного человеко-машинного управленческого производства: а) системная машинизация управления – создание и использование целостных специализированных систем машин; б) системная технологизация управления – создание и реализация человеко-машинных системных технологий управления и, на их основе, технологических систем управления; в) системная координация управления – создание и реализация человеко-машинного производства управленческих решений (продуктов управленческого производства), как целостной совокупности технологических и экономико-административных систем управления.
Системная технология управления включает в себя, как один из разделов, формальное определение и исследование изделия технологической системы управления, продукта управления, как результата функционирования технологической системы управленческого производства. В качестве изделия, продукта управления рассматривается, в данном случае, созданное или реализованное управленческое решение. Очевидно, что управленческое решение, во-первых, должно иметь самостоятельное назначение для использования вне данного управленческого производства, во-вторых, нести информацию о качестве управленческой системы, в которой оно создано.
Кроме того, совокупность изделий технологической системы управления содержит «полезный» результат, используемый в сфере производства и потребления при осуществлении различных видов человеческой деятельности, и «бесполезный» – отходы, потребляемые, напр., окружающей информационной средой. Системная технология управления изучает свойства решения, общие для всех технологий управления. Во всех случаях изделие системы управления (управленческое решение) является средством взаимодействия системы управления с внешней средой и либо необходимо и полезно внешней среде для достижения своих целей, либо оно бесполезно, либо оно наносит вред внешней среде. В результате решения этих задач системная технология управления содержит не только теоретические, но и практические методы построения системных технологий управления, как систем выполнимых операций для реального осуществления процессов управленческой деятельности.
• Можно, для иллюстрации процесса построения правил Закона целостности управления, привести следующий пример. Пусть множество М — это множество человеко-машинных, машинных, человеческих элементов системы общественного производства. Одна из целей F, для достижения которых создаются системы, – это, например, удовлетворение потребностей в производстве измерений определенных экоаналитических параметров почвы.
Цель эта реализуется некоторой системой измерительных средств (система-результат), для производства которой создается производственная система-объект. Управление производственной системой осуществляется системой-субъектом управления, выделяемой из среды М. Сама система-субъект управления должна представлять себя, систему-объект и систему своих управленческих решений с помощью одной модели целостной и целой системы, построенной для достижения цели F(1).
Уникальность систем управления по сравнению с технологической системой-объектом, заключается в том, что она способна «видеть себя со стороны». Эта способность в сочетании с эгоистическими интересами системы управления приводит к искажению формулировок цели F(1), которая, особенно в тех случаях, когда ослаблено совокупное влияние рынка и государственного регулирования, может видоизмениться и не совпадать с первоначальной целью F.
По этой и по другим причинам для совершенствования управления необходимо постоянно привлекать системы проектирования и управления развитием триады «субъект-объект-результат» управления. Эту роль могут выполнять консалтинговые, экспертные, аудиторские, проектные и другие фирмы, владеющие современными методами моделирования и проектирования больших и сложных системных триад с использованием аппарата системной технологии.
Правило модели триады Закона целостности управления можно сформулировать в следующем виде: формирование и реализация некоторой триады деятельности «объект, субъект, результат» управления всегда осуществляется во взаимодействии с определенными объективно существующими совокупностями частей среды. Каждая из этих объективно существующих совокупностей частей среды может иметь некоторое множество моделей функционирования. Данное множество моделей необходимо учитывать при формировании и реализации модели триады для осуществления целостного и целого управления. При этом необходимо учитывать, что на функционирование триады систем управления и каждой из систем управления оказывает влияние внешняя среда, общая система и внутренняя среда элементов систем, входящих в триаду систем управления. Внутренняя среда элементов каждой системы триады систем управления, общая система, внешняя среда взаимодействуют между собой.
Известно, что технологические системы производства множества знаний, товаров и услуг возникли для обеспечения целей F удовлетворения потребностей человека и общества. Системы-субъекты управления возникли из потребностей технологических систем обеспечить наилучшее взаимодействие между собой и с окружающей средой, напр., для обеспечения технологических систем ресурсами (материальными, трудовыми, энергетическими, информационными и др.), а также для обеспечения сбыта изделий технологических систем.
