Приложение ЧТО ТАКОЕ ДЕЦИБЕЛЫ И ЗАЧЕМ ОНИ НУЖНЫ
Многие величины, например коэффициенты усиления, уровни громкости или шумов, коэффициенты частотных искажений и др., определяются отношениями напряжений, токов или мощностей. Так коэффициент усиления по напряжению выражается отношением напряжения сигнала на выходе усилителя к напряжению на его входе. Уровень громкости находят как отношение мощности звукового давления сигнала к заданному «начальному» уровню мощности, соответствующему порогу слышимости человеческого уха. Коэффициент частотных искажений усилителя звуковой частоты определяется отношением коэффициента усиления сигнала средней частоты к коэффициенту усиления сигнала нижней или верхней частоты диапазона, на который рассчитан усилитель. Во всех этих случаях важно отношение указанных величин, а не они сами. Поэтому в электротехнике, радиотехнике, акустике и других областях физики такие отношения величин принято выражать не в абсолютных значениях, а в логарифмических.
Основной твердо установившейся международной единицей подобных отношений принят децибел (дБ). Определение параметров в децибелах производится по следующим формулам:
для отношения напряжений 
для отношения мощностей 
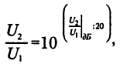
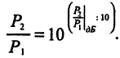
Наоборот, если известны параметры, выраженные в децибелах, можно вычислить соответствующие им отношения напряжений или мощностей:
для отношения напряжений 
для отношения мощностей 
Использование отношений одноименных физических величин в логарифмической форме очень удобно. Так, достаточно указать значение параметра в децибелах, не оговаривая, идет ли речь об отношении напряжений, — а также токов — или же об отношении мощностей, так как в обоих случаях число децибел оказывается одинаковым. Кроме того, если речь идет, например, о многокаскадном усилителе, сквозной коэффициент усиления которого равен произведению коэффициентов усиления каждого каскада, сквозной коэффициент усиления, выраженный в децибелах, равен сумме коэффициентов усиления каждого каскада, также выраженных в децибелах, а суммировать всегда проще, чем перемножать.
Часто под руками нет таблицы десятичных логарифмов и таблицы степеней числа 10, что исключает возможность самостоятельно вычислить те или другие параметры, выраженные в децибелах, или преобразовать их в абсолютные значения отношений. С помощью приведенной ниже таблицы можно определить параметр в децибелах, если известно отношение напряжений, токов или мощностей, и наоборот, если известно значение параметра, выраженное в децибелах, можно определить отношение напряжений, токов или мощностей. Когда отношение абсолютных величин меньше 1 (что соответствует ослаблению), его значение в децибелах должно быть взято с отрицательным знаком. Аналогично, если параметр выражен в децибелах и он является отрицательным, значит, отношение соответствует ослаблению.
Если отношение конкретных напряжений (токов) более 10 или отношение мощностей более 100, для пересчета в децибелы его разбивают на сомножители, затем находят по таблице значение децибел для каждого сомножителя, после чего их складывают.
Так, например, если U1/U2 = 28, разбиваем это число на сомножители: 28 = 2,8 х 10. Затем преобразуем каждый сомножитель в децибелы: 2,8 — > 9 дБ, 10 — > 20 дБ и складываем их (U1/U2)дБ = (9 + 20) дБ = 29,0 дБ.
Если же отношение, выраженное в децибелах, превышает 20 дБ и нужно найти абсолютное значение, сначала его разбивают на слагаемые, находят по таблице отношение для каждого слагаемого и затем их перемножают.
Так, например, если (Р1/Р2)дБ = 30 дБ, разбиваем это число на слагаемые: 30 дБ = (10 + 20) дБ; затем преобразуем каждое слагаемое в отношение мощностей 10 дБ — >10, 20 дБ —> 100 и перемножаем их Р1/Р2 = 10 х 100 = 1000.
Более 800 000 книг и аудиокниг! 📚
Получи 2 месяца Литрес Подписки в подарок и наслаждайся неограниченным чтением
ПОЛУЧИТЬ ПОДАРОК