Полное и реактивное сопротивление

Замечание: Этот раздел содержит много математических выкладок; при желании их можно пропустить, но ни в коем случае не упускайте из внимания результаты.

Схемы с конденсаторами и индуктивностями сложнее, чем рассмотренные ранее резистивные схемы, — их работа зависит от частоты входного сигнала: «делитель напряжения» с конденсатором или индуктивностью будет обладать частотно — зависимым коэффициентом деления. Кроме того, схемы, в состав которых входят эти компоненты (их, кстати, относят к классу пассивных), искажают такие входные сигналы, как, например, прямоугольные колебания — в этом мы только что убедились.

Однако и конденсаторы, и индуктивности являются линейными элементами. Это означает, что амплитуда выходного сигнала, независимо от его формы, строго пропорциональна амплитуде входного сигнала. Линейностью обусловлены многие закономерности поведения схем, и важнейшая состоит в следующем: Если на вход линейной схемы подан синусоидальный сигнал с частотой f, то на выходе будет получен также синусоидальный сигнал с такой же частотой, но, возможно, с другой амплитудой и фазой.

Помня об этом замечательном свойстве при анализе схем, содержащих резисторы, конденсаторы и индуктивности, вы всегда должны ответить на вопрос: как зависит выходное напряжение (его амплитуда и фаза) от входного напряжения в виде синусоидального сигнала определенной частоты. Этот вопрос важен и тогда, когда схема предназначена для другого режима работы. График результирующей амплитудно-частотной характеристики, отражающей отношение выходного сигнала к входному для каждого значения частоты синусоиды, полезен при анализе работы схемы со многими видами сигналов. Амплитудно-частотная характеристика (АЧХ), представленная на рис. 1.46, может принадлежать, например, репродуктору какого-нибудь «говорящего ящика».

Рис. 1.46. Пример частотного анализа: выравнивание для громкоговорителя.

Под выходным сигналом в данном случае понимается звуковое давление, а не напряжение. Желательно, чтобы АЧХ репродуктора была «плоской», т. е. чтобы отношение звукового давления к частоте было постоянной величиной в диапазоне звуковых частот. В этом случае недостатки репродуктора можно скомпенсировать за счет пассивного фильтра с инверсной АЧХ (как показано на графике), включенного в усилитель радиоприемника.

Как мы увидим в дальнейшем, можно обобщить закон Ома, заменив понятие «сопротивление» понятием «полное сопротивление», или «импеданс», тогда он будет справедлив для любой схемы, в состав которой входят линейные пассивные элементы (резисторы, конденсаторы, индуктивности). Итак, понятия «импеданс» и «реактивное сопротивление» делают закон Ома справедливым для схем, содержащих конденсаторы и индуктивности. Уточним терминологию.

Импеданс — это обобщенное или полное сопротивление, индуктивности и конденсаторы обладают реактивным сопротивлением (можно сказать, что они реагируют на воздействие); резисторы обладают сопротивлением (по аналогии они оказывают сопротивление воздействию). Иными словами, импеданс = сопротивление + реактивное сопротивление (более подробно поговорим об этом позже).

Однако можно встретить, например, такое выражение: «импеданс конденсатора на данной частоте составляет…». Дело в том, что в импеданс входит реактивное сопротивление, и поэтому не обязательно говорить «реактивное сопротивление конденсатора», можно сказать и «импеданс конденсатора». На самом деле слово «импеданс» часто употребляют и тогда, когда известно, что речь идет о сопротивлении; например, говорят «импеданс источника» или «выходной импеданс», имея в виду эквивалентное сопротивление некоторого источника. То же самое относится и к «входному импедансу».

В дальнейшем речь пойдет о схемах, для питания которых используется синусоидальный сигнал с определенной частотой. Анализ схем, работающих с сигналами другой формы, требует большей тщательности и предполагает использование уже известных нам методов (например, метода дифференциальных уравнений или метода преобразования Фурье, при котором сигнал представляют в виде ряда синусоид). На практике эти методы редко используются.

1.18. Частотный анализ реактивных схем

Для начала рассмотрим конденсатор, на который подается синусоидальное напряжение источника питания (рис. 1.47).

Рис. 1.47.

Ток в схеме определяется следующим образом:

I(t) = C(dU/dt) = C·ω·U0·cos ωt.

Из этого уравнения следует, что ток имеет амплитуду I и опережает входное напряжение по фазе на 90°. Если не принимать во внимание соотношение фаз, то

I = U/(1/ωC).

(Напомним, что ω = 2πf). Конденсатор ведет себя как резистор, сопротивление которого зависит от частоты и определяется выражением R = 1/ωC, и, кроме того, ток, протекающий через конденсатор, сдвинут по фазе на 90° относительно напряжения (рис. 1.48).

Рис. 1.48.

Например, через конденсатор емкостью 1 мкФ, подключенный к силовой сети с напряжением 110 В (эффективное значение) и частотой 60 Гц, будет протекать ток, эффективная амплитуда которого определяется следующим образом: I = 110/[1/(2π·60·10-6)] = 41,5 мА (эффективное значение).