С возникновением и развитием систем-субъектов управления постепенно произошла подмена целей функционирования. Так, целью функционирования систем-объектов изначально была цель F получения прибыли за счет удовлетворения потребностей человека и общества, достигаемая изготовлением и реализацией изделий. С появлением обособленных систем управления цели функционирования стали изменяться. Во-первых, произошло слияние систем-субъектов и систем-объектов в производственные системы, которые поставили перед собой эгоистические цели получения наибольших выгод от производства своей продукции, в результате вместо цели – получение наибольших выгод от удовлетворения потребностей потребителя (человек, общество), появилась цель – получение наибольших выгод для себя от процесса производства своей продукции. Понятие нужности, полезности продукции для потребителя подменилось понятием нужности и полезности процесса производства для производителя продукции. По этой причине одной из актуальных проблем современного общества является нахождение общих целостных и целых моделей функционирования производственных систем во всех сферах общественного производства, находящих разумный баланс между эгоистическими целями производственных систем и теми целями, для которых общество создает систему общественного производства и развития.
• Сформулируем для примера Принцип обогащения полезными свойствами, формой, состоянием во внутрифирменном управлении: каждый элемент технологической системы производства внутрифирменного управления (как и вся система производства внутрифирменного управления) должен придавать новые полезные свойства (и/или форму и/или состояние) преобразуемой управленческой информации для обеспечения процесса подготовки и выпуска управленческого решения.
Принцип обогащения управленческой информации полезными свойствами, формой, состоянием на каждом элементарном процессе ее преобразования отражает способ сведения исходной невыполнимой задачи выработки управленческого решения с помощью единственной операции преобразования исходной управленческой информации «за один раз» к реализуемой задаче производства управленческого решения с помощью системы «элементарных» процессов преобразования исходной и промежуточной управленческой информации.
Принцип обогащения отражает также появляющуюся в данном случае необходимость преобразования исходной цели выработки управленческого решения в систему элементарных целей преобразования управленческой информации. Достижение каждой из этих целей обеспечивается элементарным процессом выработки «части» свойства и/или формы и/или состояния управленческой информации. В результате исходная и промежуточная управленческая информация постепенно качественно и количественно преобразуется в управленческое решение.
Исходное соответствие «цель – процесс – структура» превращается, в силу действия принципа обогащения, в комплекс соответствий «цель системы – элементарная цель», «процесс системы – элементарный процесс», «структура системы – элементарная структура». После каждого элементарного процесса внутрифирменного управления управленческая информация должна обогащаться новыми свойствами, формой, состоянием: приобретать более удобную форму для последующего восприятия, освобождаться от помех, становиться более пригодной для последующих этапов принятия решений, быть более пригодной для практического использования в объекте управления и т.д.
• Для эффективного формирования целостности и системности собственного мышления и практики профессиональной деятельности рекомендуется провести работу по следующим темам (консультации на сайте systemtechnology.ru):
1) разработка комплекса формул Законов индустриализации, машинизации, технологизации управленческой деятельности и методик их применения;
2) разработка комплекса условий Принципа целостности управленческой деятельности;
3) разработка комплекса правил Закона целостности управленческой деятельности;
4) разработка комплекса правил Закона развития целого для управленческой деятельности;
5) разработка комплекса условий Принципов развития целого для управленческой деятельности. Опишите вариант применения Принципа обогащения и других Принципов развития целого для подготовки и проведения деловых совещаний;
6) разработка системной философии управления;
7) разработка метода системной технологии управления.
• Рассмотрим далее применение системной философии для построения целостных теорий и практик осуществления экологической деятельности[97].
Экология – это вид современной человеческой деятельности, включающий в себя науку, проектирование, образование, анализ, экспертизу, контроль и другие компоненты деятельности. Экология, как комплексная человеческая деятельность, регулируется государством. В странах мирового сообщества есть соответствующие уполномоченные государственные ведомства, осуществляющие регулирование экологической деятельности – министерства, департаменты, комитеты и т.п. Экологическая деятельность регулируется на межгосударственном и международном уровне многочисленными соглашениями и деятельностью международных организаций. В большинстве случаев экологию определяют, как науку о взаимоотношениях живых организмов между собой и со средой их обитания. Можно сказать, что экономика занимается финансовым хозяйством, а экология – «хозяйством» среды обитания[98]. Используем теорию системной технологии для развития этого тезиса. Мы не будем рассматривать приложения системной философии деятельности к разделам экологии (напр., к экологии рек, озер и моря, к экологии суши, к радиационной экологии и др.); все это предмет специальных работ.
