Напряжение, ток и сопротивление

1.01. Напряжение и ток

Напряжение и ток — это количественные понятия, о которых следует помнить всегда, когда дело касается электронной схемы. Обычно они изменяются во времени, в противном случае работа схемы не представляет интереса.

Напряжение (условное обозначение U, иногда Е). Напряжение между двумя точками — это энергия (или работа), которая затрачивается на перемещение единичного положительного заряда из точки с низким потенциалом в точку с высоким потенциалом (т. е. первая точка имеет более отрицательный потенциал по сравнению со второй). Иначе говоря, это энергия, которая высвобождается, когда единичный заряд «сползает» от высокого потенциала к низкому. Напряжение называют также разностью потенциалов или электродвижущей силой (э.д. с).

Единицей измерения напряжения служит вольт. Обычно напряжение измеряют в вольтах (В), киловольтах (1 кВ = 103 В), милливольтах (1 мВ = 10-3 В) или микровольтах (1 мкВ = 10-6 В) (см. разд. «Приставки для образования кратных и дольных единиц измерения», напечатанный мелким шрифтом). Для того чтобы переместить заряд величиной 1 кулон между точками, имеющими разность потенциалов величиной 1 вольт, необходимо совершить работу в 1 джоуль. (Кулон служит единицей измерения электрического заряда и равен заряду приблизительно 6·1018 электронов.) Напряжение, измеряемое в нановольтах (1 нВ = 10-9 В) или в мегавольтах (1 мВ = 106 В), встречается редко; вы убедитесь в этом, прочитав всю книгу.

Ток (условное обозначение I). Ток — это скорость перемещения электрического заряда в точке. Единицей измерения тока служит ампер. Обычно ток измеряют в амперах (А), миллиамперах (1 мА = 10-3 А), микроамперах (1 мкА = 10-6 А), наноамперах (1 нА = 10-9 А) и иногда в пикоамперах (1 пкА = 10-12 А).

Ток величиной 1 ампер создается перемещением заряда величиной 1 кулон за время, равное 1 с. Условились считать, что ток в цепи протекает от точки с более положительным потенциалом к точке с более отрицательным потенциалом, хотя электрон перемещается в противоположном направлении.

Запомните: напряжение всегда измеряется между двумя точками схемы, ток всегда протекает через точку в схеме или через какой-нибудь элемент схемы.

Говорить «напряжение в резисторе» нельзя — это неграмотно. Однако часто говорят о напряжении в какой-либо точке схемы. При этом всегда подразумевают напряжение между этой точкой и «землей», т. е. такой точкой схемы, потенциал которой всем известен. Скоро вы привыкните к такому способу измерения напряжения.

Напряжение создается путем воздействия на электрические заряды в таких устройствах, как батареи (электрохимические реакции), генераторы (взаимодействие магнитных сил), солнечные батареи (фотогальванический эффект энергии фотонов) и т. п. Ток мы получаем, прикладывая напряжение между точками схемы.

Здесь, пожалуй, может возникнуть вопрос, а что же такое напряжение и ток на самом деле, как они выглядят? Для того чтобы ответить на этот вопрос, лучше всего воспользоваться таким электронным прибором, как осциллограф. С его помощью можно наблюдать напряжение (а иногда и ток) как функцию, изменяющуюся во времени. Мы будем прибегать к показаниям осциллографов, а также вольтметров для характеристики сигналов. Для начала советуем посмотреть приложение А, в котором идет речь об осциллографе, и разд. «Универсальные измерительные приборы», напечатанный мелким шрифтом.

В реальных схемах мы соединяем элементы между собой с помощью проводов, металлических проводников, каждый из которых в каждой своей точке обладает одним и тем же напряжением (по отношению, скажем, к земле). В области высоких частот или низких полных сопротивлений это утверждение не совсем справедливо, и в свое время мы обсудим этот вопрос.

Сейчас же примем это допущение на веру. Мы упомянули об этом для того, чтобы вы поняли, что реальная схема не обязательно должна выглядеть как ее схематическое изображение, так как провода можно соединять по-разному.

Запомните несколько простых правил, касающихся тока и напряжения.

1. Сумма токов, втекающих в точку, равна сумме токов, вытекающих из нее (сохранение заряда). Иногда это правило называют законом Кирхгофа для токов. Инженеры любят называть такую точку схемы узлом. Из этого правила вытекает следствие: в последовательной цепи (представляющей собой группу элементов, имеющих по два конца и соединенных этими концами один с другим) ток во всех точках одинаков.

2. При параллельном соединении элементов (рис. 1.1) напряжение на каждом из элементов одинаково. Иначе говоря, сумма падений напряжения между точками А и В, измеренная по любой ветви схемы, соединяющей эти точки, одинакова и равна напряжению между точками А и В.

Иногда это правило формулируется так: сумма падений напряжения в любом замкнутом контуре схемы равна нулю. Это закон Кирхгофа для напряжений.

Рис. 1.1.

3. Мощность (работа, совершенная за единицу времени), потребляемая схемой, определяется следующим образом:

Р = U·I.

Вспомним, как мы определили напряжение и ток, и получим, что мощность равна: (работа/заряд) x (заряд/время). Если напряжение U измерено в вольтах, а ток I — в амперах, то мощность Ρ будет выражена в ваттах. Мощность величиной 1 ватт — это работа в 1 джоуль, совершенная за 1 с (1 Вт = 1 Дж/с).

Мощность рассеивается в виде тепла (как правило) или иногда затрачивается на механическую работу (моторы), переходит в энергию излучения (лампы, передатчики) или накапливается (батареи, конденсаторы). При разработке сложной системы одним из основных является вопрос определения ее тепловой нагрузки (возьмем, например, вычислительную машину, в которой побочным продуктом нескольких страниц результатов решения задачи становятся многие киловатты электрической энергии, рассеиваемой в пространство в виде тепла).

В дальнейшем при изучении периодически изменяющихся токов и напряжений нам придется обобщить простое выражение Р = U·I для того, чтобы определять среднее значение мощности. В таком виде оно справедливо для определения мгновенного значения мощности.