Замечание: сейчас нам необходимо воспользоваться комплексными переменными; при желании вы можете пропустить математические выкладки, приводимые в последующих разделах, и принять на веру полученные результаты (они выделены в тексте). Не думайте, что подробные алгебраические преобразования, приводимые в этих разделах, необходимы для понимания всего остального материала книги. Это не так - глубокое знание математики похвально, но совсем не обязательно. Следующий раздел, пожалуй, наиболее труден для тех, у кого нет достаточной математической подготовки. Но пусть это вас не огорчает.

Определение напряжения и тока с помощью комплексных чисел. Только что вы убедились в том, что в цепи переменного тока, работающей с синусоидальным сигналом некоторой частоты, возможен сдвиг по фазе между напряжением и током. Тем не менее если схема содержит только линейные элементы (резисторы, конденсаторы, индуктивности), то амплитуда токов на всех участках схемы пропорциональна амплитуде питающего напряжения. В связи с этим можно попытаться найти некоторые общие выражения тока, напряжения и сопротивления и обобщить тем самым закон Ома.

Очевидно, что для того, чтобы определить ток в какой-либо точке схемы, недостаточно задать одно значение-дело в том, что ток характеризуется как амплитудой, так и сдвигом фазы.

Конечно, можно определять амплитуды и фазовые сдвиги напряжений и токов явно, например U(t) = 23,7·sin(377·t + 0,38), но оказывается, что проще это делать с помощью комплексных чисел. Вместо того чтобы тратить время и силы на сложение и вычитание синусоидальных функций, можно легко и просто складывать и вычитать комплексные числа. Так как действующие значения напряжения и тока представляют собой реальные количественные величины, изменяющиеся во времени, следует вывести правило для перевода реальных количественных величин в комплексное представление и наоборот. Напомним еще раз, что мы имеем дело с частотой синусоидального колебания ω, и сформулируем следующие правила:

1. Напряжение и ток представляются комплексными величинами U и I.

Напряжение U0cos(ωt + φ) представляется комплексным числом U0e. Напомним, что e = cos θ + jsin θ, где j = √—1.

2. Для того чтобы получить выражение для действующего напряжения и тока, нужно умножить соответствующие комплексные представления на ejωt и выделить действительную часть. Это записывается следующим образом: U(t) = Re(U·ejωt), Ι(t) = Re(I·ejωt). Иначе говоря,

(В электронике символ j используется вместо принятого в алгебре для комплексной переменной символа i, с тем чтобы избежать путаницы с током, который также обозначают символом i). Итак, в общем случае действующие напряжения и токи определяются следующим образом:

U(t) = Re(U·ejωt) = Re(U)·cos ωt — Im(U)·sin ωt,

Ι(t) = Re(I·ejωt) = Re(I)·cos ωt — Im(I)·sin ωt,

Например, комплексному напряжению U = 5j соответствует реальное напряжение

U(t) = Re[5j·cos ωt + 5j(j)·sin ωt] = 5sin ωt B

Реактивное сопротивление конденсаторов и индуктивностей. Принятое соглашение позволяет применять закон Ома для схем, содержащих как резисторы, так и конденсаторы, и индуктивности.

Определим реактивное сопротивление конденсатора и индуктивности. Нам известно, U(t) = Re(U0·ejωt). Так как в случае конденсатора справедливо выражение I = C(dU/dt), получим

Ι(t) = — U0·sin ωt = Re[U0·ejωt/(-j/ωC)] = Re(U0·ejωt/XC),

т. е. для конденсатора

XC = — j/ωC,

ХC — это реактивное сопротивление конденсатора на частоте ω. Конденсатор емкостью 1 мкФ, например, имеет реактивное сопротивление —2653j Ом на частоте 60 Гц и —0,16j Ом на частоте 1 МГц. Для постоянного тока реактивное сопротивление равно бесконечности. Аналогичные рассуждения для индуктивности дают следующий результат:

XL = jωL.

Схема, содержащая только конденсаторы и индуктивности, всегда обладает мнимым импедансом; это значит, что напряжение и ток всегда сдвинуты по фазе друг относительно друга на 90°- схема абсолютно реактивна. Если в схеме присутствуют резисторы, то импеданс имеет и действительную часть. Под реактивным сопротивлением подразумевается при этом только мнимая часть импеданса.

Обобщенный закон Ома. Соглашения, принятые для представления напряжений и токов, позволяют записать закон Ома в следующей простой форме:

I = U/ZU = I·Z, означающей, что напряжение U, приложенное к схеме с импедансом Z, порождает ток I. Импеданс последовательно и параллельно соединенных элементов определяется по тем же правилам, что и сопротивление последовательно и параллельно соединенных резисторов:

= Z1 + Z2 + Z3 +…

(для последовательного соединения),

И в заключение приведем формулы для определения импеданса резисторов, конденсаторов и индуктивностей:

ZR = R (резистор),

ZC = —j/ωC (конденсатор),

ZL = jωL (индуктивность).

