Конденсаторы и цепи переменного тока

Коль скоро мы начинаем рассматривать изменяющиеся сигналы напряжения и тока, нам необходимо познакомиться с двумя очень занятными элементами, которые не находят применения в цепях постоянного тока, — речь идет о конденсаторах и индуктивностях. Скоро вы убедитесь, что эти компоненты вместе с резисторами являются основными элементами пассивных линейных цепей, составляющих основу почти всей схемотехники.

Особенно следует подчеркнуть роль конденсаторов — без них не обходится почти ни одна схема. Они используются при генерации колебаний, в схемах фильтров, для блокировки и шунтирования сигналов. Их используют в интегрирующих и дифференцирующих схемах. На основе конденсаторов и индуктивностей строят схемы формирующих фильтров для выделения нужных сигналов из фона.

Некоторые примеры подобных схем вы найдете в этой главе, а еще большее число интересных примеров использования конденсаторов и индуктивностей встретится вам в последующих главах.

Приступим к более детальному изучению конденсаторов. Явления, протекающие в конденсаторе, описываются математическими зависимостями, поэтому читателям, которые имеют недостаточную подготовку в области математики, полезно прочитать приложение Б. Не огорчайтесь, если некоторые детали не будут сразу вполне понятны, главное — это общее понимание вопроса.

1.12. Конденсаторы

Конденсатор (рис. 1.27) — это устройство, имеющее два вывода и обладающее следующим свойством:

Q = CU.

Рис. 1.27. Конденсатор.

Конденсатор, имеющий емкость С фарад, к которому приложено напряжение U вольт, накапливает заряд Q кулон на одной пластине и —Q — на другой.

В первом приближении конденсаторы — это частотно-зависимые резисторы. Они позволяют создавать, например, частотно-зависимые делители напряжения. Для решения некоторых задач (шунтирование, связывание контуров) больших знаний о конденсаторе и не требуется, другие задачи (построение фильтров, резонансных схем, накопление энергии) требуют более глубоких знаний. Например, конденсаторы не рассеивают энергию, хотя через них и протекает ток, — дело в том, что ток и напряжение на конденсаторе смещены друг относительно друга по фазе на 90°.

Продифференцировав выражение для Q (см. приложение Б), получим

I = C(dU/dt).

Итак, конденсатор — это более сложный элемент, чем резистор; ток пропорционален не просто напряжению: а скорости изменения напряжения. Если напряжение на конденсаторе, имеющем емкость 1 Ф, изменится на 1 В за 1 с, то получим ток 1 А. И наоборот, протекание тока 1 А через конденсатор емкостью 1 Φ вызывает изменение напряжения на 1 В за 1 с.

Емкость, равная одной фараде, очень велика, и поэтому чаще имеют дело с микрофарадами (мкФ) или пикофарадами (пФ). Для того чтобы сбить с толку непосвященных, на принципиальных схемах иногда опускают обозначения единиц измерения. Их приходится угадывать из контекста. Например, если подать ток 1 мА на конденсатор емкостью 1 мкФ, то напряжение за 1 с возрастет на 1000 В.

Импульс тока продолжительностью 10 мс вызовет увеличение напряжения на конденсаторе на 10 В (рис. 1.28).

Рис. 1.28. Напряжение на конденсаторе изменяется, когда через него протекает ток.

Промышленность выпускает конденсаторы разнообразных форм и размеров, через некоторое время вы познакомитесь с наиболее распространенными представителями этого обширного семейства.

Простейший конденсатор состоит из двух проводников, расположенных на небольшом расстоянии друг от друга (но не соприкасающихся между собой), настоящие простейшие конденсаторы имеют именно такую конструкцию. Чтобы получить большую емкость, нужны большая площадь и меньший зазор между проводниками, обычно для этого один из проводников покрывают тонким слоем изолирующего материала (называемого диэлектриком), для таких конденсаторов используют, например, алитированную (покрытую алюминием) майларовую пленку.

Широкое распространение получили следующие типы конденсаторов: керамические, электролитические (изготовленные из металлической фольги с оксидной пленкой в качестве изолятора), слюдяные (изготовленные из металлизированной слюды). Каждому типу конденсаторов присущи свои качества, краткий перечень отличительных особенностей каждого типа конденсаторов приведен мелким шрифтом в разделе «Конденсаторы». В общем можно сказать, что для некритичных схем подходят керамические и майларовые конденсаторы, в схемах, где требуется большая емкость, применяются танталовые конденсаторы, а для фильтрации в источниках питания используют электролитические конденсаторы.