• Можно дать следующие определения, как упрощенные примеры для обучения системной философии. Экология, как вид человеческой деятельности, – экологическая деятельность заключается в обеспечении экологической полезности взаимодействий искусственных и природных систем и их частей. Экологическая полезность достигается в том случае, когда не только производимые товары и услуги, но и отходы производства полезны для развития социальной, производственной и природной сред. Частный случай – экологическая чистота, когда производимые товары, услуги и отходы не приносят ущерба социальной, производственной и природной средам. С позиций экологической деятельности любое производство изготавливает некоторый экологический комплекс изделий, который включает в себя не только изделия, производимые для удовлетворения спроса человеческого общества на знания, товары и услуги, но и отходы производства.
Экология, как наука, изучает взаимодействия искусственных и природных систем между собой с целью разработки методов обеспечения экологической полезности всех взаимодействующих систем друг для друга и для окружающей среды. Экологическая наука, изучая взаимодействия систем между собой, должна уделять особое внимание экологическим характеристикам комплекса изделий, так как комплекс изделий – это комплекс средств воздействия каждой системы на внешнюю для нее среду.
Согласно принципу целостности каждая триада взаимодействующих систем должна описываться одной целостной и цельной моделью общей системы. Исходя из принципа целостности, можно определить, что модель экосистемы (экологическая модель) – это целостная и цельная модель общей системы для триад систем, принадлежащих социальной, производственной и природной средам. Описание модели экосистемы должно включать и описание экологической модели каждой из взаимодействующих систем. Экологическая модель должна включать описание таких потенциальных воздействий системы (напр., производственной системы) на окружающую среду, которые могут повлиять на развитие других систем.
• Прикладная экология — это та часть экологической деятельности, которая проектирует преобразования экологических систем на основе комплексного использования достижений в области экологии и других областей знания. Другими словами, прикладная экология – это научно-практическая часть экологической деятельности, результатом которой является экологический проект, пригодный для практического воплощения, и система управления этим проектом.
Содержание прикладной экологии составляют три крупных блока деятельности: а) прикладные экологические исследования и анализ (научно-технической, социальной, правовой, экономической и др. направленности), позволяющие решить вопросы применимости соответствующих результатов теоретической экологии и других областей знания на практике, а также решить вопросы управления созданием соответствующего проекта; б) экологическое проектирование и конструирование, позволяющее создать проекты технологий для экологически чистых производств, систем очистки воды, воздуха, почвы, для систем экологической информатики и экологического мониторинга, для экологического образования, просвещения, информированности и воспитания, приборы для очистки воздуха и воды, устройства для аналитического контроля загрязнений окружающей среды, проекты социально-экологической деятельности, проекты нормативно-правового обеспечения экологической деятельности и т.д. Эти проекты могут быть самостоятельными, а также могут быть частью других проектов производства товаров и услуг; в) разработка системы экологического управления реализацией и развитием проекта, включая вопросы экспертизы, лицензирования, аудита, контроля, производства экологической направленности.
• Экологический Закон технологизации можно сформулировать в следующей форме: Для удовлетворения экологических потребностей Природы и общества необходима экологическая технологизация, т.е. преобразование процессов экологического творчества, доступного единицам, в технологические системы для экологических производств посредством создания и реализации системных экологических технологий, обладающих свойствами массовости, определенности, результативности, доступности.
В недалеком будущем экологические производства, предназначенные для удовлетворения спроса на формирование, сохранение и развитие целостных и целых экосистем, должны будут играть существенную роль в структуре общественного производства. По сути спрос на целостные и целые экосистемы увеличивается и единственный путь – переход на индустриальный уровень удовлетворения спроса, создание высокотехнологичной экологической индустрии: информационной, человеческой, материальной, энергетической, природной, недвижимости и машин, финансовой, коммуникационной.
• Для эффективного формирования целостности и системности собственного мышления и практики профессиональной деятельности рекомендуется провести работу по следующим темам (консультации на сайте systemtechnology.ru):
1) разработка комплекса формул Законов индустриализации, машинизации, технологизации экологической деятельности и методик их применения;
2) разработка комплекса условий Принципа целостности экологической деятельности;
3) разработка комплекса правил Закона целостности экологической деятельности;
4) разработка комплекса правил Закона развития целого для экологической деятельности;
5) разработка комплекса условий Принципов развития целого для экологической деятельности;
6) разработка системной философии экологической деятельности;
7) разработка метода системной технологии экологической деятельности.