Полученные зависимости позволяют анализировать любые схемы переменного тока с помощью методов, принятых для схем постоянного тока, а именно с помощью закона Ома и формул для последовательного и параллельного соединения элементов. Результаты, которые мы получили при анализе таких схем, как, например, делитель напряжения, сохраняют почти такой же вид. Так же как и для схем постоянного тока, для сложных разветвленных схем переменного тока справедливы законы Кирхгофа; отличие состоит в том, что вместо токов I и напряжений U здесь следует использовать их комплексные представления: сумма падений напряжения (комплексного) в замкнутом контуре равна нулю; сумма токов (комплексных), втекающих в узел, равна сумме токов (комплексных), вытекающих из него. Из последнего правила, как и в случае с цепями постоянного тока, вытекает, что ток (комплексный) в последовательной цепи всюду одинаков.

Упражнение 1.16. Используя формулы для импеданса параллельного и последовательного соединения элементов, выведите формулы (разд. 1.12) для емкости двух конденсаторов, соединенных (а) параллельно, (б) последовательно. Подсказка: допустим, что в каждом случае конденсаторы имеют емкость С1 и С2. Запишите выражение для импеданса параллельно и последовательно соединенных элементов и приравняйте его импедансу конденсатора с емкостью С. Найдите С.

Попробуем воспользоваться рекомендованным методом для анализа простейшей цепи переменного тока, которая состоит из конденсатора, к которому приложено напряжение переменного тока. После этого кратко остановимся на вопросе о мощности в реактивных схемах (это будет последний кирпич в фундаменте наших знаний) и рассмотрим простую, но очень полезную схему RC-фильтра.

Представим себе, что к силовой сети с напряжением 110 В (эффективное значение) и частотой 60 Гц подключен конденсатор емкостью 1 мкФ. Какой ток протекает при этом через конденсатор?

Воспользуемся обобщенным законом Ома: Ζ = —j/ωC. Следовательно, ток можно определить следующим образом: I = U/Z.

Фаза напряжения произвольна, допустим U = А, т. е. U(t) = A·cos ωt, где амплитуда А = 110√2 ~= 156 В, тогда I = jωCA ~= 0,059·sin ωt. Искомый ток имеет амплитуду 59 мА (эффективное значение составляет 41,5 мА) и опережает напряжение по фазе на 90°. Результат соответствует полученным ранее выводам. Отметим, что если бы нас интересовала только амплитуда тока, то можно было бы не прибегать к комплексным числам: если А = В/С, то А = В/С, где А, В, С — амплитуды комплексных чисел. То же самое справедливо и для произведения (см. упражнение 1.17). Для нашего случая

I = U/Z = ωCU.

Иногда этот прием очень полезен.

Как ни странно, конденсатор в нашем примере мощность не рассеивает. Его подключение к сети не приводит к увеличению показаний счетчика электроэнергии. Разгадку этой «тайны» вы узнаете, прочитав следующий раздел. А затем мы продолжим анализ схем, содержащих резисторы и конденсаторы, с помощью обобщенного закона Ома.

Упражнение 1.17. Докажите, что если А = ВС, то А = ВС, где А, В, С — амплитуды комплексных чисел. Подсказка: представьте каждое комплексное число в форме А = Ае.

Мощность в реактивных схемах. Мгновенное значение мощности, потребляемой любым элементом схемы, определяется произведением Ρ = UI. Однако в реактивных схемах, где напряжение U и ток I связаны между собой не простой пропорциональной зависимостью, просто перемножить их нельзя. Дело в том, что могут возникать странные явления, например, знак произведения может изменяться в течение одного периода сигнала переменного тока. Такой пример показан на рис. 1.49.

Рис. 1.49. При использовании синусоидального сигнала ток через конденсатор опережает напряжение по фазе на 90°.

На интервалах А и С на конденсатор поступает некоторая мощность (правда, скорость ее изменения переменна), и благодаря этому он заряжается: накапливаемая конденсатором энергия увеличивается (мощность — это скорость изменения энергии). На интервалах В и D потребляемая мощность имеет отрицательный знак — конденсатор разряжается. Средняя мощность за период для нашего примера равна нулю; этим свойством обладают все реактивные элементы (индуктивности, конденсаторы и всевозможные их комбинации). Если вы знакомы с интегралами от тригонометрических функций, то следующее упражнение поможет вам доказать это свойство.

Упражнение 1.18. (дополнительное). Докажите, что схема в среднем за полный период не потребляет мощности, если протекающий через нее ток сдвинут по фазе относительно питающего напряжения на 90 °.

Как определить среднюю потребляемую мощность для произвольной схемы?

В общем случае можно просуммировать произведения U·I и разделить сумму на длительность истекшего интервала времени. Иными словами

где Т — полный период времени.

Практически так мощность почти никогда не определяют. Нетрудно доказать, что средняя мощность определяется следующим выражением:

P = Re(U*I) = Re(UI*),

где U и I — эффективные комплексные значения напряжения и тока.