Параллельное и последовательное соединение конденсаторов. Емкость нескольких параллельно соединенных конденсаторов равна сумме их емкостей. Нетрудно в этом убедиться: приложим напряжение к параллельному соединению, тогда

CU = Q = Q1 + Q2 + Q3 +… =

= C1U + C2U + C3U +…=

= (C1 + C+ C3 +…)·U =

или

С = С1 + С2 + С3 +….

Для последовательного соединения конденсаторов имеем такое же выражение, как для параллельного соединения резисторов:

В частном случае для двух конденсаторов:

С = С1С2/(С1 + С2).

Ток, заряжающий конденсатор (IC·dU/dt), обладает некоторыми особыми свойствами. В отличие от тока, протекающего через резистор, он пропорционален не напряжению, а скорости изменения напряжения (т. е. его производной по времени). Далее, мощность (U умноженное на I), которая связана с протекающим через конденсатор током, не обращается в тепло, а сохраняется в виде энергии внутреннего электрического поля в конденсаторе. При разряде конденсатора происходит извлечение энергии. Эти занятные свойства мы рассмотрим с другой точки зрения, когда будем изучать реактивность (начиная с разд. 1.18).

* * *

КОНДЕНСАТОРЫ

Промышленностью выпускается много типов конденсаторов. Здесь перечислены основные преимущества и недостатки различных типов. Очевидно, что данная оценка имеет несколько субъективный характер (см. таблицу).

Упражнение 1.12. Получите выражение для емкости двух последовательно соединенных конденсаторов.

Подсказка: так как точка соединения конденсаторов не имеет внешних подключений, то заряд, накопленный двумя конденсаторами, должен быть одинаков.

* * *

1.13. RС-цепи: изменения во времени напряжения и тока

Для анализа цепей переменного тока (или в общем случае схем, работающих с изменяющимися напряжениями и токами) можно использовать характеристики двух типов. Во-первых, можно рассматривать изменения напряжения U и тока I во времени, а во-вторых, — изменение амплитуды при изменении частоты сигнала. И те, и другие характеристики имеют свои преимущества, и в каждом практическом случае приходится выбирать наиболее подходящие. Мы начнем изучение цепей переменного тока с временных зависимостей, а в разд. 1.18 перейдем к частотным характеристикам.

Каковы же свойства схем, в состав которых входят конденсаторы? Для того чтобы ответить на этот вопрос, рассмотрим простейшую -цепь (рис. 1.29).

Рис. 1.29.

Воспользуемся полученным ранее выражением для емкости:

C(dU/dt) = I = — U/R.

Это выражение представляет собой дифференциальное уравнение, решение которого имеет вид

U = A·e-t/RC.

Отсюда следует, что если заряженный конденсатор подключить к резистору, то он будет разряжаться так, как показано на рис. 1.30.

Рис. 1.30. Сигнал разряда RС-цепи.

Постоянная времени. Произведение RC называют постоянной времени цепи. Если R измерять в омах, а С — в фарадах, то произведение RC будет измеряться в секундах. Для конденсатора емкостью 1 мкФ, подключенного к резистору сопротивлением 1 кОм, постоянная времени составляет 1 мс, если конденсатор был предварительно заряжен и напряжение на нем составляет 1 В, то при подключении резистора в цепи появится ток, равный 1 мА.

На рис. 1.31 показана несколько иная схема.

Рис. 1.31.

В момент времени t = 0 схема подключается к батарее. Уравнение, описывающее работу такой схемы, выглядит следующим образом:

I = C(dU/dt) = (Uвх - U)/R

и имеет решение

UUвх + Ae-t/RC.

Не пугайтесь, если не поняли, как выполнено математическое преобразование. Важно запомнить полученный результат. В дальнейшем мы будем многократно его использовать, не прибегая к математическим выкладкам. Постоянная величина А определяется из начальных условий (рис. 1.32): U = 0 при I = 0, откуда А = — Uвх и UUвх(1 — e-t/RC).

Рис. 1.32.

Установление равновесия. При условии t >> RC напряжение достигает значения Uвх. (Советуем запомнить хорошее практическое правило, называемое правилом пяти RC. Оно гласит: за время, равное пяти постоянным времени, конденсатор заряжается или разряжается на 99 %.) Если затем изменить входное напряжение Uвх (сделать его равным, например, нулю), то напряжение на конденсаторе U будет убывать, стремясь к новому значению по экспоненциальному закону e-t/RC.

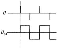
Например, если на вход подать прямоугольный сигнал Uвх, то сигнал на выходе U будет иметь форму, показанную на рис. 1.33.

Рис. 1.33. Напряжение, снимаемое с конденсатора (верхние сигналы), при условии, что на него через резистор подается прямоугольный сигнал.

Упражнение 1.13. Докажите, что время нарастания сигнала (время, в течение которого сигнал изменяется от 10 до 90 % своего максимального значения) составляет 2,2RC.

