Несколько примеров бустродействующих переключательных схем

В этом разделе мы проанализируем работу нескольких простых схем, в основе которых лежат только что обсуждаемые методы.

13.25. Высоковольтный усилитель

Начнем со схемы, изображенной на рис. 13.55.

Это простой инвертирующий каскад, предназначенный для возбуждения пьезоэлектрического кристалла импульсами 100 В, первоначально генерируемыми ТТЛ-логикой. Параметры выхода ТТЛ и, следовательно, сигнала, подаваемого на базу, приблизительно равны указанным на рисунке величинам. В этих расчетах мы не будем учитывать r'б, которое мало по сравнению с сопротивлением источника.

Время нарастания. Начнем с определения скорости роста коллекторного напряжения на выходе из-за «интегрирования»:

Теперь найдем напряжение на коллекторе, при котором процесс напряжения на выходе из линейного переходит к экспоненте:

Это означает, что нарастание коллекторного импульса происходит только экспоненциально, так как ток обратной связи (CкбdUК/dt) недостаточен, чтобы задержать переход базы в состояние проводимости, задаваемое состоянием источника. Постоянная времени для коллекторной цепи равна RК(Сн + Скб), или 0,33 мкс, а время нарастания (по уровню от 10 до 90 %) равно 2,2 постоянной времени, т. е. 0,73 мкс. Отсюда ясно, что преобладающим в нарастании оказывается влияние коллекторного сопротивления и ёмкости нагрузки.

Время спада. Для анализа спада используем формулу, полученную ранее, и найдем:

Последний член зависит от UK, но он незначителен по сравнению с первым членом в скобках. Если это не так, то вам придется оценивать эту величину при нескольких значениях коллекторного напряжения, чтобы получить правильную картину формы спада. Здесь следует отметить, что рассчитанное время спада соответствует частоте около 3 МГц и, следовательно, используемая нами величина h21э = 100 вполне реальна (fT = 300 МГц).

Если рассчитанное время нарастания или время спада соответствует частоте более высокой, чем предполагалось первоначально, то необходимо вернуться и пересчитать время переходного процесса с новым h21э, полученным из первой оценки времени переключения. Этот метод последовательных приближений обычно дает удовлетворительный ответ уже на втором этапе.

Форма выходного импульса. Для этой схемы форма коллекторного сигнала соответствует приведенной на рис. 13.56.

Рис. 13.56.

На положительном фронте преобладает влияние постоянной времени ёмкости нагрузки и коллекторного сопротивления, в то время как на спаде больше сказывается ёмкость обратной связи в сочетании с сопротивлением источника. Другими словами, напряжение на коллекторе падает с такой скоростью, что ток через ёмкость обратной связи почти достаточен, чтобы подавить отпирающий ток базы и вывести базу из состояния проводимости.

В наших допущениях мы всюду считали, что фронты импульса на выходе ТТЛ много короче, чем на выходе нашей схемы. Обычно времена нарастания и спада ТТЛ равны ~ 5 нc, что соответствует нашему предположению.

13.26. Усилитель с «открытым коллектором» при работе на шину

Предположим, мы хотим организовать с помощью схем с открытым коллектором управление шиной ТТЛ с выхода nМОП-схемы. Это можно осуществить, используя n-p-n-инвертирующий каскад, как показано на рис. 13.57.

nМОП-прибор, работающий от 4–5 В (см. разд. 9.09), имеет малую нагрузочную способность, поэтому необходимо, чтобы резистор базы был велик. Для того, чтобы подчеркнуть эффекты, связанные с наличием параметров, подобных Скб, мы выбрали два очень распространенных транзистора.

Время нарастания рассчитывается по приведенной выше методике. Для линейного нарастания вследствие интегрирования имеем:

Выбор транзистора. Ситуация видна из рис. 13.58.

Рис. 13.58.

Параметры, полученные для 2N5137, полностью определяются действием емкости обратной связи, усиливающимся из-за относительно высокого сопротивления источника сигнала. Переходные процессы для 2N4124, вероятно, оценены чуть-чуть оптимистично, поскольку они соответствуют частоте около 10 МГц, при которой h21э, скорее всего, несколько ниже предполагаемого значения.