Рассмотрим пример. Допустим, что в предыдущей схеме конденсатор питается синусоидальным напряжением, эффективное значение которого равно 1 В. Для простоты будем выполнять все преобразования с эффективными значениями.

Итак: U = 1, I = U/(j/ωC), Ρ = Re[UI*] = Re(jωC) = 0. Мы получили, что средняя мощность, как и утверждалось, равна нулю.

А теперь рассмотрим схему, показанную на рис. 1.50.

Рис. 1.50.

Выполним ряд преобразований:

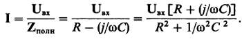
Z = R — j/ωC,

U = U0,

I = U/Z = U0/[R — j/ωC] = U0/[R + (j/ωC)]/[R2 + (1/ω2C2)],

Ρ = Re(UI*) = U02·R/[R2 + (1/ω2C2)].

В третьей строке преобразований при определении тока I мы умножили числитель и знаменатель на комплексное число, сопряженное знаменателю, для того чтобы получить в знаменателе действительное число. Полученная величина меньше, чем произведение амплитуд U и I; ее отношение к этому произведению называют коэффициентом мощности:

Коэффициент мощности — это косинус угла, определяющего сдвиг фаз напряжения и тока, он лежит в диапазоне от 0 (для реактивной схемы) до 1 (для резистивной схемы). Если коэффициент мощности меньше 1, то это значит, что в схеме присутствует реактивный элемент.

Упражнение 1.19. Докажите, что вся средняя мощность предыдущей схемы рассеивается на резисторе. Для того, чтобы решить эту задачу, нужно определить величину отношения UR2/R. Определите, чему будет равна эта мощность в ваттах, если цепь, состоящая из последовательно соединенных конденсатора емкостью 1 мкФ и резистора сопротивлением 1 кОм, подключена к силовой сети с эффективным напряжением 110 В (частота 60 Гц).

Коэффициент мощности играет немаловажную роль в распределении больших мощностей, так как реактивные токи не передают нагрузке никакой полезной мощности, зато вызывают нагрев в сопротивлениях проводов генераторов и трансформаторов (температура нагрева пропорциональна I2R). Бытовые потребители электроэнергии платят только за «действительную» потребляемую мощность [Re(UI*)], а промышленные потребители - с учетом коэффициента мощности. Вот почему большие предприятия для погашения влияния индуктивных реактивных сопротивлений производственного оборудования (моторов) сооружают специальные конденсаторные блоки.

Упражнение 1.20. Покажите, что последовательное подключение конденсатора емкостью С = 1/ω2L к последовательной RL-цепи делает коэффициент мощности этой цепи равным единице. Затем рассмотрите параллельную цепь и параллельно подключенный конденсатор.

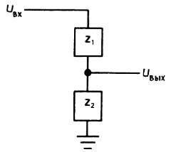
Делители напряжения: обобщение. Простейший делитель напряжения (рис. 1.5) состоит из пары последовательно соединенных резисторов. Входное напряжение измеряется в верхней точке относительно земли, а выходное-в точке соединения резисторов относительно земли. От простейшего резистивного делителя перейдем к более общей схеме делителя, если один или оба резистора заменим на конденсатор или индуктивность, как, на рис. 1.51 (в более сложной схеме присутствуют и R, и L, и С).

Рис. 1.51. Обобщенная схема делителя напряжения: пара электрических цепей с произвольным импедансом.

Вообще говоря, в таком делителе отношение Uвых/Uвх не является постоянной величиной, а зависит от частоты. Анализ схемы выполняется без всяких хитроумных приемов:

IUвх/Zполн,

Zполн = Z1+ Z2,

UвыхZ2Uвх[Z2/(Z1+ Z2)].

Не будем сосредоточивать внимание на полученном результате, рассмотрим лучше некоторые простые, но очень важные примеры.

1.19. RС-фильтры

Благодаря тому что импеданс конденсатора, равный ZС = —j/ωС, зависит от частоты, с помощью конденсаторов и резисторов можно строить частотно-зависимые делители напряжения, которые будут пропускать только сигналы нужной частоты, а все остальные подавлять. В этом разделе вы познакомитесь с примерами простейших RС-фильтров, к которым мы будем неоднократно обращаться в дальнейшем. В гл. 5 и приложении 3 описаны более сложные фильтры.

Фильтры высоких частот. На рис. 1.52 показан делитель напряжения, состоящий из конденсатора и резистора.

Рис. 1.52. Фильтр высоких частот.

Согласно закону Ома для комплексных величин,

(Окончательный результат получен после умножения числителя и знаменателя на комплексное число, сопряженное знаменателю.) Итак, напряжение на резисторе R равно

Чаще всего нас интересует не фаза, а амплитуда Uвых:

Uвых = (UвыхU*вых)1/2 = UвхR/[R2 + (1/ω2С2)]1/2

Uвых UвхR1/(R1 + R2).