Кстати, запомните, что не нужно называть ток силой тока — это неграмотно.

Нельзя также называть резистор сопротивлением. О резисторах речь пойдет в следующем разделе.

1.02. Взаимосвязь напряжения и тока: резисторы

Тема эта очень обширна и интересна. В ней заключена суть электроники. Если попытаться изложить ее в двух словах, то она посвящена тому, как можно сделать элемент, имеющий ту или иную характеристику, выраженную определенной зависимостью между током и напряжением, и как его использовать в схеме.

Примерами таких элементов служат резисторы (ток прямо пропорционален напряжению), конденсаторы (ток пропорционален скорости изменения напряжения), диоды (ток протекает только в одном направлении), термисторы (сопротивление зависит от температуры), тензорезисторы (сопротивление зависит от деформации) и т. д.

Постепенно мы познакомимся с некоторыми экзотическими представителями этой плеяды; а сейчас рассмотрим самый нехитрый и наиболее распространенный элемент — резистор (рис. 1.2).

Рис. 1.2.

* * *

ПРИСТАВКИ ДЛЯ ОБРАЗОВАНИЯ КРАТНЫХ И ДОЛЬНЫХ ЕДИНИЦ ИЗМЕРЕНИЯ

Следующие приставки приняты для образования кратных и дольных единиц измерения в научной и инженерной практике:

При сокращенном обозначении дольных единиц измерения соответствующая приставка и условное обозначение единицы пишутся слитно. Обратите внимание на использование прописных и строчных букв, особенно м и Μ в приставках и обозначениях единиц 1 мВт — это 1 милливатт, или тысячная доля ватта; 1 МГц — это 1 миллион герц. Полные наименования единиц измерения всегда пишутся со строчной буквы, даже если они образованы от имен собственных. Полное наименование единицы измерения с приставкой также всегда пишется со строчной буквы.

Прописные буквы используются для условных сокращений единиц измерения. Например: герц и килогерц, но Гц и кГц; ватт, милливатт и мегаватт, но Вт, мВт и МВт.

* * *

Сопротивление и резисторы. Интересно, что ток, протекающий через металлический проводник (или другой материал, обладающий некоторой проводимостью), пропорционален напряжению, приложенному к проводнику. (Что касается провода, который используется в качестве проводников в схемах, то его обычно берут достаточно большого сечения, чтобы можно было пренебречь падениями напряжения, о которых мы говорили выше.) Это ни в коем случае не обязательно для всех случаев жизни. Например, ток, протекающий через неоновую лампу, представляет собой нелинейную функцию от приложенного напряжения (он сохраняет нулевое значение до критического значения напряжения, а в критической точке резко возрастает). То же самое можно сказать и о целой группе других элементов — диодах, транзисторах, лампах и др. Если вас интересует, почему металлические проводники ведут себя именно так, советуем прочитать курс физики Berkeley Physics Course, том II, разд. 4.3–4.7 (см. библиографию). Резисторы изготавливают из проводящего материала (графита, тонкой металлической или графитовой пленки или провода, обладающего невысокой проводимостью). К каждому концу резистора прикреплен провод.

Резистор характеризуется величиной сопротивления

R = U/I;

сопротивление R измеряется в омах, если напряжение U выражено в вольтах, а ток I в амперах. Это соотношение носит название «закон Ома». Резисторы наиболее распространенного типа — углеродистые композиционные — имеют сопротивление от 1 ома (1 Ом) до 22 мегаом (22 МОм).

Резисторы характеризуются также мощностью, которую они рассеивают в пространство (наиболее распространены резисторы с мощностью рассеяния 1/4 Вт) и такими параметрами, как допуск (точность), температурный коэффициент, уровень шума, коэффициент напряжения (показывающий, в какой степени сопротивление зависит от приложенного напряжения), стабильность во времени, индуктивность и пр. Более подробную информацию о резисторах содержит разд. «Резисторы», напечатанный мелким шрифтом, а также приложения Б и Г в конце второго тома.

Грубо говоря, резисторы используются для преобразования напряжения в ток и наоборот. Этот вывод может показаться банальным, но скоро вы поймете, что имеется в виду.

Последовательное и параллельное соединение резисторов. Из определения сопротивления следует несколько выводов:

1. Сопротивление двух последовательно соединенных резисторов (рис. 1.3) равно:

R = R1 + R2.

Рис. 1.3.

При последовательном соединении резисторов всегда получаем большее сопротивление, чем сопротивление отдельного резистора.

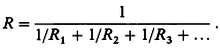
2. Сопротивление двух параллельно соединенных резисторов (рис. 1.4) равно

R = R1R2/(R1 + R2) или R = 1/(1/R1 + 1/R2).

Рис. 1.4.

При параллельном соединении резисторов всегда получаем меньшее сопротивление, чем соединение отдельных резисторов. Сопротивление измеряется в омах (Ом). На практике, когда речь идет о резисторах с сопротивлением более 1000 Ом (1 кОм), иногда оставляют только приставку, опуская в обозначении «Ом», т. е. резистор с сопротивлением 10 кОм иногда обозначают как 10 К, а резистор с сопротивлением 1 МОм — как 1 М. На схемах иногда опускают и обозначение «Ом», оставляя только число. Может быть, все это кажется вам не очень интересным? Немного терпения, и мы перейдем к интересным практическим примерам.

* * *

РЕЗИСТОРЫ

Резисторы поистине вездесущи. Типы резисторов почти столь же многочисленны, как и схемы, в которых они применяются. Резисторы используются в усилителях, в качестве нагрузки для активных устройств, в схемах смещения и в качестве элементов обратной связи. Вместе с конденсаторами они используются для задания постоянной времени и работают как фильтры. Они служат для установки величин рабочих токов и уровней сигналов. В схемах питания резисторы используются для уменьшения напряжения за счет рассеяния мощности, для измерения токов и для разряда конденсаторов после снятия питания. В прецизионных схемах они помогают устанавливать нужные токи, обеспечивать точные коэффициенты пропорциональности для напряжения, устанавливать точные коэффициенты усиления. В логических схемах резисторы выступают в качестве конечных элементов линий и шин, «повышающих» и «понижающих» элементов. В высоковольтных схемах резисторы служат для измерения напряжений, для выравнивания токов утечки через диоды или конденсаторы, соединенные последовательно. На радиочастотах они используются даже в качестве индуктивностей.