У вас, наверное, возник вопрос: каков закон изменения для произвольного Uвх(t)? Для того чтобы ответить на него, нужно решить неоднородное дифференциальное уравнение (стандартные методы решения таких уравнений здесь не рассматриваются). В результате получим

Согласно полученному выражению, RC- цепь усредняет входное напряжение с коэффициентом пропорциональности e-Δt/RC, где Δt = τ t. На практике, однако, такой вопрос возникает редко. Чаще всего рассматриваются частотные характеристики и определяют, какие изменения претерпевает каждая частотная составляющая входного сигнала. Скоро (разд. 1.18) мы также перейдем к этому немаловажную вопросу. А пока рассмотрим несколько интересных схем, для анализа которых достаточно временных зависимостей.

Упрощение с помощью эквивалентного преобразования Тевенина. Можно было бы приступить к анализу более сложных схем, пользуясь, как и раньше, методом решения дифференциальных уравнений. Однако чаще всего не стоит прибегать к решению дифференциальных уравнений.

Большинство схем можно свести к RC-схеме, показанной на рис. 1.34.

Рис. 1.34.

Пользуясь эквивалентным преобразованием для делителя напряжения, образованного резисторами R1 и R2, можно определить U(t) для скачка входного напряжения Uвх.

Упражнение 1.14. Для схемы, показанной на рис. 1.34, R1R2 = 10 кОм и С = 0,1 мкФ. Определите U(t) и изобразите полученную зависимость в виде графика.

Пример: схема задержки. Мы уже упоминали логические уровни — напряжения, определяющие работу цифровых схем. На рис. 1.35 показано, как с помощью конденсаторов можно получить задержанный импульс.

Рис 1.35. Использование RC-цепи для формирования задержанного цифрового сигнала.

В виде треугольников изображены КМОП-буферные усилители. Они дают высокий уровень на выходе (более половины величины напряжения питания постоянного тока) и наоборот. Первый буферный усилитель воспроизводит входной сигнал и обеспечивает небольшое выходное сопротивление, предотвращая тем самым воздействие на источник сигнала RС-цепи (вопрос о нагрузке схемы мы рассмотрели в разд. 1.05). Согласно характеристике RС-цепи, выходной сигнал для нее задерживается относительно входного, поэтому выходной буферный усилитель переключается на 10 мкс позже скачка напряжения на входе (напряжение на выходе RС-цепи достигает 50 % своего максимального значения через 0,7RC.

На практике приходится принимать во внимание отклонение входного порога буфера от величины, равной половине напряжения питания, так как это отклонение изменяет задержку и ширину выходного импульса. Иногда подобную схему используют для того, чтобы задержать импульс на время, в течение которого может произойти какое-либо событие. При проектировании схем лучше не прибегать к подобным трюкам, но иногда они бывают полезны.

1.14. Дифференцирующие цепи

Рассмотрим схему, изображенную на рис. 1.36.

Рис. 1.36.

Напряжение на конденсаторе С равно Uвх — U, поэтому

I = Cd(Uвх - U)/dt = U/R.

Если резистор и конденсатор выбрать так, чтобы сопротивление R и емкость С были достаточно малыми и выполнялось условие dU/dt << dUвх/dt, то

C(dUвх/dt) = U/R или U(t)RC[dUвх(t)/dt].

Таким образом, мы получили, что выходное напряжение пропорционально скорости изменения входного сигнала.

Для того чтобы выполнялось условие dU/dt << dUвх/dt, произведение RC должно быть небольшим, но при этом сопротивление R не должно быть слишком малым, чтобы не «нагружать» вход (при скачке напряжения на входе изменение напряжения на конденсаторе равно нулю и R представляет собой нагрузку со стороны входа схемы). Более точный критерий выбора для R и С мы получим, когда изучим частотные характеристики. Если на вход схемы подать прямоугольный сигнал, то сигнал на выходе будет иметь вид, представленный на рис. 1.37.

Рис. 1.37. Выходной сигнал (верхний), снимаемый с дифференциатора, на вход которого подается прямоугольный сигнал.

Дифференцирующие цепи удобно использовать для выделения переднего и заднего фронтов импульсных сигналов, и в цифровых схемах можно иногда встретить цепи, подобные той, которая показана на рис. 1.38.

Рис. 1.38. Выделение переднего фронта импульса.

Дифференцирующая RC-цепь генерирует импульсы в виде коротких пиков в моменты переключения входного сигнала, а выходной буферный усилитель преобразует эти импульсы в короткие прямоугольные импульсы. В реальных схемах отрицательный пик бывает небольшим благодаря встроенному в буфер диоду (речь об этом элементе пойдет в разд. 1.25).

