5.1. Сенсорный звонок

Гончар А. [16]

В этой схеме используется обычный электрический звонок, питающийся от сети переменного тока напряжением 220 В. Но вместо звонковой кнопки используется сенсорная пластина. Принципиальная схема звонка показана на рис. 22.

Рис. 22. Схема сенсорного звонка

Устройство постоянно подключено к сети. Выпрямленное диодом VD3 и стабилизированное с помощью VD4 напряжение на конденсаторе С1 составляет примерно 20 В. Составной транзистор VT1, VT2 заперт. При касании сенсорной пластины наведенное напряжение выпрямляется диодом VD1 и отпирает составной транзистор. Срабатывает электромагнитное реле К1 и контактами К1.1 включает звонок. После разряда конденсатора С1 на обмотку реле оно отпускает, и звонок выключается. Теперь следует прекратить прикосновение к сенсору. Если же продолжать его касаться, реле не сработает, так как ток ограничивается большим сопротивлением резистора R5. Таким образом, длительность звучания звонка определяется скоростью разряда конденсатора. Диод VD2 защищает транзисторы от пробоя напряжением самоиндукции обмотки реле.

Выбор электромагнитного реле определяется следующим образом: начальный ток разряда конденсатора через обмотку реле в момент отпирания составного транзистора должен превышать ток срабатывания реле. Длительность звучания звонка (время разряда конденсатора от начального тока до тока отпускания реле) должна быть не менее половины секунды.

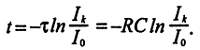
Ток разряда конденсатора выражается формулой:

где

i — мгновенное значение тока,

Io — начальный ток разряда,

τ — постоянная времени цепи разряда, равная произведению емкости конденсатора на сопротивление обмотки реле.

Если известен ток отпускания реле Iк, можно найти время t, за которое ток разряда изменится от I0 до Iк:

Используем электромагнитное реле РЭС10, паспорт РС4.529.031-03, контакты которого допускают коммутацию переменного напряжения 220 В. Его обмотка имеет сопротивление 630 Ом, ток срабатывания 22 мА, ток отпускания 3 мА. Если конденсатор заряжен до 20 В, начальный ток разряда составит 20/630 = 31,8 мА, что гарантирует срабатывание реле. Отношение Iк/I0 окажется равным 0,0943 и натуральный логарифм этого отношения -2,36. Постоянная времени цепи разряда — 200 мкФ х 630 Ом — дает 0,126 с.

Тогда t = 0,126 х 2,36 = 0,3 с, чего совершенно недостаточно. Следует заметить, что выбор другого реле задачи не решает. Поэтому в схеме следует увеличить емкость конденсатора до 500 мкФ. Тогда пропорционально увеличится время звучания до 0,75 с.

Более 800 000 книг и аудиокниг! 📚

Получи 2 месяца Литрес Подписки в подарок и наслаждайся неограниченным чтением

ПОЛУЧИТЬ ПОДАРОК