Промышленность выпускает резисторы с сопротивлением от 0,01 Ом до 1012 Ом и мощностью от 1/8 до 250 Вт с допуском от 0,005 до 20 %. Резисторы изготавливают из графитовых смесей, металлических пленок, проводов, накрученных на каркас, или на основе полупроводниковых элементов, подобных полевым транзисторам. Наиболее распространены углеродистые композиционные резисторы, имеющие мощность 1/4 или 1/2 Вт. Существует стандартный диапазон значений сопротивлений - от 1 Ом до 100 МОм, причем для резисторов с допуском на сопротивление, равным 5 %, выпускается в два раза больше значений сопротивлений, чем для резисторов с допуском 10 % (см. приложение В). Мы рекомендуем использовать резисторы фирмы Allen Bradley типа AB (1/4 Вт, 5 %), так как они имеют понятную маркировку, стабильные характеристики и надежное соединение с проводниками выводов.

Резисторы настолько просты в обращении, что очень часто их принимают как нечто само собой разумеющееся. Между тем они не идеальны, и стоит обратить внимание на некоторые их недостатки.

Возьмем, например, получившие широкое распространение резисторы композиционного типа с допуском 5 %. Они хороши почти для любых схем с некритичными параметрами, но невысокая стабильность этих резисторов не позволяет использовать их в прецизионных схемах. Следует помнить об ограничениях, свойственных этим элементам, чтобы в один прекрасный день не оказаться разачарованным.

Основной недостаток состоит в изменении сопротивления во времени под действием температуры, напряжения, влажности. Другие недостатки связаны с индуктивными свойствами (они существенно сказываются на высоких частотах), с наличием термальных точек в мощных схемах или шумов в усилителях с низким уровнем шума. Ниже приводятся параметры резисторов в самых жестких условиях эксплуатации; обычно условия бывают лучше, но правильнее рассчитывать на худшее.

ХАРАКТЕРИСТИКИ РЕЗИСТОРОВ ФИРМЫ ALLEN BRADLEY, (СЕРИЯ АВ, ТИП СВ)

Стандартный допуск в номинальных условиях составляет 5 %. Максимальная мощность при температуре окружающей среды 70 °C составляет 0,25 Вт, при этом внутренняя температура повышается до 150 °C. Максимальное приложенное напряжение составляет (0,25 R)1/2 или 250 В (меньшее из двух значений).

И это на самом деле так! (см. рис. 6.53). Однократное превышение напряжения до 400 В в течение 5 с вызывает необратимое изменение сопротивления на 2 %.

В схемах, где требуется высокая точность или стабильность, следует использовать резисторы из металлической пленки с допуском 1 % (см. приложение Г). Они обеспечивают стабильность не хуже 0,1 % в нормальных условиях и не хуже 1 % в самых жестких условиях. Прецизионные проволочные резисторы способны удовлетворить наиболее высоким требованиям.

Если ожидается, что мощность, рассеиваемая в схеме, будет составлять более 0,1 Вт, то следует выбрать резистор с большим значением рассеиваемой мощности. Композиционные углеродистые резисторы характеризуются мощностью до 2 Вт, а мощные проволочные резисторы - более высокими значениями.

Для мощных схем наилучшие характеристики обеспечивает резистор с отводом тепла. Резисторы этого типа выпускаются с допуском 1 % и могут надежно работать при собственной температуре до 250 °C в течение длительного периода времени. Допустимая рассеиваемая мощность зависит от воздушного потока, температурных условий на выводах и плотности схемы; следовательно, мощность на резисторе следует рассматривать как грубую ориентировочную величину. Отметим также, что мощность резистора связана со средним значением мощности, рассеиваемой в схеме, и может существенно превышаться в короткие интервалы времени (в зависимости от «тепловой массы» эти интервалы могут длиться несколько секунд или более).

Упражнение 1.1. Возьмем два резистора сопротивлением 5 и 10 кОм. Чему равно сопротивление при (а) последовательном и (б) параллельном их соединении?

Упражнение 1.2. Какую мощность будет рассеивать в пространство резистор с сопротивлением 1 Ом, подключенный к батарее автомобиля с напряжением 1 В?

Упражнение 1.3. Докажите справедливость формул для сопротивления последовательного и параллельного соединения резисторов.

Упражнение 1.4. Покажите, что сопротивление нескольких параллельно соединенных резисторов определяется следующим образом:

* * *

Секрет резисторов, соединенных параллельно: начинающие часто приступают к сложным алгебраическим выкладкам или углубляются в законы электроники, а здесь как раз лучше всего воспользоваться интуитивным правилом.

Приступим теперь к освоению интуитивных правил и развитию интуиции.

Правило 1. Сопротивление двух резисторов, один из которых обладает большим сопротивлением, а другой малым, соединенных между собой последовательно (параллельно), приблизительно равно большему (меньшему) из двух сопротивлений.

Правило 2. Допустим, вы хотите узнать, чему равно сопротивление двух параллельно соединенных резисторов, обладающих сопротивлением 5 и 10 кОм. Если вообразить, что резистор сопротивлением 5 кОм представляет собой параллельное соединение двух резисторов сопротивлением 10 кОм, то схема будет представлена параллельным соединением трех резисторов с сопротивлением 10 кОм. Так как сопротивление одинаковых параллельно соединенных резисторов равно 1/n-й части сопротивления одного из них, то ответ в нашей задаче будет 10 кОм/3, или 3,33 кОм. Это правило полезно усвоить, так как с его помощью можно быстро проанализировать схему «в уме».

Мы хотим, чтобы вы научились решать стоящие перед вами задачи, имея под рукой минимум — оборотную сторону почтового конверта и ручку. Тогда блестящие идеи, возникшие у вас в любой момент, не будут встречать препятствий на пути своего развития.