• Рассмотрим вопросы обеспечения целостности государственного управления с применением системной технологии. Одной из особо важных проблем реформирования государственной службы России является системная проблема целостности государственной службы как института государственного управления.
Во многих публикациях и документах, посвященных административной реформе, напр., в аналитическом обзоре НИСИПП[99], отмечена необходимость изменения самой сути государственного управления. Причина общеизвестна – системы государственного управления все менее и менее отвечают современным и будущим потребностям выживания, сохранения и развития стран мирового сообщества.
Основной вопрос – какова необходимая суть государственного управления и какой метод надо применить для изменения сути государственного управления в направлении от существующей к необходимой.
Ответ – инновационной сутью государственного управления должна являться целостность государственного управления. Для построения целостности государственного управления предложен метод системной технологии.
О концепции «государство – эффективный менеджер». Известно, что в основу проводимых административных реформ, как в развитых, так и в развивающихся странах, в том числе и в России, легла «новая концепция государственного управления». На смену государству-администратору будет построено государство – эффективный менеджер. По своей сути, поставлена задача – догонять крупные корпорации по менеджменту, объясняемая успешностью этих корпораций. Но, прежде всего, необходимо сопоставить цели выживания, сохранения и развития корпораций и государства, так как степень достижения поставленной цели – это характеристика применимости соответствующего менеджмента. Кроме этого, суть цели и критерия эффективности менеджмента оказывают определяющее влияние на суть методов и технологий менеджмента, которые выбираются, как известно, как целесообразные, т.е. сообразные цели менеджмента. Цель менеджмента корпорации это эффективное саморазвитие фактических владельцев корпорации с установлением целесообразных (сообразных этой цели) ограничений на развитие других (государства, в том числе). А цель государственного управления это эффективное развитие других (нации, страны, гражданина, семьи, природы, корпораций и т.д.) с установлением целесообразных ограничений на собственное развитие.
И, как результат попыток формирования государственного менеджмента по типу успешных корпораций, мы видим, что государство во многих случаях уже занято саморазвитием с установлением ограничений на развитие других. Реализация этой концепции приводит к сращиванию государства и крупного бизнеса по «духу менеджмента», не способствует снижению уровня коррупции. Как наглядный пример, можно привести борьбу государств с контрафактной продукцией. Государства принимают меры к уничтожению контрафактной продукции, так как ее производство и реализация нарушают нормы законодательства об авторских правах и смежных правах. Конечно, некачественная контрафактная продукция недопустима. Но контрафактная продукция (например, программные системы для компьютеров) во многих случаях не уступает по качеству продукции фирм, обладающих авторскими правами и смежными правами на данные программные системы. В то же время эта контрафактная продукция приемлема потребителю по цене, чего зачастую нельзя сказать о продукции «фирменной».
Почему же государство уничтожает контрафактную продукцию отечественных малых предприятий, но не принимает регулирующих мер по отношению к ценам законных производителей? Ответ прост. Крупные корпорации и государство настолько близки «по духу менеджмента», по уверенности в праве на монопольное положение, что не возникает даже вопроса о включении рыночных регуляторов цен на продукцию. Ведь простой анализ показывает, что государство во многих случаях защищает права корпораций на сверхприбыли и на монопольное положение на рынке. А ведь корпорациям, в соответствии с законами рынка, во многих случаях (не во всех, конечно) достаточно снизить цены и контрафактная продукция исчезнет. Но они не хотят конкурировать на рынке и привлекают государство для уничтожения конкурентов, вместо того, чтобы заключить с ними соответствующие соглашения об авторских правах и смежных правах, привлечь их в качестве малых предприятий для изготовления и распространения разработанного ими продукта. И задача государства в борьбе с «контрафактом» – способствовать установлению взаимодействия зарубежных корпораций и отечественных малых предприятий.