Векторное представление импеданса RС-цепи (рис. 1.53) показано на рис. 1.54.

Рис. 1.53.

Рис. 1.54.

Итак, если не принимать во внимание сдвиг фаз, а рассматривать только модули комплексных амплитуд, то «отклик» схемы будет определяться следующим образом:

Uвых UвхR[R2 + (1/ω2С2)]1/2 =

= Uвхf·RC/[1+(2πf·RC)2]1/2.

График этой зависимости представлен на рис. 1.55.

Рис. 1.55. Частотная характеристика фильтра высоких частот.

Такой же результат мы бы получили, если бы определили отношение модулей импедансов как в упражнении 1.17 и в примере перед этим упражнением; числитель представляет собой модуль импеданса нижнего плеча делителя R, а знаменатель-модуль импеданса последовательного соединения R и С.

Как вы видите, на высоких частотах выходное напряжение приблизительно равно входному (ω >= 1/RC), а на низких частотах выходное напряжение уменьшается до нуля. Мы пришли к важному результату, запомните его. Подобная схема, по понятным причинам, называется фильтром высоких частот. На практике ее используют очень широко.

Например, в осциллографе предусмотрена возможность связи по переменному току между исследуемой схемой и входом осциллографа. Эта связь обеспечивается с помощью фильтра высоких частот, имеющего перегиб характеристики в области 10 Гц (связь по переменному току используют для того, чтобы рассмотреть небольшой сигнал на фоне большого напряжения постоянного тока).

Инженеры часто пользуются понятием «точки излома» —3 дБ для фильтра (или любой другой схемы, которая ведет себя как фильтр)! В случае простого RС-фильтра высоких частот точка излома —3 дБ определяется выражением:

f3дБ = 1/2πRC.

Обратите внимание, что конденсатор не пропускает ток (f = 0). Самый распространенный пример использования конденсатора — это использование его в качестве блокирующего конденсатора постоянного тока. Если возникает необходимость обеспечить связь между усилителями, то почти всегда прибегают к помощи конденсатора. Например, у любого усилителя звуковой частоты высокого класса все входы имеют емкостную связь, так как заранее не известно, какой уровень постоянного тока будут иметь входные сигналы. Для обеспечения связи необходимо подобрать R и С таким образом, чтобы все нужные частоты (в данном случае 20 Гц-20 кГц) поступали на вход без потерь (без деления на входе).

Часто, например при конструировании фильтров, возникает необходимость определить импеданс конденсатора на некоторой частоте. На рис. 1.56 представлен очень полезный график, охватывающий большой диапазон емкостей и частот для зависимости |Z| = 1/2πfC.

Рис. 1.56. а — Изменение реактивного сопротивления индуктивностей и конденсаторов в зависимости от частоты. Все декады одинаковы и отличаются лишь масштабом, б — Увеличенное изображение одной декады из графика А, график построен для стандартных компонентов, имеющих точность 20 %.

В качестве примера рассмотрим фильтр, показанный на рис. 1.57.

Рис. 1.57.

Это фильтр высоких частот с точкой перегиба 3 дБ на частоте 15,9 кГц. Импеданс нагрузки, подключаемой к фильтру, должен быть значительно больше 1 кОм, иначе нагрузка будет искажать выходное напряжение фильтра. Источник сигнала должен обеспечивать возможность подключения нагрузки 1 кОм без значительной аттенюации (потери амплитуды сигнала), иначе фильтр будет искажать выход источника сигнала.

Фильтры низких частот. Если поменять местами R и С (рис. 1.58), то фильтр будет вести себя противоположным образом в отношении частоты. Можно показать, что Uвых = [1/(1 + ω2R2C2]1/2]Uвх.

Рис. 1.58. Фильтр низких частот.

График этой зависимости представлен на рис. 1.59.

Рис. 1.59. Частотная характеристика фильтра низких частот.

Такой фильтр называют фильтром низких частот. Точка —3 дБ на характеристике фильтра находится на частоте f = 1/2πRC. Фильтры низких частот находят очень широкое применение. Например, их используют для устранения влияния близлежащих радио- и телевизионных станций (550 кГц-800 МГц), на работу усилителей звуковых частот и других чувствительных электронных приборов.

Упражнение 1.21. Докажите справедливость выражения для выходного напряжения фильтра низких частот.

Выход фильтра низких частот можно рассматривать в качестве самостоятельного источника сигналов. При использовании идеального источника напряжения переменного тока (с нулевым импедансом) фильтр со стороны выхода низких частот имеет сопротивление R (при расчетах полных сопротивлений идеальный источник сигналов можно заменить коротким замыканием, т. е. его нулевым импедансом для малого сигнала). В выходном импедансе фильтра преобладает емкостная составляющая, и на высоких частотах он становится равным нулю.

Для входного сигнала фильтр представляет собой нагрузку, состоящую на низких частотах из сопротивления R и сопротивления нагрузки, а на высоких частотах — нагрузку, равную просто сопротивлению R.