Интересно измерить время достижения напряжения порога ТТЛ (~1,3 В) как основной параметр системы с запуском вентилей ТТЛ шинными сигналами. Если не учитывать времена рассасывания и задержки, то времена достижения порогов ТТЛ будут следующие:

Времена нарастания и спада, измеренные нами, находятся в разумном согласии с предсказанными по нашей несколько упрощенной модели, за исключением, пожалуй, лишь времени нарастания для 2N4124. Имеется несколько возможных объяснений, почему рассчитанное время нарастания в этом случае получилось слишком малым. В расчетах значение h21э бралось при 10 МГц, в то время как время нарастания 17 нс не соответствует более высоким частотам и, следовательно, более низким значениям h21э. Кроме того, практические измерения для этого транзистора дают Скб = 2,2 нФ при 10 В и Скб = 3 пФ при 2 В. Любопытно, что использовавшийся нами 2N5137 имел реально гораздо меньшее значение Скб (~5 пФ), чем указанное в паспорте, и поэтому нам пришлось добавить небольшой конденсатор в схему, чтобы «довести» Скб до «паспортной величины». Это, скорее всего, означает, что технологический процесс изменился уже после публикации данных о параметрах транзистора.

Упражнение 13.2 Проверьте результаты расчётов для dU/dt (нарастание и спад) и Uк.

Снижение питания до +3 В. Заметим, что время достижения порога ТТЛ при переходе из состояния ВЫСОКОГО уровня к НИЗКОМУ гораздо больше, чем при обратном переходе, даже если скорости нарастания и спада выходного сигнала (в случае схемы на 2N4124) почти одинаковы. Это связано с тем, что пороговое напряжение ТТЛ расположено несимметрично между +5 В и землей, и поэтому коллекторное напряжение на спаде для достижения порога должно измениться на большую величину. По этой причине шины ТТЛ часто подключаются к источнику +3 В (для этого иногда используют пару последовательно соединённых диодов, подключенных к +5 В), или каждая линия шины может быть подключена к делителю напряжения, как показано на рис. 13.59.

Рис. 13.59.

Упражнение 13.3. Рассчитайте время нарастания и спада и время задержки распространения для 2N4124, управляющего описанной выше шиной с Сн = 100 пФ. Результат изобразите графически.

13.27. Пример схемы: предусилитель для фотоумножителя

В гл. 15 будут рассмотрены так называемые фотоэлектронные умножители (ФЭУ), устройства, широко используемые в качестве детекторов света, сочетающих высокую чувствительность с высоким быстродействием. Фотоумножители находят применение и там, где измеряется не собственно световое излучение, как, например, в качестве детекторов частиц высоких энергий, в которых кристалл сцинтиллятора при бомбардировке его частицами дает световые вспышки. Чтобы полностью использовать все возможности фотоумножителей, необходим зарядово-чувствительный быстродействующий дискриминатор — схема, которая генерирует выходной импульс при условии, что импульс заряда на входе превышает некоторый порог, соответствующий детектируемым световым фотонам.

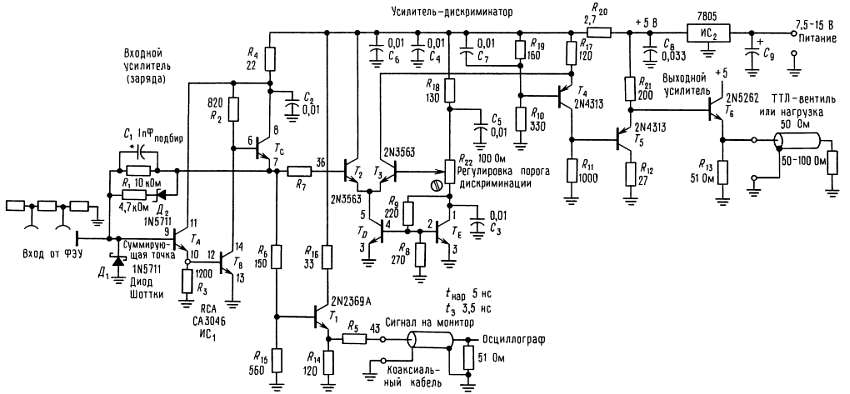
На рис. 13.60 приведена схема быстродействующего предусилителя для фотоумножителя и дискриминатора, в которую входит ряд высокочастотных и переключательных устройств, обсуждаемых в этой главе.