Время объясняющих и догоняющих теорий государственного управления прошло и это подтверждается неуспешной практикой административной реформы практически всех стран мирового сообщества, решающих проблему реформирования государственной службы. Недостаточно объяснить, почему менеджмент корпораций лучше деятельности государства – администратора и почему надо догонять корпорации по способу управления. Зная при этом, что менеджмент корпораций не реже приводит к краху корпораций, чем к их успеху, а успех успешных корпораций – это победа в конкурентной борьбе с другими корпорациями и, причем, этот успех – не всегда заслуга успешного менеджмента производства корпорации. Часто это заслуга менеджеров, а не менеджмента. Возникает, наряду с другими, и такой вопрос: как объяснить конкурентную возможность краха государства, заложенную в сути самой «новой концепции» государственного управления и доказать, что иначе нельзя изменить суть государственного управления к лучшему? На этот вопрос в рамках концепции «государство – эффективный менеджер» нет ответа. По изложенным основаниям успешное внедрение государственного менеджмента, как подобия менеджмента успешных корпораций, не является гарантией успешного выживания, сохранения и развития российского государства и страны.
Необходима инновация в виде целостности государственного управления с соответствующим правовым обеспечением. Целостное государственное управление позволит, с одной стороны, избежать рисков сильного влияния на государственное управление концепций и методов различных других субъектов национального управления – бизнеса, неправительственных организаций и т.д. С другой стороны, заимствование концепций и методов менеджмента бизнеса и других субъектов национального, глобального управления, а также государственного управления других стран может производиться только для усиления методов решения проблем выживания, сохранения и развития нации и государства. Необходима и инновация в виде метода построения целостности государственного управления.
Концепция целостности системы государственного управления. В утвержденной Указом Президента Российской Федерации В.В. Путиным «Концепции реформирования системы государственной службы Российской Федерации» (15.08.2001г. Пр-1496) в качестве цели реформирования государственной службы определено создание целостной системы государственной службы. С выходом данного Указа Президента России пришло время опережающих теорий, направленных на создание целостного государственного управления. Образно говоря – в формате государственной службы, как института государственного управления, необходимо построение целостного российского профессионального поля государственного управления будущим российской нации.
Предлагается следующая концепция целостности системы государственного управления. Целостная (целая) система государственного управления это совокупность частей потенциала нации (страны), обеспечивающая выживание, сохранение и развитие частей потенциала нации и национального потенциала, как целостностей. Целостная система государственного управления включает в себя целостное ядро – субъект государственного управления в виде совокупности его институтов. Основной институт государственного управления – система государственной службы. Целостная система государственного управления включает в себя также и объект государственного управления в виде национального потенциала и его частей. Национальный потенциал рассматривается как целостная совокупность своих частей – человеческого, природного, информационного, энергетического, коммуникационного, материального, финансового потенциалов, потенциала машин и недвижимости. И, далее, целостная система государственного управления включает в себя результат государственного управления (напр., достижение на практике новой ступени развития образованности, просвещенности и воспитанности населения страны в трудоспособном возрасте).
Основной постулат целостности государственного управления, в соответствии с целостным методом, сформулирован в следующем виде: объект, субъект и результат целостного государственного управления должны быть представлены одной общей моделью целостной деятельности.
В качестве такой модели предлагается целостная совокупность теории и практических методик государственного системного управления, построенная на основе метода системной технологии. Метод системной технологии направлен на формирование и развитие целостности государственной управленческой деятельности системы государственной службы, государственного органа, государственного служащего. В рамках предлагаемого государственного системного управления могут проводиться различные реформы, не нарушающие целостность, но улучшающие характеристики и свойства государства, нации и страны, как частей целостной системы. Внедрение системной технологии позволило бы создать модели опережающего, системного и технологичного государственного управления. Это уровень целостного менеджмента, к которому корпорации еще не пришли. Системная технология – наивысший «технологический уклад» управления и любой другой деятельности.
Факторы целостности государственного управления. На взгляд автора, на формирование и развитие целостности системы государственного управления влияют три взаимосвязанных фактора:
Политико-идеологический. Влияет на формирование целостной государственной идеологии, а также политик, программ и проектов ее осуществления в среде государственных служащих, государственных органов и уровней государственной службы. Направлен на формирование и развитие политико-идеологической целостности государственной системы.
Организационно-административный. Влияет на формирование целостной системы организации деятельности государственных служащих, а также соответствующих административных механизмов ее реализации в среде государственных служащих, государственных органов и уровней государственной службы. Направлен на формирование организационно-административной целостности государственной системы.