На рис. 1.60 изображена также частотная характеристика фильтра низких частот, но в более общепринятом виде — для вертикальной и горизонтальной осей использован логарифмический масштаб.

Рис. 1.60. Фазочастотная и амплитудно-частотная характеристики фильтра низких частот, изображенные в логарифмическом масштабе. В точке 3 дБ фазовый сдвиг составляет 45° и в пределах декады изменения частоты лежит в пределах 6° от асимптотического значения.

Можно считать, что по вертикальной оси откладываются децибелы, а по горизонтальной — октавы (или декады). На таком графике равные расстояния соответствуют равным отношениям величин. В виде графика изображен также фазовый сдвиг, при этом для вертикальной оси (градусы) использован линейный масштаб, а для оси частот — логарифмический. Такой график удобен для анализа частотной характеристики даже в случае значительной аттенюации (справа); целый ряд таких графиков представлен в гл. 5, посвященной изучению активных фильтров. Отметим, что при значительной аттенюации изображенная на графике кривая вырождается в прямую линию с наклоном — 20 дБ/декада (инженеры предпочитают выражение «— 6 дБ/октава»).

Отметим также, что фазовый сдвиг плавно изменяется от 0° (на частотах ниже точки перегиба) до 90° (на частотах существенно выше точки перегиба), а в точке — 3 дБ составляет 45°. Практическое правило для односекционных RС-фильтров говорит о том, что фазовый сдвиг составляет ~= 6° от асимптот в точках 0,1f3дБ и 10f3дБ.

Упражнение 1.22. Докажите последнее утверждение.

Возникает интересный вопрос: можно ли сделать фильтр с какой-либо другой заданной амплитудной характеристикой и какой-либо другой заданной фазовой характеристикой. Пусть вас это не удивляет, но ответить можно только отрицательно-нельзя. Фазовая и амплитудная характеристики для всех возможных фильтров подчиняются законам причинной связи (т. е. характеристика является следствием определенных свойств, но не их причиной).

Частотные характеристики дифференцирующих и интегрирующих RC-цепей. Схема дифференцирующей RС-цепи, которую мы рассмотрели в разд. 1.14, имеет такой же вид, как и схема фильтра высоких частот, приведенная в настоящем разделе. Чем же считать такую схему, зависит от того, что вас больше интересует: преобразование сигналов во времени или частотная характеристика. Полученное ранее временное условие правильной работы схемы (Uвых << Uвх) можно сформулировать иначе, применительно к частотной характеристике: для того чтобы выходной сигнал был небольшим по сравнению с входным, частота должна быть значительно ниже, чем в точке — 3 дБ. В этом легко убедиться. Допустим, что входной сигнал равен Uвх = sin ωt. Воспользуемся уравнением, которое мы получили ранее для выхода дифференциатора:

Отсюда Uвых << Uвх, если ωRC << 1, т. е. RC << 1/ω. Если входной сигнал содержит некоторый диапазон частот, то условие должно выполняться для самых высоких частот входного диапазона. Схема интегрирующей RС-цепи (разд. 1.15) имеет такой же вид, как и схема фильтра низких частот: аналогично в хорошем интеграторе самые низкие частоты входного сигнала должны существенно превышать частоту в точке -3 дБ.

Индуктивности и конденсаторы. Индуктивности, также как и конденсаторы, в сочетании с резисторами образуют схемы фильтров низких (или высоких) частот. Однако на практике RL-фильтры низких и высоких частот встречаются редко. Это связано с тем, что индуктивности более громоздки и дороги, а работают хуже, чем конденсаторы (их характеристики более существенно отличаются от идеальных). Если есть возможность выбора, то предпочтение лучше отдать конденсатору. Исключением из этой общей рекомендации являются ферритовые бусины (маленькие торроидальные сердечники) и дроссели в высокочастотных схемах.

Несколько бусин нанизывают на провод, благодаря этому соединение, выполненное с помощью провода, становится в некоторой степени индуктивным; импеданс на высоких частотах увеличивается и предотвращает «колебания» в схеме, при этом в отличие от RС-фильтра активное сопротивление схемы не увеличивается. Радиочастотный дроссель — это катушка, состоящая из нескольких витков провода и ферритового сердечника и используемая с той же целью в радиочастотных схемах.

1.20. Векторные диаграммы

Для анализа реактивных схем очень удобен один графический метод. В качестве примера рассмотрим тот факт, что RС-фильтр на частоте f = 1/2πRC обеспечивает ослабление на 3 дБ. Этот результат мы получили в разд. 1.19. Он справедлив как для фильтров высоких частот, так и для фильтров низких частот.

На первый взгляд этот факт может показаться странным, так как на этой частоте реактивное сопротивление конденсатора равно сопротивлению резистора и можно предположить, что ослабление должно составлять 6 дБ. К такому же результату вы придете, если замените конденсатор резистором с таким же, как у конденсатора, импедансом (напомним, что ослабление 6 дБ означает уменьшение напряжения вдвое). Дело в том, что нужно учитывать реактивность конденсатора, и в этом как раз может помочь векторная диаграмма (рис. 1.61).

