1.5. Генератор 3Ч

Нечаев И. [5]

Предлагаемый генератор звуковой частоты вырабатывает синусоидальные колебания частотой от 25 Гц до 25 кГц в трех поддиапазонах: 25-250, 250-2500, 2500-25000 Гц при коэффициенте нелинейных искажений (клирфакторе) не более 0,3 % и напряжении генерируемого сигнала на выходе 1,5 В.

Питание генератора постоянным стабилизированным напряжением 15 В осуществляется от любого источника, способного отдать ток до 30 мА.

Принципиальная схема генератора показана на рис. 7.

Рис. 7. Принципиальная схема звукового генератора

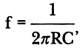
Генератор собран по классической схеме с использованием моста Вина на операционном усилителе DA1 типа К140УД8А. Выход микросхемы (вывод 7) подключен к базе транзистора VT2, который используется в схеме эмиттерного повторителя, нагруженного резисторами R13 и R14. С эмиттера транзистора сигнал поступает на неинвертирующий вход операционного усилителя (вывод 4) через мост Вина. Последовательное плечо этого моста образовано резистором R9, R10 или R11 и конденсатором С3.2, а параллельное плечо — резистором R3, R4 или R5 и конденсатором С3.1. По этой цепи осуществляется положительная обратная связь, благодаря которой происходит генерация синусоидальных колебаний такой частоты, на которую настроен мост Вина. Эта частота определяется произведением сопротивлений резисторов моста на емкости конденсаторов:

где частота f выражается в герцах, сопротивления R — в омах, емкости С — в фарадах. При этом сопротивления резисторов и емкости конденсаторов в обоих плечах должны быть одинаковыми, например R3 = R9, С3.1 = С3.2. Таким образом, для изменения частоты генерации в качестве элемента настройки могут быть выбраны либо оба резистора, которые должны быть переменными и в любом положении иметь одинаковые сопротивления, либо оба конденсатора, что удобнее, так как промышленностью выпускаются двухсекционные агрегаты конденсаторов переменной емкости для радиоприемников. Сдвоенные же переменные резисторы обладают худшей идентичностью сопротивлений в разных положениях ротора.

С части нагрузки эмиттерного повторителя, переменного резистора R14 снимается выходной сигнал генератора и через разделительный конденсатор С4, отделяющий постоянную составляющую напряжения, поступает на клемму «Выход 1:1». Резисторы R15 и R16 образуют декадный выходной делитель для получения сигнала на клемме «Выход 1:10» уровнем в 10 раз меньшим, чем на основном выходе.

Для поддержания постоянной амплитуды генерируемого сигнала, что обеспечивает хорошую форму сигнала и малый клирфактор, служит цепь отрицательной обратной связи с выхода эмиттерного повторителя на инвертирующий вход операционного усилителя (вывод 3). В эту цепь входят полевой транзистор VT1, диод VD1, переменный резистор R7 и другие детали.

Печатная плата размерами 50х83 мм представлена на рис. 8.

Рис. 8. Печатная плата звукового генератора

Более 800 000 книг и аудиокниг! 📚

Получи 2 месяца Литрес Подписки в подарок и наслаждайся неограниченным чтением

ПОЛУЧИТЬ ПОДАРОК