Профессионально-технологический. Влияет на формирование целостной системы профессиональных технологий деятельности государственных служащих, а также соответствующих системных механизмов ее реализации в среде государственных служащих, государственных органов и уровней государственной службы. Направлен на формирование профессионально-технологической целостности государственной системы.
• Эти факторы представляют собой единую систему воздействия, в которой ключевым является профессионально-технологический фактор. Он оказывает ключевое влияние на формирование результатов политико-идеологического и организационно-административного факторов воздействия на целостность государственной системы. Собственно вопросы политико-идеологического и организационно-административного факторов здесь не рассматриваются.
Профессионально-технологическая целостность государственного управления, по мнению автора, может быть обеспечена применением метода системной технологии формирования и реализации государственных управленческих решений, проектов, программ, политик. С помощью этого метода можно применять в практике управленческой деятельности государственной службы целостную систему методик применения принципов, правил, процедур, моделей и законов системной философии деятельности: Принципа и Закона системности государственного управления; Принципов и Закона развития систем и технологий государственного управления; Закона технологизации государственного управления; Закона неубывающего разнообразия методов государственного управления; принципов и правил государственной системной информатики, комплекса моделей системного формирования, принятия и реализации государственных решений, проектов, программ, политик (всего около 60-ти базовых методик)[100].
На самом же деле, в практике государственной службы имеет место раздельность, несогласованность и эпизодичность действий по обеспечению системности и высоких технологий государственного управления. В результате имеют место несистемные технологии и нетехнологичные системы государственного управления, которые тормозят развитие системы государственного управления. Во многих случаях в государственном управлении формируются системы и технологии управления вчерашнего дня. В то же время, как системность, так и технологии государственного управления России должны быть опережающими.
Отсутствует системность в заимствовании и применении информационных технологий государственной службы и государственного управления зарубежных стран. Несомненно, информационные технологии – важнейший элемент поддержки процессов управления, но это не технологии управления. И государственная служба как институт государственного управления России должна функционировать в едином управленческом технологическом пространстве. Но понятие технологий государственного управления зачастую подменяется понятием информационных технологий. В результате разными ведомствами строятся несистемные технологии информационного обеспечения государственной деятельности, что, в результате, не ведет к формированию целостности российского государственного управления.
Главная причина – отсутствие единой для всей государственной службы России целостной системной методологии управления и, как следствие, – целостной (и целой) системы методик практического осуществления государственного управления.
Целостная система методик осуществления государственного управления обеспечит системность и высокие технологии государственного управления, что будет способствовать целостности государственной службы как механизма государственного управления. В этом случае механизм государственного управления будет содержать единые принципы, правила и операции формирования и осуществления государственных управленческих решений (проектов, программ, политик) каждым государственным служащим, каждым органом и каждым уровнем государственной службы. Внедрение метода системной технологии приведет к построению и использованию опережающих системных технологий и высокотехнологичных систем государственной управленческой деятельности каждого государственного служащего, каждого государственного органа и каждого уровня государственной службы России в виде целостной системы методик формирования и осуществления государственных управленческих решений (проектов, программ, политик).
В результате будет решена системная проблема обеспечения профессионально-технологической целостности государственной службы России. Эту проблему можно решать во взаимосвязи с развитием политико-идеологической и организационно-административной целостностей системы государственной службы как механизма государственного управления в направлении создания российского системного стиля государственного управления.
Формирование и реализацию программы формирования целостности государственной службы России можно разработать на основе следующих исходных положений:
Цель: создание целостного функционирования государственной службы России.
Задания: Задание 1. Разработать и осуществить инновационные мероприятия по формированию целостности государственной службы России на основе метода системной технологии.
Задание 2. Обеспечить научное и консультационное сопровождение практического применения метода системной технологии в государственной службе России.
Задание 3. Обеспечить образовательное сопровождение применения метода системной технологии в государственной службе России (магистратура, послевузовское и дополнительное профессиональное образование).
Задание 4. Создать и внедрить в практику государственного управления автоматизированную системную технологию формирования, принятия и реализации государственных управленческих решений.
Ожидаемые результаты: повышение эффективности управленческой деятельности государственной службы России за счет целостного функционирования на основе системных технологий государственной управленческой деятельности. Формирование российского системного стиля государственного управления.