И еще несколько принципов нашей доморощенной философии: среди начинающих наблюдается тенденция вычислять значения сопротивлений резисторов и характеристики других компонентов схем с большой точностью, доступность же карманных калькуляторов в наше время помогает развитию этой тенденции.

Поддаваться ей не следует по двум причинам: во-первых, компоненты сами по себе имеют определенную конечную точность (наиболее распространенные резисторы — ± 5 %; характеристики транзисторов, например часто задаются одним-двумя коэффициентами); во-вторых, одним из признаков хорошей схемы является ее нечувствительность к точности величин компонентов (бывают, конечно, и исключения). И еще: вы скорее придете к интуитивному пониманию схем, если разовьете в себе способность быстро прикидывать «в уме», а не будете увлекаться вычислениями с ненужной точностью на красивых калькуляторах.

Некоторые считают, что для того чтобы скорее научиться оценивать величину сопротивления, полезно вводить понятие проводимость, G = 1/R. Ток, протекающий через элемент с проводимостью G, к которому приложено напряжение U, определяется как I = G·U (это закон Ома).

Чем меньше сопротивление проводника, тем больше его проводимость и тем больше ток, протекающий под воздействием напряжения, приложенного между концами проводника.

С этой точки зрения формула для определения сопротивления параллельно соединенных проводников вполне очевидна: если несколько резисторов или проводящих участков подключены к одному и тому же напряжению, то полный ток равен сумме токов, протекающих в отдельных ветвях. В связи с этим проводимость соединения равна сумме отдельных проводимостей составных элементов: GG1 + G2 + G3 +…, а это выражение эквивалентно выражению для параллельно соединенных резисторов, приведенному выше.

Инженеры неравнодушны к обратным величинам, и в качестве единицы измерения проводимости они установили 1 сименс (1 См = 1/1 Ом), который иногда называют «мо» («ом» наоборот). Хотя понятие проводимости и помогает развить интуицию в отношении сопротивления резисторов, широкого применения оно не находит, и большинство предпочитает иметь дело с величинами сопротивления, а не проводимости.

Мощность и резисторы. Мощность, рассеиваемая резистором или любым другим элементом, определяются как Ρ = U·I.

Пользуясь законом Ома, эту формулу можно записать в эквивалентном виде:

Ρ = I2R и Ρ = U2/R.

* * *

Упражнение 1.5. Возьмем схему, работающую от батареи с напряжением 15 В. Докажите, что независимо от того, как будет включен в схему резистор, обладающий сопротивлением более 1 кОм, мощность на нем не превысит 1/4 Вт.

Упражнение 1.6. Дополнительное упражнение: для Нью-Йорка требуется 1010 Вт электрической энергии при напряжении 110 В (цифры вполне правдоподобны: 10 млн. жителей, каждый потребляет в среднем 1 кВт электроэнергии). Высоковольтный кабель может иметь диаметр 25,4 мм. Давайте подсчитаем, что произойдет, если в качестве кабеля взять провод из чистой меди диаметром 0,305 м. Сопротивление такого провода составляет 0,05 мкОм (5·10-8 Ом) в расчете на 0,305 м. Определите: а) потери мощности в расчете на 0,305 м, исходя из того, что потери оцениваются величиной I2R; б) длину кабеля, на которой будут потеряны все 1010 Вт; в) если вы знаете физику, определите, до какой температуры нагреется кабель (σ = 6· 10"12 Вт/(К4·см2)).

Если расчет выполнен правильно, то результат, вероятно, удивил вас. Как же разрешить проблему?

* * *

Вход и выход. Практически во всех электронных схемах что-либо подается на вход (обычно это напряжение) и соответственно снимается с выхода (это также чаще всего напряжение). Например, с выхода усилителя звуковой частоты снимается напряжение (оно имеет переменное значение), которое в 100 раз превышает входное напряжение (изменяющееся аналогично). В этом усилителе выходное напряжение рассматривается для данного значения напряжения, действующего на входе. Инженеры пользуются понятием передаточной функции Н, которая представляет собой отношение напряжения, измеренного на выходе, к напряжению, действующему на входе; для вышеупомянутого усилителя звуковой частоты Н — это постоянная величина (Н = 100). К изучению усилителей мы приступим в следующей главе. Однако, уже сейчас, имея представление только о резисторах, мы рассмотрим делитель напряжения (по сути он является «де-усилителем»), который играет немаловажную роль в электронных схемах.

1.03. Делители напряжения

Мы приступаем к рассмотрению делителя напряжения, который используется в электронных схемах весьма широко. В любой настоящей схеме можно найти не меньше полдюжины делителей напряжения. Простейший делитель напряжения — это схема, которая для данного напряжения на входе создает на выходе напряжение, которое является некоторой частью входного. Простейший делитель представлен на рис. 1.5.

Рис. 1.5. Делитель напряжения. Приложенное напряжение Uвх создает на выходе напряжение Uвых (меньшее приложенного).

Что такое Uвых? Предположим здесь и далее, что нагрузки на выходе нет, тогда ток определяется следующим образом:

I = Uвх/(R1 + R2)

(Мы воспользовались формулой для определения сопротивления резистора и правилом для последовательного соединения резисторов). Тогда для R2

Uвых = I·R2 = UвхR2/(R1 + R2).

Обратите внимание, что выходное напряжение всегда меньше входного (или равно ему); поэтому мы говорим о делителе напряжения. Если одно из сопротивлений будет отрицательным, то можно получить усиление (т. е. выходное напряжение будет больше входного). Эта идея не так невероятна, как кажется на первый взгляд: вполне можно сделать устройство с отрицательными «приращениями» сопротивления (в качестве примера может служить туннельный диод) или просто с настоящим отрицательным сопротивлением (например, преобразователь с отрицательным импедансом, о котором мы поговорим позже). Однако эти примеры достаточно специфичны и не должны занимать сейчас ваше внимание.