Рис. 13.60. Быстродействующий зарядный усилитель для счета фотонов на фотоумножителе. Входная цепь должна иметь внешнюю «паразитную» емкость по крайней мере 10 пФ; для низкоемкостных входов (< 20 пФ) используют Ct = 0,5 пФ; при емкостях источника, достигающих 100 пФ, используют для С, от 1,0 до 1,5 пФ. Фотонный дискриминатор (используется для ФЭУ с высоким усилением); выход для ТТЛ: импульсы 20 нc; 50 Ом; порог 0,1–1,5 пКл, регулируемый; задержка 10 нc, разрешение двух импульсов 30 нc, 100 нc при перегрузке.

На выходе фотоумножитель выдает отрицательные импульсы зарядов (электроны отрицательны), причем длительность каждого импульса равна 10–20 нс. Импульсы большой амплитуды соответствуют детектируемым фотонам (квантам света), но имеется также и множество малых импульсов, которые возникают из-за шумов в самой фотоумножительной трубке и которые возникают должны отсекаться дискриминатором.

Описание схемы. Схема начинается с инвертирующего выходного усилителя (ТА—ТС), у которого обратная связь по току (и заряду) осуществляется через R1 и С1. Входной повторитель имеет малое выходное сопротивление и возбуждает ТВ (каскад усиления по напряжению), тем самым снижается влияние емкости обратной связи ТВ (Скб). Повторитель на выходе блока усиления ТС обеспечивает низкое выходное сопротивление, а ТВ — достаточное значение коэффициента усиления. Небольшой положительный импульс на эмиттере ТС соответствует отрицательному заряду, поступившему на вход с ФЭУ; обратная связь по постоянному току стабилизирует выход ТС примерно на уровне 2Uбэ. Т1 смещен как эмиттерный повторитель класса А и обеспечивает низкоомный «мониторный» выход для наблюдения усиленных импульсов с фотоумножителя, поступающих на дискриминатор.

Дифференциальный усилитель на Т2 и Т3 образует дискриминатор: порог сравнения устанавливается потенциометром R22, подключенным к источнику опорного напряжения (Те, работающий в режиме «диодного стабилизатора»), которое изменяется одинаково с входным напряжением покоя 2Uбэ усилителя. Такое «слежение» за диодным падением напряжения обеспечивается за счет того, что транзисторы ТА—ТE представляют собой монолитную транзисторную матрицу (СА3046) и все находятся при одной температуре. Транзистор Т4 вместе с Т3 образуют инверсную каскодную схему, обеспечивающую необходимые быстродействие и сдвиг уровня. Два каскада выходных повторителей, построенные на транзисторах с противоположной полярностью Т5 и Т6, чтобы компенсировать смещение Uбэ, завершают схему.

В этой схеме следует отметить некоторые интересные особенности. Чтобы получить хорошие характеристики по быстродействию, статические токи транзисторов выбираются сравнительно большими (дифференциальная пара Т2, Т3 имеет эмиттерный ток 11 мА, ток покоя Т5 равен 20 мА, а выходной транзистор потребляет 120 мА, чтобы обеспечить возбуждение нагрузки в 50 Ом). Заметим, что база каскодного каскада (Т4) шунтирована на U+, а не на землю, так как его входной сигнал связан с U+ через R17.