Рис. 1.61.

Вдоль осей откладываются действительная (активная или резистивная) и мнимая (реактивная или емкостная) компоненты импеданса. На такой же плоскости можно изображать напряжение (комплексное) в последовательных цепях подобного типа, так как ток в такой цепи во всех точках одинаков.

Итак, в нашей схеме (будем рассматривать ее в качестве RС-делителя напряжения) входное напряжение (приложенное к последовательному соединению резистора R и конденсатора С) пропорционально длине гипотенузы, а выходное напряжение (снимаемое с резистора R) — длине стороны R треугольника.

Диаграмма соответствует такой частоте, при которой модуль реактивного сопротивления конденсатора равен R, т. е. f = 1/2πRC. Из диаграммы видно, что отношение выходного напряжения ко входному составляет 1/√2, т. е. — 3 дБ.

Угол между векторами определяет фазовый сдвиг между входным и выходным напряжением. Например, в точке 3 дБ выходная амплитуда равна входной, поделенной на √2, а сам выходной сигнал опережает входной по фазе на 45°.

Графический метод дает наглядное представление о величинах амплитуд и соотношении фаз в RLC-цепях. Например, с помощью этого метода можно определить характеристику фильтра высоких частот, которую мы уже получили раньше с помощью алгебраических преобразований.

Упражнение 1.23. Пользуясь методом векторной диаграммы, получите характеристику RC-фильтра высоких частот:

Упражнение 1.24. На какой частоте ослабление RС-фильтра низких частот будет равно 6 дБ (выходное напряжение равно половине входного)? Чему равен фазовый сдвиг на этой частоте?

Упражнение 1.25. Пользуясь методом векторной диаграммы, получите характеристику фильтра низких частот, выведенную выше алгебраическим путем.

В следующей главе (разд. 2.08) приводится интересный пример использования векторной диаграммы для построения фазосдвигающей схемы, дающей постоянную амплитуду.

1.21. «Полюсы» и наклон в пределах октавы

Еще раз рассмотрим характеристику RС-фильтра низких частот (рис. 1.59). Вправо от точки перегиба графика выходная амплитуда убывает пропорционально 1/f. В пределах одной октавы (одна октава, как в музыке, соответствует изменению частоты вдвое) выходная амплитуда уменьшается вдвое, т. е. ослабление составляет — 6 дБ; следовательно, простой RС-фильтр обеспечивает ослабление 6 дБ/октаву. Можно конструировать фильтры, состоящие из нескольких RC-секций: тогда получим значения спада 12 дБ/октава (для двух RС-секций), 18 дБ/октава (для трех секций) и т. д. Так обычно описывают поведение фильтра на частотах, лежащих за пределами полосы пропускания. Если фильтр состоит, например, из трех RС-секций, то его часто называют «трехполюсным». (Слово «полюс» связано с методом анализа схем, который не рассматривается в этой книге. В нем используется комплексная передаточная функция на комплексной частотной плоскости, которую инженеры называют s-плоскостью.)

При работе с многокаскадными фильтрами следует учитывать одну особенность. Каждый новый каскад существенно нагружает предыдущий (так как они идентичны между собой), и это приводит к тому, что результирующая характеристика не является простой совокупностью характеристик составляющих каскадов.

Напомним, что при выводе характеристики простого RС-фильтра мы условились, что источник имеет нулевой импеданс, а нагрузка — бесконечный. Один из способов устранения влияния каскадов друг на друга состоит в том, чтобы каждый последующий каскад имел значительно больший импеданс, чем предыдущий. Еще эффективнее использовать в качестве межкаскадных буферов активные схемы на транзисторах или операционных усилителях (ОУ), т. е. строить активные фильтры. Этим вопросам посвящены гл. 2–5.

1.22. Резонансные схемы и активные фильтры

Конденсаторы, которые используются в специальных схемах, называемых активными фильтрами, а также в сочетании с индуктивностями, позволяют «заострять» частотную характеристику схемы (по сравнению с пологой характеристикой RС-фильтра характеристика такой схемы на некоторой частоте имеет большой резкий всплеск). Подобные схемы находят применение в устройствах, работающих в диапазоне звуковых частот и радиочастот. Итак, познакомимся с LC-цепями (подробному анализу этих цепей и активных фильтров посвящены гл. 5 и приложение 3).

Начнем со схемы, представленной на рис. 1.62.

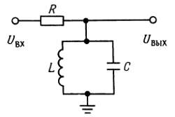
Рис. 1.62. Резонансная LC-схема: широкополосный фильтр.

На частоте f реактивное сопротивление LC-контура равно

LC-контур в сочетании с резистором R образует делитель напряжения; в связи с тем, что индуктивность и конденсатор противоположным образом реагируют на изменение частоты, импеданс параллельной LC-цепи на резонансной частоте f0 = 1/2π(LC)1/2 стремится к бесконечности - на характеристике при этом значении частоты должен наблюдаться резкий всплеск. График такой характеристики представлен на рис. 1.63.