Делители напряжения часто используют в схемах для того, чтобы получить заданное напряжение из большего постоянного (или переменного) напряжения.

Например, если в качестве R2 взять резистор с регулируемым сопротивлением (рис. 1.6, а), то мы получим не что иное, как схему с управляемым выходом; более простым путем комбинацию R1R2 можно получить, если у вас есть один резистор с переменным сопротивлением, или потенциометр (рис. 1.6, б).

Рис. 1.6. Регулируемый делитель напряжения может состоять из двух резисторов — с фиксированным сопротивлением и с переменным сопротивлением, или из потенциометра.

Простой делитель напряжения играет важную роль и в тот момент, когда вы задумываете схему: входное напряжение и сопротивление верхней части резистора могут представлять собой, скажем, выход усилителя, а сопротивление нижней части резистора — вход последующего каскада. В этом случае, воспользовавшись уравнением для делителя напряжения, можно определить, что поступит на вход последнего каскада.

Все сказанное станет более понятным, когда чуть позже мы познакомим вас с одним интересным фактом (имеется в виду теорема об эквивалентном преобразовании схем). А сейчас немного отвлечемся от нашей темы и поговорим об источниках тока и напряжения.

1.04. Источники тока и напряжения

Идеальный источник напряжения — это «черный ящик», имеющий два вывода, между которыми он поддерживает постоянное падение напряжения независимо от величины сопротивления нагрузки. Это означает, например, что он должен порождать ток, равный I = U/R, если к выводам подключить резистор с сопротивлением R. Реальный источник напряжения не может дать ток, больший некоторого предельного максимального значения, и в общем случае он ведет себя как идеальный источник напряжения, к которому последовательно подключен резистор с небольшим сопротивлением. Очевидно, чем меньше сопротивление этого последовательно подключенного резистора, тем лучше. Например, стандартная щелочная батарея на 9 В в последовательном соединении с резистором, имеющим сопротивление 3 Ом, ведет себя как идеальный источник напряжения 9 В и дает максимальный ток (при замыкании накоротко) величиной 3 А (который, к сожалению, погубит батарею за несколько минут). По понятным причинам источник напряжения «предпочитает» нагрузку в виде разомкнутой цепи, а нагрузку в виде замкнутой цепи «недолюбливает». (Понятия «разомкнутая цепь» и «замкнутая цепь» очевидны: к разомкнутой цепи ничего не подключено, а в замкнутой цепи кусок провода замыкает выход.)

Условные обозначения источников напряжения приведены на рис. 1.7.

Рис. 1.7. Источники напряжения постоянного и переменного тока.

Идеальный источник тока — это «черный ящик», имеющий два вывода и поддерживающий постоянный ток во внешней цепи независимо от величины сопротивления нагрузки и приложенного напряжения.

Для того чтобы выполнять свои функции, он должен уметь поддерживать нужное напряжение между своими выводами. Реальные источники тока (самая нелюбимая тема для большинства учебников) имеют ограниченный диапазон, в котором может изменяться создаваемое ими напряжение (он называется рабочим диапазоном выходного напряжения или просто диапазоном), и, кроме того, выходной ток источника нельзя считать абсолютно постоянным. Источник тока «предпочитает» нагрузку в виде замкнутой цепи, а нагрузку в виде разомкнутой цепи «недолюбливает». Условные. обозначения источника тока приведены на рис. 1.8.

Рис. 1.8. Условные обозначения источников тока.

Хорошим примером источника напряжения может служить батарея (для источника тока подобной аналогии найти нельзя). Например, стандартная батарейка от карманного фонаря обеспечивает напряжение 1,5 В, ее эквивалентное последовательное сопротивление составляет 1/4 Ом, а общий запас энергии равен приблизительно 10 000 Вт·с (постепенно эти характеристики ухудшаются; к концу срока службы батарейки напряжение может составлять около 1 В, а внутреннее сопротивление — несколько ом). О том, как создать источник напряжения с лучшими характеристиками, вы узнаете, когда мы изучим обратную связь. В электронных устройствах, за исключением портативных, батарейки используются редко. В гл. 14 мы рассмотрим интересную тему конструирования маломощных схем (на батарейках).

1.05. Теорема об эквивалентном преобразовании источников (генераторов)

Теорема об эквивалентном преобразовании источников утверждает, что всякую схему, состоящую из резисторов и источников напряжения и имеющую два вывода, можно представить в виде эквивалентной схемы, состоящей из одного резистора R, последовательно подключенного к одному источнику напряжения U.

Представьте, как это удобно. Вместо того чтобы разбираться с мешаниной батарей и резисторов, можно взять одну батарею и один резистор (рис. 1.9). (Кстати, известна еще одна теорема об эквивалентном преобразовании, которая содержит такое же утверждение относительно источника тока и параллельно подключенного резистора).

Рис. 1.9.

Как определить эквивалентные параметры Rэкв и Uэкв для заданной схемы? Оказывается просто. Uэкв — это напряжение между выводами эквивалентной схемы в ее разомкнутом (ненагруженном) состоянии; так как обе схемы работают одинаково, это напряжение совпадает с напряжением между выводами данной схемы в разомкнутом состоянии (его можно определить путем вычислений, если схема вам известна, или измерить, если схема неизвестна). После этого можно определить Rэкв, если учесть, что ток в эквивалентной схеме, при условии, что она замкнута (нагружена), равен Uэкв/Rэкв.

Иными словами, Uэкв = U (разомкнутая схема),

Rэкв U (разомкнутая схема)/I (замкнутая схема).

* * *

УНИВЕРСАЛЬНЫЕ ИЗМЕРИТЕЛЬНЫЕ ПРИБОРЫ

Существует немало приборов, с помощью которых в схемах можно измерять напряжения и токи. Самым универсальным из них является осциллограф (см. приложение А); он позволяет наблюдать изменение напряжения во времени в одной или нескольких точках схемы. Специально для отысканий неисправностей в цифровых схемах предназначены логические щупы и логические анализаторы. Универсальный измерительный прибор дает возможность измерять напряжение, ток и сопротивление очень часто с достаточно высокой точностью, однако у него медленная реакция, и он не может заменить осциллограф в тех случаях, когда интерес представляют меняющиеся напряжения. Универсальные измерительные приборы можно разделить на две группы: приборы, показания которых определяются по обычной шкале с перемещающейся стрелкой, и приборы с цифровым отображением показания.