В дифференциальном каскаде в качестве источника эмиттерного тока используется токовое зеркало, «отражающее» ток опорного источника, что позволяет согласовать эти параметры схемы. Для снятия перегрузок используются Д1 и Д2. Хотя это и усложнит схему, ограничивающий диод Д1 можно подключить к коллектору TE (вместо земли), чтобы уменьшить отрицательные выбросы на входе.

Характеристики. На рис. 13.61 показана форма выходных импульсов и зависимость их длительности от величины входных импульсов (измеряемой как количество заряда). Эти выходные импульсы растягиваются при больших перегрузках, но общие характеристики достаточно хороши по сравнению с обычными предусилителями для фотоумножителей.

Рис. 13.61. Характеристика импульсов усилителя на рис. 13.60.

СХЕМЫ, НЕ ТРЕБУЮЩИЕ ПОЯСНЕНИЙ

13.28. Удачные схемы

Несколько удачных широкополосных схем изображены на рис. 13.62.

Рис. 13.62. Удачные схемы. а — широкополосный повторитель: высокое Z, малая входная емкость; б — усилитель: высокое Z, малая входная С; в — малошумящий видеоусилитель с малой входной емкостью (инвертирующий каскод).

Дополнительные упражнения. (1) Проработайте детально высокочастотный режим схемы (рис. 13.10), которая кратко описана в разд. 13.05. (а) Начните с повторения расчета частотных характеристик стыка предварительного усилителя и выходного каскада, эквивалентная схема которого изображена на рис. 13.12. Будьте внимательны при определении эквивалентных комплексных сопротивлений. Напишите одному из авторов, если вы обнаружите ошибку! (б) Теперь обратите внимание на то, что высокочастотный спад предварительного каскада начинается на существенно более высокой частоте, чем сопрягающая частота 180 МГц выходного каскада и его возбудителя. Особенно проверьте следующие точки: выходное (эмиттерное) сопротивление каскада T1, подключенное к емкостной нагрузке (см. рис. 13.11); выход Т2, работающий на почти такую же емкостную нагрузку (поскольку коллектор Т4 не заземлен); эмиттеры Т3 и Т4 и их емкостную нагрузку; коллектор Т4 с его емкостной нагрузкой.

(2) Чему равно сопротивление на входе отрезка коаксиального кабеля, когда (а) на дальнем конце цепь разомкнута и длина составляет 1/4 длины волны при заданной частоте, (б) на дальнем конце цепь короткозамкнута и длина та же при заданной частоте, (в) то же, что и в п. (а), но длина составляет 1/2 длины волны, (г) то же, как и в п. (б), но длина составляет 1/2 длины волны? На результатах, полученных в п. (г), основана так называемая «заглушка», используемая в волноводах.

(3) Подробно решите задачу определения времен нарастания и спада для высоковольтной переключательной схемы (рис. 13.55), которая описывалась в разд. 13.24. Примите для Uбэ величину 0,7 В.

(4) Нарастание и спад в шинном возбудителе: рассчитайте времена нарастания и спада для ТТЛ-схемы шинного возбудителя на рис. 13.57, как описывалось в разд. 13.25. Примите Uбэ = 0,7 В.

(5) Постройте видеоусилитель с коэффициентом усиления +5 и спадом частотной характеристики на 20 МГц или выше. Входное сопротивление должно быть 75 Ом, а выходное должно обеспечивать работу на нагрузку 75 Ом при размахе напряжения 1 В от пика к пику. Здесь хорошо для построения неинвертирующего усилителя использовать на входе каскад с общей базой и эмиттерный повторитель на выходе, как предлагается на рис. 13.63. Если ваша схема подобна этой, то закончите построение схемы выбором рабочих токов, номиналов резисторов и элементов цепей смещения. Конечно, можно использовать, если вы хотите, нечто подобное комбинации дифференциального усилителя с каскодной схемой и повторителем. Помните, что усиление должно быть неинвертирующим, иначе изображение будет обратным.

Рис. 13.63.

Более 800 000 книг и аудиокниг! 📚

Получи 2 месяца Литрес Подписки в подарок и наслаждайся неограниченным чтением

ПОЛУЧИТЬ ПОДАРОК