• Для эффективного формирования целостности и системности собственного мышления и практики профессиональной деятельности рекомендуется провести работу по следующим темам (консультации на сайте systemtechnology.ru):
1) методики применения комплекса формул Законов индустриализации, машинизации, технологизации государственной деятельности;
2) методики применения условий Принципа целостности государственной деятельности;
3) методики применения правил Закона целостности государственной деятельности;
4) методики применения правил Закона развития целого государственной деятельности;
5) методики применения условий Принципов развития целого государственной деятельности;
6) разработка программы формирования целостности государственной службы России.
• Системная философия необходима для формирования целостных теорий и практик осуществления специально-научного знания — культурологии, социологии, других наук. Для многих разделов специально-научного знания и практики системность, системный подход, целостность, целое являются существенными понятиями.
Так, известно[101], что «культура (лат. cultura – возделывание, воспитание, образование) – система исторически развивающихся надбиологических программ человеческой деятельности, поведения и общения, выступающих условием воспроизводства и изменения социальной жизни во всех ее основных проявлениях» и что «социальная философия – раздел философии, определенным образом описывающий качественное своеобразие общества, его законы, социальные идеалы, генезис и развитие, судьбы и перспективы, логику социальных процессов. Доминантной характеристикой социальной философии как совокупности социально-нормативных учений можно считать установление норм общественной жизни, а не рассмотрение ее в конкретной действительности». Известно также, что «системный подход в культурологии – методологическая основа культурологии как науки»[102].
Использовать системную философию в качестве методологической основы специально-научного знания можно следующим образом.
Для этого необходимо выделить три ступени реализации этой возможности:
– первая ступень: применение целостного метода, как философии целого, для построения целостной философии (философии целого) специально-научного знания. Могут быть построены, например, целостная социальная философия, как раздел социальной философии, целостная философия культуры, как раздел философии культуры. На этой ступени применяются и развиваются, применительно к философии данной области знания, определения, а также постулаты и иные положения целостного метода системной технологии. Формируется код целого данной области специально-научного знания и практики;
– вторая ступень: применение метода системной философии для построения комплекса целостных теорий специально-научного знания, реализующих соответствующую целостную философию с применением моделей целостных и целых систем, Принципов, правил, Законов системной философии. На этой ступени метод системной философии можно применить, например, для построения комплекса социологических теорий (или культурологических теорий) реализующих целостную социальную философию (либо целостную философию культуры). Вполне возможна необходимость использования двух и более целостных философий специально-научного знания для построения какой-либо одной теории из комплекса теорий специально-научного знания. В свою очередь, при построении комплекса теорий, как целостного комплекса, возможно и определенное упорядочение в данном комплексе. Так, какие-либо теории могут быть выделены в качестве ключевых, другие – в качестве узловых, остальные – в качестве частных[103]. При этом, по определению, ключевые теории содержат модели формирования узловых и частных теорий, узловые – модели формирования частных теорий. С другой стороны, ключевые теории позволяют разрешать ключевые проблемы данной области специально-научного знания, а также содержат целостную основу для разрешения узловых и частных проблем. Узловые теории позволяют разрешать узловые проблемы данной области специально-научного знания, а также содержат целостную основу для разрешения частных проблем. Ключевые теории представляют собой реализации кода целого в узловых и частных теориях данной области специально-научного знания и практики. Узловые теории представляют собой реализации кода целого в частных теориях данной области специально-научного знания и практики. На этой ступени могут применяться как узкоспециальные модели данной области знания, так и эти же модели, преобразованные с помощью моделей целостных и целых систем. Это могут быть, например, модели социальных, физических, энергетических, биологических, психологических и иных процессов, структур и систем, традиционно применяемые в данной области знания.
– третья ступень: применение метода системной технологии для построения целостных прикладных теорий специально-научного знания и целостных практик их реализации, напр., прикладных социологических теорий, направленных на построение системных технологий социального аудита, экспертизы, анализа, исследований, проектирования, управления и т.д. Или – на построение системных технологий аудита, анализа, экспертизы, исследований, проектирования, управления, мониторинга культуры и ее применения.