Стандартный вольтметр позволяет измерить ток по перемещению стрелки (обычно полный диапазон шкалы составляет 50 мкА). (Для того чтобы разобраться в работе измерительного прибора, советуем покопаться в книгах по электротехнике, но не в руководствах по разработке электронных схем, а пока нас вполне удовлетворит информация о том, что в приборе используются индуктивности и сердечники.) При измерении напряжения в вольтметре последовательно к основной схеме подключается резистор. Например, диапазон шкалы измерения напряжения, равный 1 В, обеспечивается последовательным подключением резистора с сопротивлением 20 кОм к схеме, рассчитанной на ток 50 мкА; для больших диапазонов напряжения используются соответственно резисторы с большими сопротивлениями. Такой вольтметр характеризуется как прибор на 20 000 Ом/В. Это значит, что сопротивление его резистора, равное 20 кОм, умножается на полный размах напряжения в выбранном диапазоне измерения. Полный размах в любом диапазоне напряжения составляет 1/20 000 В/Ом, или 50 мкА. Очевидно, что подобный вольтметр оказывает тем меньше влияния на схему, чем выше диапазон, так как играет роль резистора с большим сопротивлением (представим вольтметр в качестве нижнего плеча делителя напряжения, при этом верхнее плечо будет образовано эквивалентным выходным сопротивлением схемы, в которой подключен прибор). В идеальном случае вольтметр должен обладать бесконечным входным сопротивлением. В настоящее время применяются разнообразные измерительные приборы с небольшим усилением, входное сопротивление которых может достигать 109 Ом. К приборам такого типа относят большинство измерительных цифровых приборов и даже некоторые приборы с аналоговым отсчетом на полевых транзисторах (см. гл. 3). Замечание: иногда входное сопротивление измерительных приборов со входом на полевом транзисторе может быть очень большим в наиболее чувствительном диапазоне, а в других диапазонах оно может иметь меньшее значение. Например, типичными являются следующие значения: 109 Ом для диапазонов 0,2 В и 107 Ом для всех остальных диапазонов.

Внимательно изучайте характеристики приборов! Для работы с транзисторными схемами подходит вольтомметр на 20 000 Ом/В, который создает для них небольшую нагрузку. В любом случае нетрудно оценить влияние измерительного прибора на работу схемы, если воспользоваться уравнением для делителя напряжения. Обычно универсальные измерительные приборы имеют диапазоны измерения напряжения от 1 В (и меньше) до 1 кВ (и больше) для полного размаха шкалы.

С помощью вольтомметра можно измерить ток, оценивая его величину по простому отклонению указателя прибора (в предыдущем примере диапазон измерения тока составляет 50 мкА) или за счет резистора с небольшим сопротивлением, подключаемого параллельно основной схеме (шунта). Так как для перемещения указателя необходимо небольшое падение напряжения (обычно 0,25 В на полный размах шкалы), шунт выбирают при изготовлении прибора таким, чтобы максимальный ток вызывал соответствующее падение напряжения на параллельном соединении шунта и резистора измерительного прибора (для вас выбор шунта сводится к тому, что нужно лишь установить переключатель на нужный диапазон измерения). В идеальном случае прибор для измерения тока должен иметь нулевое сопротивление, тогда при подключении его к схеме последовательно он не будет оказывать влияния на нее. На практике приходится мириться с падением напряжения, составляющим десятые доли вольта как для вольтомметров, так и для цифровых приборов (это как бы накладные расходы при измерении напряжения, от которых никуда не денешься). Обычно универсальные измерительные приборы имеют диапазоны измерения тока от 50 мкА (или ниже) до 1 А (или выше) для полного размаха шкалы.

В универсальных измерительных приборах имеется одна или несколько батарей для подачи питания при измерении сопротивления. Измерения падения напряжения при протекании небольшого тока позволяют определить величину сопротивления; предусмотренные для этих измерений диапазоны перекрывают величины сопротивления от 1 Ом (или ниже) до 10 МОм (или выше). Замечание: не пытайтесь измерить «ток источника напряжения» путем подключения прибора к штепсельной розетке в стене; то же самое можно сказать об измерении сопротивления. Подобные «измерения» служат причиной гибели многих приборов.

Упражнение 1.7. Что покажет вольтметр на 20 000 Ом/В при шкале диапазона 1 В, если его подключить к источнику напряжения 1 В с внутренним сопротивлением 10 кОм? Что покажет этот прибор, если его подключить к делителю напряжения с плечами 10 кОм-10 кОм, питающемуся от источника постоянного напряжения (с нулевым сопротивлением) с напряжением 1 В?

Упражнение 1.8. Измерительный прибор с максимальным отклонением указателя, соответствующим току 50 мкА, имеет внутреннее сопротивление, равное 5 кОм. Какое шунтирующее сопротивление нужно подключить, чтобы прибор измерял ток в пределах 0–1 А? Какое сопротивление нужно подключить последовательно для того, чтобы прибор мог измерить напряжение в пределах 0-10 В?

* * *

Попробуем применить описанный метод к делителю напряжения, для чего составим его эквивалентную схему:

1. Напряжение при разомкнутой цепи:

U = Uвх[R2/(R1 + R2)]

2. Ток замкнутой накоротко цепи:

Iвх/R1

Тогда эквивалентная схема представляет собой источник напряжения

Uэкв = Uвх[R2/(R1 + R2)]

к которому последовательно подключен резистор с сопротивлением

RэквR1R2/(R1 + R2)

(Не случайно сопротивление равно сопротивлению параллельно соединенных резисторов R1 и R2. Объяснение этому факту будет дано ниже.)