Паразитная емкостная связь. Иногда схема неожиданно начинает проявлять дифференцирующие свойства, причем в ситуациях, где они совершенно нежелательны. При этом можно наблюдать сигналы, подобные показанным на рис. 1.39.

Рис. 1.39.

Первый сигнал (а точнее, импульсная помеха) может возникнуть при наличии емкостной связи между рассматриваемой линией и схемой, в которой присутствует прямоугольный сигнал; причиной появления подобной помехи может служить отсутствие оконечного резистора в линии. Если же резистор есть, то следует либо уменьшить сопротивление источника сигналов для линии, либо найти способ ослабления емкостной связи с источником сигналов прямоугольной формы. Сигнал второго типа можно наблюдать в цепи, по которой должен проходить сигнал прямоугольной формы, при наличии дефекта в контакте с этой цепью, например, в щупе осциллографа. Небольшая емкость, возникающая при плохом контакте, и входное сопротивление осциллографа образуют дифференцирующую цепь. Если вы обнаружили, что ваша схема «что-то» дифференцирует, то сказанное может помочь вам найти причину неисправности и устранить ее.

1.15. Интегрирующие цепи

Рассмотрим схему, изображенную на рис. 1.40.

Рис. 1.40.

Напряжение на резисторе R равно Uвх — U, следовательно, I = C(dU/dt) = (UвхU)/R. Если обеспечить выполнение условия U << Uвх за счет большого значения произведения RC, то получим C(dU/dt) ~= Uвх/R или

Мы получили, что схема интегрирует входной сигнал во времени! Рассмотрим, каким образом эта схема обеспечивает аппроксимацию интегрирования в случае входного сигнала прямоугольной формы: U(t) представляет собой знакомый уже нам график экспоненциальной зависимости, определяющей заряд конденсатора (рис. 1.41).

Рис. 1.41.

Первый участок экспоненты (интеграл от почти постоянной величины) — прямая с постоянным углом наклона; при увеличении постоянной времени RC используется все меньший участок экспоненты, тем самым обеспечивается лучшая аппроксимация идеального пилообразного сигнала.

Отметим, что условие U << Uвх равносильно тому, что ток пропорционален напряжению Uвх. Если бы в качестве входного сигнала выступал ток I(t), а не напряжение, то мы получили бы идеальный интегратор. Источником тока может служить резистор с большим сопротивлением и с большим падением напряжения на нем, и на практике часто пользуются этим приближением.

В дальнейшем, когда мы познакомим вас с операционными усилителями и обратной связью, вы узнаете, как построить интегратор, не прибегая к условию Uвых << Uвх. Такой интегратор работает в широком диапазоне частот и напряжений с пренебрежимо малой ошибкой.

Интегрирующие цепи находят широкое применение в аналоговой технике. Их используют в управляющих системах, схемах с обратной связью, при аналого-цифровом преобразовании и генерации колебаний.

Генераторы пилообразного сигнала. Теперь вы без труда разберетесь в том, как работает генератор пилообразного сигнала. Эта схема хорошо зарекомендовала себя и нашла очень широкое применение: ее используют во время-задающих схемах, в генераторах синусоидальных и других типов колебаний, в схемах развертки осциллографов, в аналого-цифровых преобразователях. Схема использует постоянный ток для заряда конденсатора (рис. 1.42).

Рис. 1.42. Источник постоянного тока, заряжающий конденсатор, генерирует напряжение в виде линейно-меняющегося сигнала.

Из уравнения для тока, протекающего через конденсатор, I = C(dU/dt) получим U(t) = (I/C)t. Выходной сигнал изображен на рис. 1.43.

Рис. 1.43.

Линейное нарастание сигнала прекращается тогда, когда «иссякает» напряжение источника тока, т. е. достигается его предельное значение. Кривая для простой RC-цепи с резистором, подключенным к источнику напряжения, ведет себя аналогично случаю достижения предела источником тока. На рис. 1.43 эта вторая кривая показана для случая, когда R выбрано так, чтобы ток при нулевом выходном напряжении был равен току источника тока; при этом вторая кривая стремится к тому же пределу, что и ломаная. (В реальных источниках тока выходное напряжение ограничено напряжением используемых в них источников питания, так что такое поведение вполне правдоподобно.) В следующей главе, посвященной транзисторам, мы построим простые схемы источников тока, а в главах, где рассматриваются операционные усилители и полевые транзисторы, — их усовершенствованные типы.

Вот как много интересных вопросов ожидает нас впереди.

Упражнение 1.15. Ток 1 мА заряжает конденсатор емкостью 1 мкФ. Через какое время напряжение достигнет 10 В?

Более 800 000 книг и аудиокниг! 📚

Получи 2 месяца Литрес Подписки в подарок и наслаждайся неограниченным чтением

ПОЛУЧИТЬ ПОДАРОК