Рис. 1.63.

В действительности пик характеристики сглажен за счет потерь в индуктивности и конденсаторе, однако если схема сконструирована хорошо, то эти потери очень невелики. Если же хотят специально сгладить характеристику, то в схему включают дополнительный резистор, ухудшающий добротность контура Q. Такая схема называется параллельным резонансным LC-контуром или избирательной схемой. Она широко используется в радиотехнике для выделения из всего частотного диапазона сигналов некоторой частоты усиления (L или С могут быть переменными, и с их помощью можно настраивать резонансный контур на определенную частоту). Чем выше импеданс источника, тем острее пик характеристики; как вы вскоре убедитесь, в качестве источника принято использовать устройство типа, источника тока.

Коэффициент добротности Q позволяет оценивать характеристику контура: чем больше добротность, тем острее характеристика. Добротность равна резонансной частоте, поделенной на ширину пика, определенную по точкам —3 дБ. Для параллельной RLC-схемы Q = ω0.

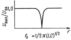
Другой разновидностью LC-схем является последовательная LC-схема (рис. 1.64).

Рис. 1.64. Узкополосный режекторный LC-фильтр («ловушка»).

Используя выражение для импеданса, можно показать, что импеданс последовательной LC-схемы стремится к нулю на частоте f0 = 1/2π(LC)1/2; такая схема на резонансной частоте или вблизи нее как бы «захватывает» сигнал и заземляет его. Эта схема, так же как и предыдущая, применяется в основном в радиотехнике. На рис. 1.65 изображена ее характеристика. Для последовательной RLC-cхемы Q = ω0L/R.

Рис. 1.65.

Упражнение 1.26. Выведите выражение для характеристики (определяющей зависимость отношения Uвых/Uвx от частоты) схемы с последовательным LC-контуром, показанной на рис. 1.64.

1.23. Другие примеры использования конденсаторов

Конденсаторы являются необходимым компонентом не только для фильтров, резонансных, дифференцирующих и интегрирующих схем, но и для ряда других немаловажных схем. Более подробно мы поговорим об этих схемах позже, а сейчас просто ознакомимся с ними.

Шунтирование. Импенданс конденсатора уменьшается с увеличением частоты. На этом основано использование конденсатора в качестве шунта. Бывают такие случаи, что на некоторых участках схемы должно присутствовать только напряжение постоянного или медленно меняющегося тока. Если к тому участку схемы (обычно резистору) параллельно подключить конденсатор, то все сигналы переменного тока на резисторе будут устранены. Конденсатор выбирают так, чтобы его импеданс был малым для шунтируемого сигнала. В последующих главах вы встретите множество примеров шунтирования сигналов с помощью конденсатора.

Фильтрация в источниках питания. Обычно, говоря о фильтрации в источниках питания, имеют в виду накопление энергии. Практически при фильтрации происходит шунтирование сигналов. В электронных схемах обычно используют напряжение постоянного тока, которое получают путем выпрямления напряжения переменного тока сети (процесс выпрямления мы рассмотрим дальше в этой главе). Часть составляющих входного напряжения, которое имело частоту 60 (50) Гц, остается и в выпрямленном напряжении, от них можно избавиться, если предусмотреть шунтирование с помощью больших конденсаторов. Шунтирующие конденсаторы — это как раз те круглые блестящие элементы, которые можно увидеть внутри большинства электронных приборов. О том, как конструировать источники питания, мы поговорим позже в этой главе, а затем в гл. 6 еще раз вернемся к этому вопросу.

Синхронизация и генерация сигналов. Если через конденсатор протекает постоянный ток, то при заряде конденсатора формируется линейно нарастающий сигнал. Это явление используют в генераторах линейно-изменяющихся и пилообразных сигналов, в генераторах функций, схемах развертки осциллографов, в аналого-цифровых преобразователях и схемах задержки. Для синхронизации используют также RС-цепи, и на их основе строят цифровые схемы задержки (ждущие мультивибраторы). Во многих областях электроники используют конденсаторы для синхронизации и генерации сигналов, и именно об этих применениях конденсаторов вы более подробно узнаете из гл. 3, 5, 8 и 9.

1.24. Обобщенная теорема Тевенина об эквивалентном преобразовании (эквивалентном генераторе)

Для схем, включающих конденсаторы и индуктивности, теорема об эквивалентном преобразовании должна быть сформулирована следующим образом: всякая схема, имеющая два вывода и содержащая резисторы, конденсаторы, индуктивности и источники сигналов, эквивалентна цепи, представляющей собой последовательное соединение одного комплексного импеданса и одного источника сигнала. Как и прежде, эквивалентный импеданс и источник определяют по выходному напряжению разомкнутой цепи и по току короткого замыкания.

Более 800 000 книг и аудиокниг! 📚

Получи 2 месяца Литрес Подписки в подарок и наслаждайся неограниченным чтением

ПОЛУЧИТЬ ПОДАРОК