Приведенный пример показывает, что делитель напряжения не может служить хорошей батареей, так как его выходное напряжение существенно уменьшается при подключении нагрузки. Рассмотрим упражнение 1.9. Вам сейчас известно все, что необходимо для того, чтобы точно рассчитать, насколько уменьшится выходное напряжение, если подключить к схеме нагрузку с определенным сопротивлением. Воспользуйтесь эквивалентной схемой, подключите нагрузку и подсчитайте новое выходное напряжение, учитывая, что новая схема представляет собой не что иное, как делитель напряжения (рис. 1.10).

Рис. 1.10.

Упражнение 1.9. Для схемы, показанной на рис. 1.10, (Uвх = 30 В, R1 = R2 = 10 кОм. Требуется определить: а) выходное напряжение в отсутствие нагрузки (напряжение разомкнутой цепи); б) выходное напряжение при условии, что подключена нагрузка 10 кОм (представьте схему в виде делителя напряжения R2 и  объедините в один резистор); в) эквивалентную схему; г) выходное напряжение при том же условии, что и в п. б), но для эквивалентной схемы здесь придется иметь дело с делителем напряжения; ответ должен быть таким же, как в п. б); д) мощность, рассеиваемую каждым резистором. 

Эквивалентное сопротивление источника и нагрузка схемы. Как мы только что убедились, делитель напряжения, на который подается некоторое постоянное напряжение, эквивалентен некоторому источнику напряжения с последовательно подключенным к нему резистором; например, делитель напряжения 10 кОм-10 кОм, на который подается напряжение от идеальной батарейки напряжением 30 В, в точности эквивалентен идеальной батарейке напряжением 15 В с последовательно подключенным резистором с сопротивлением 5 кОм (рис. 1.11).

Рис. 1.11.

Подключение резистора в качестве нагрузки вызывает падение напряжения на выходе делителя, обусловленное наличием некоторого сопротивления источника (вспомним эквивалентное сопротивление для делителя напряжения, если его выход выступает в качестве источника напряжения). Очень часто это явление нежелательно. Один подход к решению проблемы создания «устойчивого» источника напряжения (называемого «устойчивым» в том смысле, что он не поддается действию нагрузки) состоит в использовании в делителе напряжения резисторов с малыми сопротивлениями. Иногда этот прямой подход оказывается полезным. Однако лучше всего для создания источника напряжения, или как его часто называют, источника питания, использовать активные компоненты, такие, как транзисторы или операционные усилители, которыми мы займемся в гл. 2–4. Этот подход позволяет создать источник напряжения, внутреннее сопротивление которого (или эквивалентное сопротивление) составит миллиомы (тысячные доли ома), при этом не требуются большие токи и не рассеивается значительная мощность, что характерно для низкоомного делителя напряжения с такими же рабочими характеристиками. Кроме того, в активном источнике питания не представляет труда регулировка выходного напряжения. Понятие эквивалентного внутреннего сопротивления применимо ко всем типам источников, а не только к батареям и делителям напряжения. Все источники сигналов (например, генераторы синусоидальных сигналов, усилители и измерительные приборы) обладают эквивалентным внутренним сопротивлением.

Подключение нагрузки, сопротивление которой меньше или даже сравнимо с внутренним сопротивлением, вызывает значительное уменьшение выходного параметра. Нежелательное уменьшение напряжения (или сигнала) разомкнутой цепи за счет подключения нагрузки называется «перегрузкой цепи». В связи с этим следует стремиться к тому, чтобы выполнялось условие Rн >> Rвнутр, так как высокоомная нагрузка оказывает небольшое ослабляющее влияние на источник (рис. 1.12); примеры тому вы встретите в последующих главах.

Рис. 1.12. Сопротивление нагрузки должно быть большим по сравнению с выходным сопротивлением для того, чтобы сигнал источника не ослаблялся ниже значения напряжения при разомкнутой цепи.

Условие высокоомности является обязательным для таких измерительных приборов, как вольтметры и осциллографы. (Есть и исключения из этого общего правила; например, когда речь пойдет о линиях передач на радиочастотах, вы узнаете, что следует «согласовывать импедансы» для предотвращения отражений и потерь энергии.)

Несколько слов о принятых выражениях: часто можно услышать «сопротивление со стороны входа делителя напряжения» или «нагрузка со стороны выхода составляет столько-то ом». Советуем принять эти обороты на вооружение, так как они в понятной форме указывают, где, по отношению к схеме, находится резистор.

Преобразование энергии. Задумайтесь над таким интересным вопросом: каким должно быть сопротивление нагрузки, чтобы при данном сопротивлении источника ей была передана максимальная мощность? (Термины «сопротивление источника», «внутреннее сопротивление» и «эквивалентное сопротивление» относятся к одному и тому же сопротивлению).

Нетрудно заметить, что при выполнении условий Rн = 0 и Rн = , переданная мощность равна нулю. Условие Rн = 0 означает, что Uн = 0, а Iн = Uн/Rн и поэтому Рн = UнIн = 0. Условие Rн = означает, что UнUи и Iн= 0, поэтому Рн = 0. Максимум заключен, следовательно, между 0 и .

Упражнение 1.10. Докажите, что при выполнении условия  мощность в нагрузке максимальна для данного сопротивления источника. Замечание: пропустите это упражнение, если вы не знаете дифференциального исчисления, и примите на веру, что приведенное здесь утверждение справедливо.

Чтобы приведенный пример не вызвал у вас неправильного впечатления, хотим еще раз подчеркнуть, что обычно схемы проектируют таким образом, чтобы сопротивление нагрузки было значительно больше, чем внутреннее сопротивление источника сигнала, работающего на эту нагрузку.

1.06. Динамическое сопротивление

Часто приходится иметь дело с электронными устройствами, в которых ток I не пропорционален напряжению U; в подобных случаях нет смысла говорить о сопротивлении, так как отношение U/I не является постоянной величиной, независимой от U, а, наоборот, зависит от U. Для подобных устройств полезно знать наклон зависимости U-I (вольт-амперной характеристики). Иными словами, представляет интерес отношение небольшого изменения приложенного напряжения к соответствующему изменению тока через схему: ΔU/ΔI (или dU/dI). Это отношение измеряется в единицах сопротивления (в омах) и во многих расчетах играет роль сопротивления. Оно называется сопротивлением для малых сигналов, дифференциальным сопротивлением, динамическим или инкрементным сопротивлением.