В результате, к примеру:
На первой ступени будет построена целостная социальная философия, рассматривающая общество, как целостное и целое. В целостном и целом обществе будут выделены и описаны ядро целого, код целого. Будет произведено формирование объектов, субъектов и результатов, как триад, направленных на разрешение проблем выживания, сохранения и развития общества, как целостного и целого. Целостная социальная философия будет также содержать определения и постулаты целостного метода социальной философии, Принципы, правила, Законы, модели целостной и целой деятельности общества.
На второй ступени будет построена, к примеру, целостная виталисткая социология, как ключевая теория в комплексе социологических теорий. Основной моделью целостной и целой системы тогда может быть принята ДНИФ-модель целостной и целой системы.
На третьей ступени будут построены, напр., прикладные социологические теории, направленные на построение системных технологий социального аудита, экспертизы, анализа, исследований, проектирования, управления и т.д. Будут также разработаны методики формирования и реализации указанных системных технологий практики социальной деятельности.
Такая же последовательность ступеней применения системной философии может быть осуществлена и в отношении культурологии. В результате применения единой парадигмы системной философии к социологии и культурологии все разделы данных наук и соответствующих практик представят собой целостные комплексы знания и практики, легко сопрягаемые друг с другом. В общем случае, в результате применения единой парадигмы системной философии все разделы определенной науки и практики представят собой целостный комплекс знания и практики, легко сопрягаемый с любыми другими целостными областями специально-научного знания и практики.
Предлагаемая совокупность ступеней формирования теорий и практик может использоваться для целостного инженеринга специально-научного знания и соответствующих практик. Так, возможно применение системной философии для построения целостной философии экономики во взаимосвязи с другими областями специально-научного знания и практики. В комплексе решений системной философии экономики будет содержаться и ответ на вопрос, поставленный Д.С. Львовым, об аксиоматическом обосновании нравственной доктрины экономического развития страны[104]. Целостная философия экономики, построенная на основе целостной и целой ДНИФ-модели, будет содержать в целостном единстве такие из ее возможных частей, как духовную, нравственную, интеллектуальную и иные.
Возможно также применение единой парадигмы системной философии для построения целостных частей теорий и практик «на стыке». Известно мнение Л.
Гумилева: "В 18–19 веках благодаря дифференциации наук было накоплено огромное количество сведений, к началу 20 века ставшее необозримым. Образно говоря, могучая река Науки была пущена в ирригационные арыки. Животворная влага оросила широкую территорию, но озеро ранее ею питаемое, т.е. целостное миросозерцание, высохло…", а также, что "узкая специализация полезна лишь как средство накопления знаний: дифференциация дисциплин была этапом, необходимым и неизбежным, который станет губительным, если затянется надолго. Накопление же любых сведений без систематизации их на предмет широкого обобщения – занятие довольно бессмысленное". Системная философия призвана решить проблему целостной систематизации знаний, актуальную не первый век, действуя в комплексе с теми другими научными дисциплинами, предмет которых – систематизация знания.
Мир, в котором мы живем, не поделен на миры, соответствующие сложившимся областям научного знания. Это единый мир и задача ученого и специалиста – самому постичь и помочь любому человеку обрести целостное знание. В том числе и целостное знание о национальной идее, идеологии, программах и проектах, государстве и нации, народе, стране и т.д. Пример великих мыслителей говорит о том, что ученый строит единое здание науки, постигает единую систему знания. Причем независимо от того, с чего он начал это занятие – с гуманитарных, естественнонаучных, технических либо других частей целой и целостной системы знаний. Этому помогает сложившаяся дифференциация и взаимопроникновение областей знания. Дифференциация наук и практических специализаций – не более как средство выбора исходной позиции для начала пути в науке; выбор этой позиции определяется, конечно, первоначальной подготовкой и склонностями будущего специалиста и ученого[105]. Переходя от узкоспециального научного и практического знания к системной философии соответствующей отрасли науки и практики мы, образно говоря, находим «… начало того конца, которым заканчивается начало[106]».
При проведении исследований по предложенным в данном разделе темам необходимо уделить внимание критическому сопоставлению представлений о целом системной философии с представлениями холизма и других теорий и учений о формировании и реализации целостной и целой деятельности.
Более 800 000 книг и аудиокниг! 📚
Получи 2 месяца Литрес Подписки в подарок и наслаждайся неограниченным чтением
ПОЛУЧИТЬ ПОДАРОК