Зенеровские диоды (стабилитроны). В качестве примера рассмотрим зенеровский диод (стабилитрон), вольт-амперная характеристика которого приведена на рис. 1.13.

Рис. 1.13. Вольт-амперные характеристики.

а — резистор (линейная зависимость); б — зенеровский диод (нелинейная зависимость).

Зенеровские диоды используют для получения постоянного напряжения на каком-либо участке схемы. Это достигается за счет тока (в грубом приближении постоянного), получаемого от источника большего напряжения в той же схеме. Например, зенеровский диод, представленный на рис. 1.13, преобразует питающий ток, изменяющийся в указанном диапазоне, в соответствующий (но более узкий) диапазон напряжений. Важно понять, как будет вести себя соответствующее напряжение на зенеровском диоде (зенеровское напряжение пробоя) при изменении питающего тока, это изменение есть мера влияния изменений питающего тока. Оно характеризуется динамическим сопротивлением зенеровского диода, определяемым при заданном токе. (Учтите, что динамическое сопротивление зенеровского диода в режиме стабилизации изменяется обратно пропорционально току). Например, динамическое сопротивление зенеровского диода, создающего напряжение стабилизации 5 В, может быть равно 10 Ом при токе 10 мА.

Воспользовавшись определением динамического сопротивления, найдем, чему будет равно изменение напряжения при изменении питающего тока на 10 %: ΔURдинΔI = 10·0,1·0,001 = 10 мВ или ΔU/U = 0,002 = 0,2 %. Тем самым подтверждаются высокие стабилизирующие качества зенеровского диода. На практике часто приходится иметь дело с такими схемами, как показанная на рис. 1.14.

Рис. 1.14. Регулятор на зенеровском диоде.

Здесь ток, протекающий через стабилитрон и резистор, обусловлен имеющимся в той же схеме напряжением, большим чем напряжение стабилизации. При этом I = (UвхUвых)/R и ΔI = (ΔUвхΔUвых)/R, тогда ΔUвыхRдинΔI = (Rдин/R)(ΔUвхΔUвых) и наконец, ΔUвых = ΔUвxRдин/(R + Rдин). Следовательно, по отношению к изменениям напряжения схема ведет себя как делитель напряжения, в котором зенеровский диод заменен резистором, сопротивление которого равно динамическому сопротивлению диода при рабочем токе. Приведенный пример показывает, для чего нужен такой параметр, как динамическое сопротивление. Допустим, что в рассмотренной нами схеме входное напряжение изменяется в пределах от 15 до 20 В, а для получения стабильного источника напряжения 5,1 В используется зенеровский диод типа 1NA733 (зенеровский диод с напряжением 5,1 В и мощностью 1 Вт). Резистор сопротивлением 300 Ом обеспечит максимальный зенеровский ток, равный 50 мА: (20 — 5,1)/300.

Оценим изменение выходного напряжения, зная, что максимальное сопротивление для выбранного диода составляет 7 Ом при токе 50 мА. В диапазоне изменения входного напряжения ток через зенеровский диод изменяется от 50 мА до 33 мА; изменение тока на 17 мА вызывает изменение напряжения на выходе схемы, равное ΔU = RдинΔI, или 0,12 В. Другие примеры использования зенеровских диодов вы найдете в разд. 2.04 и 16.14. В реальных условиях зенеровский диод обеспечивает наивысшую стабильность, если он питается от источника тока, у которого по определению Rдин (ток не зависит от напряжения). Но источник тока представляет собой достаточно сложное устройство, и поэтому на практике мы чаще всего удовлетворяемся простым резистором.

Туннельные диоды. Еще один интересный пример использования параметра динамического сопротивления связан с туннельным диодом. Его вольт-амперная характеристика показана на рис. 1.15.

Рис. 1.15.

В области между точками А и В он обладает отрицательным динамическим сопротивлением. Из этого вытекает важное следствие: делитель напряжения, состоящий из резистора и туннельного диода, может работать как усилитель (рис. 1.16).

Рис. 1.16.

Воспользуемся уравнением для делителя напряжения и для изменяющегося напряжения Uсигн, получим

Uвых = [R/(R + rt)]Uсигн,

где rt - динамическое сопротивление туннельного диода при рабочем токе, Uсигн — изменение малого сигнала, которое до настоящего момента мы обозначали через ΔUсигн (в дальнейшем мы будем пользоваться этим широко распространенным обозначением). Для туннельного диода rt.дин < 0. Значит, ΔU/ΔI < 0 или u/i < 0 для области вольт-амперной характеристики туннельного диода, заключенной между точками А и В. Если rt.дин < 0, то знаменатель становится близким к нулю, и схема начинает работать как усилитель. Напряжение uбат создает постоянный ток, или смещение, которое смещает рабочую точку в область отрицательного сопротивления. (Безусловно, во всяком усилительном приборе необходимо иметь источник питания.)

И наконец, в двух словах история туннельных диодов: они появились в конце 50-х годов, и с ними сразу стали связывать пути разрешения множества проблем схемотехники. Их высокое быстродействие дало основание предположить, что они произведут революцию в области вычислительной техники. К сожалению, оказалось, что эти элементы сложны в использовании; это обстоятельство, а также успешное развитие транзисторов привело к тому, что туннельные диоды сейчас почти не находят применения.

Позже при рассмотрении активных фильтров мы вернемся к явлению отрицательного сопротивления. Тогда вы познакомитесь со схемой преобразователя отрицательного импеданса, которая обеспечивает наряду с другими характеристиками настоящее (а не динамическое) отрицательное сопротивление.

Более 800 000 книг и аудиокниг! 📚

Получи 2 месяца Литрес Подписки в подарок и наслаждайся неограниченным чтением

ПОЛУЧИТЬ ПОДАРОК